【导读】现代开关电源的设计要求由效率驱动,这不仅包括满载条件下的效率,还包含断开电缆连接时睡眠模式或空载条件下的效率。无论何种电源负载,电源系统集成商都必须满足能源之星、80 Plus以及欧盟委员会的CoC等新规范。
要满足这些要求,电源必须将开关频率降至20kHz以下,有时甚至低至几kHz。由于人耳可以听到低于20kHz的声音频率(而且在2kHz至5kHz之间最敏感),因此很难避免出现音频噪声。对于消费者应用而言尤其如此,例如所有客厅中都有电话或笔记本电脑充电器,或者LED驱动器,如果产生噪声,那将是非常烦扰的事情。
电源噪声的起因
对音频噪声最敏感的电源组件通常是MLC陶瓷电容器、电感器或变压器。电感器和变压器等磁性组件在一定频率下会受高压脉冲应力的影响,导致物理效应,例如线圈上的反向压电效应或铁芯上的磁致伸缩。
反向压电效应和磁致伸缩是将施加的电能转换为机械力的作用机制。这种机械力使线圈或铁芯振动,从而使其周围的空气移位并表现为声波。由于这些振动会在谐振频率上被放大多倍,因此说到底,我们要设法解决的是这些电源组件产生的机械自谐振频率(SRF)。
首先,我们需要测量机械SRF以查看其是否在音频噪声范围内。如果是,则找出谐振的来源。最后,在设计阶段选择合适的电气参数以限制开关频率的范围。通过避免机械SRF,从而较轻松地降低噪声。
机械自谐振
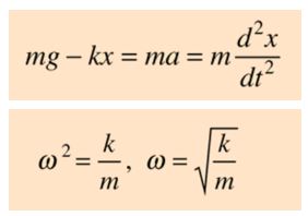
机械自谐振现象已经有模型可以识别,并已定义了可用的控件。其中,胡克定律是较为特殊的一种模型。图1显示了弹簧质量系统的方程式。该系统类似于电感器的螺旋线圈以及焊接了磁性组件的PCB组件的质量。

图1: PCB组件上的胡克定律应用
如上图所示,红球的质量(m)与PCB组件的质量相同。位移(x)由反向压电效应或磁致伸缩力引起。施加的力与PCB板重量之间的关系可以用一个二阶微分方程来完美表述(见图2)。

图2:用微分方程表述胡克定律
因此,该质量弹簧系统的谐振频率可以用公式(1)来计算: $$f_{R}=frac {1}{2pi} sqrt frac{k}{m} $$ 其中k是弹簧的刚度常数,m是质量。
实验装置
在实验中,我们采用MPS的MP174A作为电源变换器,MP174A是一款频率可调的恒定峰值电流调节器。使用该器件,开关频率会随着负载电流和输出功率的变化而成比例地变化,从而保持稳定的调节。
图3显示的实验室装置可用于测量鼓芯电感器产生的音频噪声,并找到其机械自谐振频率(SRF)。频谱分析仪应用程序和手机上的麦克风则用于测量声音。手机始终放置在距电感器5厘米处。改变变换器上的负载电流以扫描不同的开关频率,然后通过电话测量产生的声音。

图3: 实验装置
示波器可以在不同的负载电流下测量开关频率,这样,就可以在每种负载电流下测量声音。示波器波形与在每个负载电流下用手机测得的频率峰值相匹配。负载电流可在10%至80%之间变化。高于满载80%不做测量,因为其开关频率已超出了可闻范围(> 20kHz)。
图4显示了在其中一种负载电流下捕获的波形。13.16kHz的频率与该应用程序产生的频谱相匹配,该应用程序捕获到了鼓芯电感器在13.242kHz频率下的声音峰值。

图4: 开关节点波形
音频噪声频谱
音频噪声由手机中的麦克风记录下来。然后,使用安装在手机上的频谱分析应用程序绘制所有噪声频率及其各自的分贝级别(以dB为单位,用来测量音量)。
图形分析
由于开关波形和频谱分析应用程序测得的音频噪声之间的相关性,音频噪声频率与开关频率相同(参见图5)。但在12.4kHz的开关频率下,我们观察到了噪声峰值。

图5: 音频频谱
该峰值表明在输出功率为1W时,噪声幅度增加了10dB。其产生归因于电感器的机械自谐振频率。通过避免采用11kHz至13kHz之间的切换频率可以缓解此噪声峰值。我们可以将峰值电流线性减小,而不是像MP174A那样保持其恒定,同时将最小恒定开关频率保持在13kHz,以避免噪声达到峰值。然后,当输出功率降至1W以下时,峰值电流保持恒定,并且开关频率可以从11kHz线性降低至更低的频率。

图6: 噪声(dB)和功率(W) vs. 频率
解决方案
本文详细介绍的控制策略可以进行修改,如跳过某些过于接近磁性元件机械SRF的开关频率。设计磁性元件时,可以采用超过20kHz的谐振频率,或远低于所需最小开关频率的谐振频率,以在整个输出功率范围内保持符合规范。人耳在2kHz至5kHz频率之间最为敏感;改变绕组的刚度常数也能改变谐振频率。
改变谐振频率的一种方法是减小绕组线的张力。在连接至变压器引脚的绕组线上加一个套管来释放绕组线的应力,也可以降低其刚度常数。
采用具有较高峰值电流变量的开关电源,可提供不同范围的开关频率来避开其自谐振频率,这可以解决音频噪声问题。改变磁性组件的外形或其机械结构也可以帮助降低音频噪声,因为某一类机械结构的SRF可以避开开关频率范围,比如,加磁芯屏蔽或不加磁芯屏蔽,亦或是不同制造商制造的相同感值的组件。
结论
解决电源音频噪声有多种方案,例如改变控制策略以避开特定频率或更改峰值电流都可以降低音频噪声。改变磁性设计以改变刚度常数、电路板重量或线圈结构也可以减轻噪声。采用一种方法,或几种方法一起使用,都可以消除或最小化电源中的音频噪声。
来源:MPS
免责声明:本文为转载文章,转载此文目的在于传递更多信息,版权归原作者所有。本文所用视频、图片、文字如涉及作品版权问题,请联系小编进行处理。
推荐阅读:





