- 电容式感测技术概观
- 电容式感测技术细节说明
- 弛张震荡器(RelaxationOscillator)
- 连续近似法(SuccessiveApproximation)
- 基线重新测定(BaselineRecalibration)
- 感测器触发(SensorActivation)
虽然多数电玩游戏的开发都着重在软件和处理器上,但许多重大的创意和前瞻想法都与控制器相关。由于游戏系统及周边厂商努力改善玩家与其系统互动的方式,因此无论是在人体工学、风格、功能或是特色等方面都不断地在开发改进。
寻找新的典范
我们可能都还记得具备四方形底座的Atari最早期控制器,其中央有一根摇桿,旁边还有一颗按键的设计,这对于当时的电玩游戏而言已相当足够。因为当时所需要的只有基本的方向控制和一个选择按键,就可以进行游戏,而这个控制器则完全符合所需。任天堂后来发表了四方形控制器的任天堂娱乐系统(NintendoEntertainmentSystem),其中方向按键取代了摇桿,而且还增加第二颗按键,这是以现有技术开发出来的重大改变。
从那时开始,控制器就开始变得越来越复杂。现在,标准的游乐器主机控制器上具备比以往更多的按键,而且每个按键都拥有更强大的功能。具备压力感应间断作用的按键让其触发作用获得更好的控制,尤其对于驾驶类电玩游戏中的煞车与加速控制特别有用。而按键组合在格斗游戏中也常被用来启动特殊功能与动作。震动功能(rumble-packs)则让玩家能体验真实感觉,而不再只是声光效果而已。由于摇桿具备的卓越模拟功能性,让其在最新的控制器上重现生机。
电容式感测技术是最新的介面技术,能提高游戏控制器的可用性,以及最炫的机械设计。
电容式感测技术概观
电容式感测最常用于个人电脑触控板与可携式媒体播放器上。手机制造商也开始投入资金来推广其用途,并已开发出数种机型销售上市。简单的架构、装置防水性及坚固的机械式设计等都是电容式感测介面极具吸引力的特性。
■方法
要达到电容式感测效果有好几种方式,但基本的要素却固定不变。其中,电容式感测器不过是在印刷电路板中连接至控制器电路上的铜片(pad)。感测按键与其连接导线的组合会在其周围产生电容。设计时所考量的接地面、金属支撑装置、还有其他电子与机械元件都会影响感测器的电容值。一般认为感测器电容值等同于它与接地面之间的电容值。当具有导电性的触发物质(例如手指)靠近感测器到一定程度时,该电容值就会增加。这是因为导体本身会在感测器与接地面之间产生更多可能的路径,愈多的路径则会产生愈多的场线,这样一来就会提高整个电容值。
在电容式感测器的前端是由切换式电容器(switchedcapacitors)、内部电流源或是具有外部电阻器的电压源所组成。这些方法都是为了要在感测电容器上输入电压值。而该电压值可透过ADC、或由比较器所构成的充电时间量测电路之处理,然后到达计数器或计时器。数字输出值被电容式感测系统的资料处理和决定(decision-making)所使用时,则会在ADC输出值中产生转变或在电容质中的计数值产生模拟转变。稍后我们会深入讨论常用的两种方法,也就是弛张震荡器(relaxationoscillation)以及连续近似法(successiveapproximation)。
■实际建置
要在实际的设计中建置一个电容式感测器并不难。如上所述,电容式感测器不过就是在印刷电路板上放置一块导体片,通常是铜片。而这块导体片经由触发物质—通常是手指,不仅能直接连结至控制元件;并可以直接与其互动。感应板则置于感测区域正下方的一层覆盖层(overlay)表面上。感测器与覆盖层之间最好不要有任何空气,而且要用不导电的接合剂将感测器基板紧紧黏附在覆盖层上。控制电路可以设置于感测器附近,而且越近越好。感测器在机械结构上的需求决定了控制电路的配置。感测器与控制电路距离越远,则感测器与接地面间的原生电容值就会随之增加,因为导线会与周围环境互动,并进而增加电容值;距离越长,增量就越明显。虽然要规定出最大的距离并不容易,但一般来说,6到12英吋可算是功能上限了。
[page]
电容感应应用装置的基板并非固定的;其中,最常见的设计是具备铜导线的基本FR4印刷电路板。此外,附有铜片的弹性印刷电路板(通常用聚亚醯胺薄膜—Kapton)也很常见。弹性基板能够让机械设计更为容易,尤其是在弯曲的表面上。印刷在弹性物质上如碳或银的导电墨水,能以极低的成本制作电容式感测器,但这当中会因为弹性物质无法上銲锡,而需要控制印刷电路板以及连接器。透明的导电物质,例如氧化铟锡(IndiumTinOxide;ITO)也快速地被广泛使用在触控式萤幕的应用中。ITO感测器会被印刷在玻璃或是聚乙烯对苯二甲酸酯(PET)薄膜上,然后再结合上最终的设计成品。虽然目前已有玻璃覆晶(chip-on-glass)用于控制这类的应用,但是在印刷电路板上使用弹性连接器或是热把焊接(hotbarsoldering)却是更经济的方法。
■电容式输入
电容式感测器有好几种型式,最基本的电容式感测器就是按键,也就是连接到控制电路的单一铜片。这类按键具备类比功能,但其主要输出还是数位的「开」(on)与「关」(off)。按键的大小决定了它的灵敏度,依照惯例来说,较大的按键具备较高的灵敏度。而按键尺寸则会受到手指大小的限制,因为很小的手指头只能与一个大尺寸感应器的局部进行互动。以标准直径7mm的按键而言,10mm的覆盖层厚度就已足够。
滑桿(sliders)其实就是直线或呈放射状的电容式感测器阵列。量测整个阵列的电容值变化,并配合内插法(interpolateposition)就能得到比感测器本身更高的解析度。内插法运用了每个感测器的类比特性。手指会与滑桿感测器其中一部份进行互动,而在中央区域的感应所造成的电容变化较高,而在两端点则较低。而利用基本的资料处理就可依据电容值变量来统计触发物的中心位置?;瑮U的解析度受限于本身的电容变化与演算法?;瑮U与按键型的电容式感测器应用原理一样,感测器越大越灵敏。重要的是,触发物会增加多个感测器的电容值,而感测器的形状也可能会增加多个电容感应的变化量。此外,与按键一样,灵敏度的限制很难推算,一般建议会用最大4mm厚的覆盖层。
触控板是由纵向与横向两组滑桿阵列所构成,这两组滑桿的组合构成一个可接受触发物的平整触控表面。同样的,此处的横向与纵向滑桿也都採用了内插法计算触发物的位置。由于触控板内的每个感测器的感应面积较小,灵敏度也因而相对降低。依照触控板的大小与更新速率的不同,此处覆盖层可达2mm厚。
近距感测器基本上就是很大的按键,它是利用较大的感测器侦测更远距离外的大型触发物体。假如一根手指头可以隔着10mm厚的覆盖层上的按键而被侦测到,那整个手掌就可以隔着150mm的距离及数公厘的覆盖层被侦测到。近距感测器的精确度不如按键、滑桿或触控板;此外,它在侦测稍微有点距离的导体时,也会需要较长的扫瞄时间。
电容式感测技术细节说明
电容式感测的方法相当值得深入探讨。
■弛张震荡器(RelaxationOscillator)
弛张震荡器已有数十年的历史,其前端采用一个感测电容器、一个可编程电流DAC(IDCA)及一个比较器与重置开关。虽然也可以用555这颗计时器,但PSoC具备扫瞄更多个内建感测器之能力,而本身的微控制器和专属软件让此功能更为简易。震荡器后端有一个脉宽调变器(pulse-widthmodulator)和一个计时器。量测电容值其实就是计算该电容透过电流源充电至某一临界电压所需的时间,如(图一)。

