桃花源qm花论坛(品茶),凤楼阁论坛官网入口网址,一品楼品凤楼论坛最新动态,风楼阁全国信息2024登录入口

你的位置:首页 > 电源管理 > 正文

知道并理解!MOSFET特性

发布时间:2021-08-11 责任编辑:wenwei

【导读】功率MOSFET在构造上,如图1存在寄生容量 MOSFET的G (栅极) 端子和其他的电极间由氧化膜绝缘,DS (漏极、源极) 间形成PN接合,成为内置二极管构造。Cgs, Cgd容量根据氧化膜的静电容量、Cds根据内置二极管的接合容量决定。
 
关于MOSFET的寄生容量和温度特性
 
MOSFET的静电容量
 
功率MOSFET在构造上,如图1存在寄生容量。
 
功率MOSFET在构造上,如图1存在寄生容量 MOSFET的G (栅极) 端子和其他的电极间由氧化膜绝缘,DS (漏极、源极) 间形成PN接合,成为内置二极管构造。Cgs, Cgd容量根据氧化膜的静电容量、Cds根据内置二极管的接合容量决定。
 
图1: MOSFET的容量模型
 
知道并理解!MOSFET特性
 
一般而言MOSFET规格书上记载的是表1中的Ciss/Coss/Crss三类。
 
表1 MOSFET的容量特性
知道并理解!MOSFET特性
 
容量特性如图2所示,对DS (漏极、源极) 间电压VDS存在依赖性。VDS大则容量值小。
 
图2: 容量 - VDS 依存性
知道并理解!MOSFET特性
 
温度特性
 
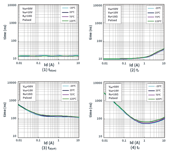
实测例见图(1) ~ (3)所示
 
关于容量特性的温度依存性几乎没有差异。
 
图3: 容量温度特性
知道并理解!MOSFET特性
 
关于MOSFET的开关及其温度特性
 
关于MOSFET的开关时间
 
栅极电压ON/OFF之后,MOSFET才ON/OFF。这个延迟时间为开关时间??厥奔淙绫?所示种类,一般而言,规格书上记载td(on)/ tr/ td(off)/ tf。
 
ROHM根据图2电路的测定值决定规格书的typ.值。
 
表1: MOSFET的SW特性
知道并理解!MOSFET特性
 
知道并理解!MOSFET特性
 
温度特性
 
实测例如图3(1)~(4)所示。
 
温度上升的同时开关时间略微增加,但是100°C上升时增加10%成左右,几乎没有开关特性的温度依存性。
 
图3: 开关温度特性
知道并理解!MOSFET特性
 
关于MOSFET的VGS(th)(界限値)
 
关于MOSFET的VGS(th)
 
MOSFET开启时,GS (栅极、源极) 间需要的电压称为VGS(th)(界限值)。
 
即输入界限值以上的电压时MOSFET为开启状态。
 
那么MOSFET在开启状态时能通过多少A电流?针对每个元件,在规格书的电气特性栏里分别有记载。
 
表1为规格书的电气特性栏示例。该情况下,输入VDS=10V时,使1mA电流通过ID所需的栅极界限值电压ID(th)为1.0V to 2.5V。
 
表1: 规格书的电气特性栏
知道并理解!MOSFET特性
 
ID-VGS特性和温度特性
 
ID-VGS特性和界限值温度特性的实测例如图1、2所示。
 
如图1,为了通过绝大部分电流,需要比较大的栅极电压。
 
表1所记载的机型,其规格书上的界限值为2.5V以下,但是为4V驱动产品。
 
使用时请输入使其充分开启的栅极电压。
 
如图2,界限值随温度而下降。
 
通过观察界限值电压变化,能够计算元件的通道温度。
 
知道并理解!MOSFET特性
图1: ID-VGS特性
图2: 界限值温度特性
 
 
免责声明:本文为转载文章,转载此文目的在于传递更多信息,版权归原作者所有。本文所用视频、图片、文字如涉及作品版权问题,请联系小编进行处理。
 
推荐阅读:
 
解密RF信号链—第2部分:基本构建???/a>
贸泽电子新品推荐:2021年6月新增超3100个物料
HT7180 3.7V升12V/2A内置MOS大电流升压IC解决方案
隔离电源和非隔离电源的区别,小白必读!
线性电源芯片烫手,问题出在哪里?
特别推荐
技术文章更多>>
技术白皮书下载更多>>
热门搜索

关闭

?

关闭