- 开关变压器伏秒容量的意义
- 开关变压器伏秒容量测量举例
- 行扫描回扫变压器(高压包)伏秒容量测定
- 电视机的行推动变压器伏秒容量测定
- 开关电源变压器伏秒容量测定
开关变压器伏秒容量的意义
开关电源变压器或储能电感线圈的极限伏秒容量VTmax参数,其实与晶体管的最大集电极电压BVceo参数一样重要。在晶体管放大电路中,当晶体管集电极与发射极两端的电压超过最大集电极电压BVceo,晶体管就会被击穿损坏。同样,在开关电源中,当施加于开关电源变压器的伏秒容量(电压幅度与时间长度)超过极限伏秒容量VTmax时,开关电源变压器也要损坏,并且还会损坏电源开关管。
开关变压器伏秒容量的意义相当于图9中矩形的面积,面积的两条边分别由开关变压器的工作电压(直流脉冲幅度)V和通电持续时间T(脉冲宽度)的乘积组成。其极限伏秒容量相当于黄色区域部分的面积,绿色区域部分相当于开关变压器正常工作时伏秒容量的面积。
不过这里还应强调指出,只要伏秒容量的面积没有超出极限伏秒容量的面积,V或T任何一条边分别都可以超出图9中所示V或T边上的长度。
结合图8和图9,我们可以看出,开关变压器平时工作时,流过开关变压器线圈的最大工作电流为图中

在图8中,当流过开关变压器线圈的最大工作电流为图中
目前,一般开关电源变压器还都大量选用铁氧体磁芯,这种铁氧体磁芯的磁饱和磁通密度Bs一般为4500~5000高斯,因此,根据图8所示,可以看出,开关电源变压器工作时,其铁芯的最佳磁通密度Bb大约为磁饱和磁通密度Bs的一半左右,即:Bb = 2300~2500高斯。当进行开关电源和变压器设计时,即:用(4)式来计算变压器初级线圈的时候,公式中的最大磁通密度Bm最好不要超过2500高斯。
另外,铁氧体磁芯的居里温度也比较低,一般都在120℃左右,因此,对开关变压器进行质量检查的时候,居里温度参数也是一项重要内容。[page]
开关变压器伏秒容量测量举例
上面我们已经分析开关变压器伏秒容量的意义和测量方法,下面我们再进一步举例来详细分析开关变压器伏秒容量的测量方法。
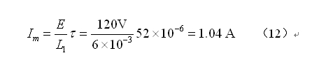
例1:电视机中使用的行扫描回扫变压器,简称高压包,其工作原理也属于反激式开关电源变压器,其初级线圈的电感量为6毫亨,工作电压一般为120V,正程扫描时间(脉冲宽度)
为此,我们可以根据(8)式,先计算流过高压包初级线圈的最大电流Im,然后再求其极限电流Imax的值,即:测试时选用迭加电流的值。
把已知参数代入(8)式:

即:

根据图8和图9,正常工作时,流过高压包初级线圈的最大电流Im不应该超过极限电流值Imax的70%,由此,可以求得流过高压包初级线圈的极限电流Imax为1.49 A 。
上面计算出来的极限电流Imax值,就是用来测试高压包初级线圈的迭加直流电流的数值。根据图7,把恒流源的电流设置为1.49 A,即:测试高压包初级线圈的迭加直流电流为1.49 A,然后测试高压包初级线圈的电感;如果测试结果Lx的数值等于或者大于初始电感L0的90%,则说明,高压包初级线圈的伏秒容量设计是合格的;如果测试结果Lx小于初始电感L0的90%,则说明,高压包初级线圈的伏秒容量余量非常小,不合格。
这里顺便说明,采用图7测试时应该注意的地方。图7中,隔离电感LT的数值要求是测试电感Lx数值的3倍以上,一般可选取20毫亨矽钢片直流电感,电感的铁芯要留有气隙;恒流电源可用一个稳压电源与一个大功率电阻串联代替,如图10,或用一个稳压电源与一个大功率晶体放大器串联来代替,如图11。


在图10中,E为稳压电源,R为大功率电阻,阻值范围在1~10欧姆比较合适,阻值太大损耗功率会很大;调节稳压电源的电压输出,就可以调节迭加电流的大小。
在图11中,E为稳压电源,Rx为可调电阻,Q为晶体管大功率放大器(必须带散热片);调节稳压电源的电压输出,或改变可变电阻的阻值,就可以改变迭加电流的大小,但晶体管大功率放大器集电极与发射极之间的电压降不要大于10V,否则,晶体管大功率放大器的损耗将很大。一般稳压电源都有电流输出指示,所以在测试电路中不需要另外安装电流表。[page]
这里特别指出,在测试高压包初级线圈的初始电感L0的时候,高压包的铁芯必须要退磁,否则,测试结果将不准确。
高压包退磁的方法是用一个20~40欧姆的消磁热敏电阻(可用两个消磁热敏电阻串联)与高压包初级线圈串联,然后接到110~220V/50Hz交流电源上,大约需要20多秒钟,待消磁热敏电阻完全加热后,即可达到退磁的目的,如图13所示。图13中RT为热敏电阻,Lx为高压包初级线圈。一般消磁电流需要达到极限电流Imax的3~5倍。
另外,迭加电流Imax的值一般是正常工作时流过高压包初级线圈电流(平均值或有效值)的好几倍。例如:上例测试的高压包,正常工作时,其平均电流Ip大约才有0.42 A,但迭加电流Imax的值为1.49 A ;由此求得,迭加电流Imax的值是正常工作时平均电流的3.5倍。一般高压包初级线圈漆包线的电流密度都小于3A/mm2 ,因此,流过高压包初级线圈漆包线迭加电流的最大电流密度为10.5 A/mm2 。这个正好同时还可以检测高压包初级线圈的线径的合理性,漆包线在40度温升的情况下,其最大电流密度大约在13A/mm2左右(直流),因此,通过测量高压包线圈的温升就可以知道高压包线圈的设计是否合理。

这里顺便介绍一下,电流平均值Ip的求法,以及其与最大电流Im和极限电流Imax的关系。图12是电流平均值Ip与最大电流Im和极限电流Imax之间的关系图。

图12中,Ip为流过高压包初级线圈的平均电流,
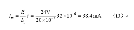
例2:电视机的行推动变压器的工作原理也属于反激式开关电源变压器,其初级线圈的电感量大约为20毫亨,其工作电压一般为一个宽度
我们可以根据(8)式,先计算流过行推动变压器初级线圈的最大电流Im,然后再求其极限电流Imax的值,即:测试时选用迭加电流的值。
把已知参数代入(8)式:

即:

根据图8和图9,正常工作时,流过行推动变压器初级线圈的最大电流Im,不应该超过电流极限值Imax的70%,由此,可以求得流过行推动变压器初级线圈的极限电流Imax为55 mA 。
上面计算出来的极限电流Imax值,就是用来测试行推动变压器初级线圈的迭加直流电流的数值。根据图7,把恒流源的电流设置为55 mA ,即:测试行推动变压器初级线圈的迭加直流电流为55 mA,然后测试行推动变压器初级线圈的电感;如果测试结果Lx等于或者大于初始电感L0的90%,则说明,行推动变压器初级线圈的伏秒容量设计是合格的;如果测试结果Lx小于初始电感L0的90%,则说明,行推动变压器初级线圈的伏秒容量余量非常小,不合格。
这里顺便说明一下,行推动变压器的占空比与行扫描回扫变压器(高压包)的占空比是不相同的,行扫描回扫变压器(高压包)有一部分时间工作于谐振状态(偏转线圈与逆程电容产生谐振),因此,行扫描回扫变压器相当于同时受到两个开关进行控制,其工作时间相对比较长。
另外,在测试行推动变压器初级线圈的初始电感L0的时候,行推动变压器的铁芯也必须要退磁,否则,测试结果不准确。
行推动变压器的退磁方法与高压包的退磁方法有一点不同,由于容许流过行推动变压器的初级线圈的电流比较小,因此,在消磁电路中需要限流。
具体方法是,先用一个零点几法拉的电容与行推动变压器的初级线圈串联,然后再与一个几微法的电容并联,最后再与一个20~40欧姆的消磁热敏电阻(可用两个消磁热敏电阻串联)串联。退磁时把电路接到110~220V/50Hz交流电源上,大约需要20多秒钟,待消磁热敏电阻完全加热后,即可达到退磁的目的,如图14所示。
图14中RT为热敏电阻,Lx为行推动变压器的初级线圈,C1为分流电容,C2为限流电容。电容C1和C2的大小,需根据行推动变压器初级线圈励磁电流的大小来决定。一般消磁电流需要达到极限电流Imax的3~5倍。

例3:电视机开关电源一般都是调宽式反激式开关电源,它有两种工作方式,一种是调宽又调频工作方式;另一种是工作频率不变只调宽工作方式。前一种工作方式多在自激式开关电源中使用,后一种工作方式多在集成电路他激式开关电源中使用。
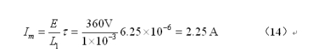
设一个100W电视机开关电源使用的开关电源变压器,其初级线圈的电感量为1毫亨,其最高工作电压为360V,最低工作电压为110V。由于开关管的耐压一般最高只有600V,并且还要预留最少20%的余量,因此,在最高工作电压和负载最重的状态下,开关电源的占空比最大只能取0.25,即:D = 0.25 ;当开关电源的负载为最重的时候,占空比也处于最大值。设开关电源的工作频率为40kHz,当占空比为最大值时电源开关管导通时的脉冲宽度 = 6.25 。
根据上面已知参数我们可以根据(8)式来计算流过开关电源变压器初级线圈的最大电流Im,然后再求其极限电流Imax的值,即:测试时选用迭加电流的值。
把已知参数代入(8)式:

即:

根据图8和图9,正常工作时,流过开关电源变压器初级线圈的最大电流Im,不应该超过电流极限值Imax的70%,由此,可以求得流过开关电源变压器初级线圈的极限电流Imax为3.21 A 。
上面计算出来的极限电流Imax值,就是用来测试开关电源变压器初级线圈的迭加直流电流的数值。根据图7,把恒流源的电流设置为3.21 A ,即:测试开关电源变压器初级线圈的迭加直流电流为3.21 A,然后测试开关电源变压器初级线圈的电感;如果测试结果Lx等于或者大于初始电感L0的90%,则说明,开关电源变压器初级线圈的伏秒容量设计是合格的;如果测试结果Lx小于初始电感L0的90%,则说明,开关电源变压器初级线圈的伏秒容量余量非常小,不合格。[page]
顺便说明,开关电源变压器的伏秒容量不但与工作电压有关,而且还与开关电源的占空比有关,即:与脉冲宽度有关。
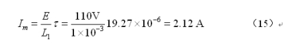
假设其它参数不变,而把工作电压由360V降为110V时,开关电源的最大占空比可取值为0.7708,即:D = 0.7708 。当开关电源的工作频率为40kHz时,电源开关管导通时的脉冲宽度 = 19.27 ,由此可以求得流过开关电源变压器初级线圈的最大电流Im为:

比较(14)和(15)式可以看出,虽然开关电源变压器的工作电压不同,但两式最大工作电流Im以及极限电流Imax基本上是一样的。值得注意的是,虽然他们的最大电流值基本相同,但它们的平均电流值却不一样。前者的平均电流为0.281A,后者的平均电流为0.817A 。因此,在选取变压器初级线圈漆包线粗细的时候,一定要按平均电流的大小来选取。由此可知,一个双电压开关电源(110V/220V),其工作效率要比单电压开关电源低,因为,双电压开关电源铜损要比较单电压开关电源大。
开关电源变压器的退磁方法与高压包的退磁方法基本相同,请参考图13。一般消磁电流需要达到极限电流Imax的3~5倍。
总 结
a.开关电源变压器的伏秒容量VT等于工作电压与脉冲宽度的乘积,由(5)式表示。

伏秒容量VT是表征开关电源变压器工作时不产生磁饱和或变压器铁芯不会工作于磁饱和区的重要参数。正常工作时,开关电源变压器的伏秒容量VT不应该超出开关电源变压器的极限伏秒容量VTmax 。
极限伏秒容量VTmax的定义是,让开关电源变压器的初级线圈通过一个直流,当流过开关电源变压器初级线圈的电流,使开关电源变压器初级线圈的电感量Lx下降到初始电感量L0值的90%时,此时流过开关电源变压器初级线圈电流的数值,就定义为开关电源变压器初级线圈的极限电流Imax,对应变压器铁芯中的磁通密度(磁感应密度)称为极限磁通密度Bmax;对应开关电源变压器的伏秒容量,称为开关电源变压器的极限伏秒容量VTmax。
对开关电源变压器的极限伏秒容量VTmax进行测试,可采用图7、图10、图11所示的方法进行,即:采用电流迭加的方法进行测量。
b.测试开关电源变压器的极限伏秒容量VTmax迭加电流的大小,由(8)式求得。

由(8)式计算出,在某工作电压E和对应的脉冲宽度 的条件下,流开关电源变压器初级线圈的最大电流Im,然后乘以一个安全系数1.43,即可求得流开关电源变压器初级线圈的极限电流Imax。此极限电流Imax就是用来测试开关电源变压器极限伏秒容量时使用的迭加电流。Imax = 1.43Im;或 Im = 0.7 Imax
c.开关电源变压器工作电压的脉冲宽度 ,可由开关电源在某工作电压状态下(最高或最低),对应的占空比D求得。下面(16)式和(17)式是计算脉冲宽度 和占空比D的关系式:


(16)式中,D为开关电源工作时的占空比,Dm为开关电源工作时的最大占空比,
d.对于高压包以及行推动变压器,由于其工作电压和脉冲宽度基本上都是不变的,因此,对高压包以及行推动变压器伏秒容量的计算或测试,相对来说比较简单;但对于开关变压器的伏秒容量进行计算或测试,就比较麻烦。
e.对于开关电源变压器伏秒容量的测试,必须结合具体电路进行。首先用示波器测量,在最高输入电压和负载最重的状态之下,电源开关管导通时的脉冲宽度 (或占空比D);然后测试电源开关管集电极的最大工作电压 ,并且要求
顺便指出,决定开关电源占空比D大小的主要因数是开关电源的输入电压与输出电压比Ui:Uo,即:开关电源变压器初、次级线圈的匝数比n。检查
不对请指正!——陶显芳 2008-01-10