(图一) 以弛张震荡器量测电容值
[page]
步骤一
感测电容器CX与电流源都连接至一个类比多工汇流排上,其中电流源决定了感测电容器中充电的速率。而该电容器两端电位差会随着充电电荷累积到汇流排而产生线性增长,其关系式为q=CV。
步骤二
当感测电容器的电位差到达某一临界电压VREF的时候,SW1就会变成闭路并接地释放电容器上的电荷。而比较器输出端的延迟,则为开关启动提供迟滞作用,让感测电容器可以完全转向接地。
重复步骤一和二,电容器的电压就会呈现锯齿状波形,其最高电压值为VREF。而比较器的输出波形则是周期相同的脉波串,其延迟值则处于高值(HIGHTIME)。
步骤三
比较器的输出用来作为脉冲宽度调变(PWM)的时脉,并进而成为使用高速内部时脉计时器的极闸。当PWM产生插断讯号时,计时器上的值就可以被读取并且储存该输出值。
计时器的计数值与CX的尺寸成正比,因为在CX上越大的电容也代表越长的PWM充电时间,更浅的讯号以及更慢的时脉,而也连带使得计时器输出值更大。最后,藉由感测器因有无手指触碰所产生不同的计数值,来判断电容的量测值。
■连续近似法(SuccessiveApproximation)
已由Cypress申请专利的连续近似法,则利用PSoC元件进行建置,其中採用了一个电容对电压转换器,以及单斜率型(singleslope)ADC。将电容转换成电压值,并将此电压储存至电容器上,然后利用可调式电流源量测该储存电压,即可得到电容的量测值,如(图二)。

(图二) 以连续近似法量测电容值
电容对电压转换器乃是利用切换式电容器技术。这套电路可以把感测电容器的电压转成对应感测器的电容值。而切换式电容器的时脉则是来自于PSoC内部的主要震盪器。
步骤一
感测电容器CX连接至一个模拟多工汇流排上,其中感测器电容值与汇流排电容值是平行连结且互相共享电容值。此汇流排上还连接了一组可编程IDAC来为这些电容器充电。虽然电容器两端电位差一样,但内含的电荷量却不同,由下列关系式的定义即可发现:

公式一
[page]
步骤二
当开关SW2为开路而开关SW1为闭路时,将使得CX上的电压成为零,而汇流排上的电荷量就会少掉原本CX所含的电荷量。IDAC则仍会对模拟多工汇流排的电容器充电。
重复步骤一与二,CX的切换式电容器就会变成电流负载,其值则与该电容值有关:
步骤三
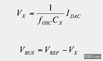
当切换式电容器线路运作时,IDAC就可以完成分类工作。此处IDAC利用二元搜寻法(binarysearch)决定出一个附加CX的汇流排之恆定电压值。这表示感测器将电压从汇流排引开的量为:

公式二
而汇流排电压结果是根据切换频率、感测器电容值以及IDAC电流所决定的。CBUS可作为旁路电容器(bypasscapacitor),来稳定所产生的电压?;懔髋派系牡缛葜悼稍黾右越徊教嵘榷ǘ?。外部电容器则会影响效能与时序等需求。
步骤四
随着无指触的感测器上所对应的IDAC值,感测电容器又会经由SW2而再次与汇流排连接。此时IDAC对汇流排充电,而且会开始量测之电容值由原先的电压值转到比较器临界值所需的时间,计时工作则是由一个16位元的计时器与内部主震荡器完成。此处会得到新的电压对应电容器的关系式,如(图三):

公式三
其中CP是感测器的原生电容值,而CF是触发物(手指)接近感测器所增加的电容值。
当连接至汇流排的感测电容器比较大时(例如用手指触碰感测器),汇流排上的电压会下降较多,而且量测充电开始处的电压也比较低。由于采用的是恆流电源,因此要达到临界电压所需的时间也比较长。最后,藉由感测器因有无手指触碰所产生不同的计数值,来判断电容的量测值。

(图三) 电压对应时间关系图
[page]
■高阶处理程序
关于感测器触发、环境重新测定、滑桿与触控板的质心计算以及其他处理程序等种种决定,所採用的计数方式皆因感测器不同而有各自基线。每个感测器的基线值经计算、储存后即可用于更为强固的决策形成上。
˙基线重新测定(BaselineRecalibration)
环境条件的改变会多方面影响感测器计数值。参考电压的临界值会随温度而变,覆盖层物质、印刷电路板的电介质常数也会受温度影响,而改变感测器电容值。热涨冷缩的效应亦会改变电容值。累积在覆盖层表面的灰尘污垢也会影响其电介质特性与电容值。此外,空气中的湿气也会影响感测器而产生些许干扰噪音。
韧体技术可以用来解决因电容值与电路系统改变而造成计数值的小变动。其实计数改变式时?;岱⑸那榭?。对内含12MHz内部主要震盪器的微处理器而言,几秒钟已算是相当长的一段时间。针对这些技术的讨论就已将相当花时间了,而无限脉冲响应(infiniteimpulseresponse;IIR)滤波器以及连续近似法只是诸多方法中的两种。
˙感测器触发(SensorActivation)
电容式感测器利用基线值和一连串的临界值来决定感测器的触发状态。触发区域的上下限能对感测器的触发产生迟滞作用。要触发感测器就必须要超越较高的临界值,而且被触发的状态会一直持续到计数值降到较低的临界值以下为止,如(图四)。

(图四) 感测器触发与电容值变化
第三临界值可消除系统周遭的干扰噪音,并且减少手指在基线重新测定上的影响;而噪音临界值(noisethreshold)则用来忽略计数(电容)值的小变化。此外,若手指触碰感测器时,杂讯临界值则是停止当时的基线测定动作。若手指触碰感测器且感测器重新测定同时启动时,则手指则对感测器基线产生极大的影响。
˙滑桿与触控板的质心计算
就算是用很小的计数值也能计算滑桿与触控板的质心。质心计算能利用乘算器与计数值来设定其解析度。
每个感测器的计数值都会乘上某一个设定值,而这些结果的总平均就可以推算出质心值。
针对触控板方面,则是分别计算其中纵向与横向滑桿的质心值。
整合
电容式感测技术可轻易地运用在电玩控制器的应用中。按键控制尤其简单,只需将原本机械式按键用具有相似电路面积的电容式按键取代即可。电容式按键因具备模拟功能,所以手指按得越用力,与感应器覆盖层的互动面就会越大,因而增加感应器与接地部分的触发面积,如此将造成更强的信号和更高的计数值。
针对操控台本身,电容式按键也可以取代面板上原有的按键和开关,并简化零件组合与提升视觉风格。而且由于面板上的按键较主机上的按键更为分散,因此可用较大的电容式按键以获得更好的灵敏度。
电容式滑桿虽然无法直接应用在电玩控制器上,但仍可附加在控制器或操控台上,以用来控制选单查询。在驾驶类游戏中的控制油门功能也可用它来取代原有的单一模拟按键。此时就不是靠按的力量,而是以上下滑动手指这种更具直觉的控制方式来决定速度。
触控板是最接近摇桿的介面型式,因为它具备二维(甚至三维)的控制维度,而且提供非机械式、比摇桿更坚固的控制架构。此外,触控板亦能提供更有趣、更具市场性的新介面。
近距感测技术则可用于无线控制器的省电功能上。对于一些以电池供电的应用而言,功耗是一项非常重要的考量要素。近距感测器可以用来关闭装置中暂时不用的主要控制器。当近距感测器侦测到手指靠近时,控制器的无线无线电可启动并与操控台接收器通信。藉由关闭控制器的无线电,即可节省可观的电力,而且也不再需要固接线路的电源开关。
PSoC混合信号阵列(MixedSignalArray)是一套可配置式的数字与模拟资源阵列、快闪存储器与RAM、一个8位元微控制器、还有其他许多功能。这些功能让PSoC可在其CapSense系列元件中建置各种创新电容式感测技术。利用PSoC的直觉式开发环境来配置或重新配置元件设计,可以符合设计规格与规格变更之需求。新的感测技术展现了更好的灵敏度与抗干扰能力,并能降低功耗、提升更新速率。





