【导读】本文介绍了目前三种5G射频组件,并关注这些组件在军事通信领域中的应用。通过详细介绍RF MEMS开关、基于物联网的能量收集器、RF SAW滤波器三种组件的内部结构、技术特点以及它们支持增强系统应用的功能,同时根据其技术特点,对5G通信配套组件在未来军事通信领域的应用进行了展望。
0 引言
随着物联网(IoT)的出现以及下一代移动网络5G目标的实现,电路和设备技术都取得了长足的进步。本文重点介绍三种5G器件技术及其组件,从射频/微波微机电系统(MEMS)器件到物联网传感器的能量收集,再到声表面波滤波器的应用,并对这三种组件的军事通信应用技术可行性进行了探讨,给出了应用示例。
本文第一部分介绍并评估RF MEMS开关以及实现所需要的RF的设计要求,这里主要关注RF MEMS开关构成和RF性能方面的先进性,因为它们将在未来通信领域,特别是军事通信领域发挥越来越重要的作用。
第二部分主要关注能量收集器在IoT中的应用,主要讨论热电能量发生器(TEG)设备。热电能量收集器指的是那些可以用收集到的微量的浪费热量来产生可使用电能的设备,该转化的电能反过来可以应用在设备上。无论是军用还是民用通信设备,热-电能量发生器的优势适合于一些不便接受或更换的场景,因此在军事通信装备中将有广阔应用的可能。
第三部分将介绍RF表面声波(SAW)滤波器的技术和应用。这些叉指式换能器(IDT)内容的介绍将主要针对射频前端接收的无源MEMS谐振器及搭建成的多级SAW滤波器,目前这种滤波器已开始在军事通信领域展露出相关应用。
最后,本文分别对三种组件的技术局限或应用瓶颈,以及它们在工艺和工程推广中存在的困难和不足,进行分析和介绍,并对全文进行总结。
1 射频微机电系统(RF MEMS)
过去,MEMS开关一致被认为是性能有限的机电继电器的优越替代品,凭借易于使用、损耗最小、线性度好、隔离度高、可靠性高的优势,从0 Hz到数百GHz的小型开关,一经问世就改变了许多电子设备的实现方法,尤其在电子测量、国防军事和健康监护等行业设备中形成了规模应用。
RF MEMS器件是MEMS与射频技术相结合的一类器件,具有体积小、易集成、功耗低、可靠性高、Q值高等优点,可代替传统无线通信设备中的半导体器件,既可以器件配装电路,如MEMS开关、MEMS电容、MEMS谐振器,也可以集成到同一芯片组成组件和??椋缏瞬ㄆ?、VCO、RF MEMS移相器。将来很长一段时间,功率半导体器件(也被称为第三代半导体器件),会成为电子设备尤其是功率电子设备的主要发展方向。目前在军事通信设备领域,国产功率器件和MEMS器件进行组合,相对于原先以晶体集成电路加功率放大电路的组合,正慢慢开始替代升级,成为通信设备、光电、雷达配套组件电路设计中的一种新思路。RF MEMS开关和IGBT器件的结合,在对功率和高频同时具有高指标和高可靠性要求的场合,具有革命性的意义,如应用于相控阵雷达天线的T/R??椋湫阅芏陨璞负拖低秤τ镁哂猩钤队跋?。
(1)主动开放式MEMS
这里介绍一型DC(K波段)0 Hz~26 GHz且超长使用寿命的单刀双掷(SPDT)MEMS开关,与集成驱动电路配合使用,技术成熟度较高,已在多个工程型号中应用。该开关在26 GHz时具有1 dB的插入损耗和23dB的阻断隔离。MEMS开关可实现的射频特性非常适合5G和毫米波军事通信设备,因为它们的器件非线性特性非常明显,且具有低损耗和高带宽,这几乎是为军事通信装备量身定做的,很容易满足电路的功率要求。ADI公司的一型5G通信MEMS开关,技术指标就达到了69 dBm的IIP3线性度且在大于36dBm的功率下正常工作的水平。
图1展示了主动开放式MEMS装置的三维表示以及其对应的SEM显微照片图像。两个栅电极分别位于光束的后部和前部,通过向相应的控制电极施加适当电压,使光束闭合和静电打开。该MEMS开关管芯使用高电阻率硅晶片构造,该硅晶片在二氧化硅电介质中实现多晶硅、铝和钨的CMOS兼容互联,以形成开关器件的电互连。然后使用特殊的不粘接触金属和镀金工艺,将开关装置在该电介质的顶部进行微机械加工,随后使用金属牺牲层释放金属,最后再使用晶片级密封玻璃盖将开关封装在硅外壳中。

图1 主动开放式MEMS开关的SEM显微照片及封装形式图
(2)MEMS性能
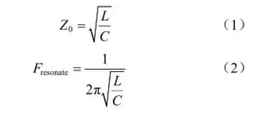
如图1所示,通过最小化引线键合电感,我们可以在塑料封装中实现26 GHz的RF带宽。与此同时,我们需要使用多个并联引线键合将其值降到约300 pH,并配置装置设计以尽可能缩短引线的跨度。然后我们在MEMS芯片上产生调谐匹配电容(约120 fF),同时与引线键合产生50 ?的匹配电阻,从而最大限度地减少反射和回波损失。接下来,利用式(1)来计算所需要的匹配电容值,利用式(2)计算出由引线键合与焊盘处的匹配电容产生的LC谐振器的截止频率为26.48 GHz。

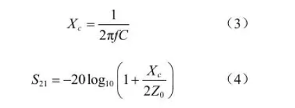
器件的隔离标准由开关的输入到输出电容决定,它由开关级的三个主要元件组成:从尖端到漏极触点的电容、从光束到漏极区域的电容,以及从源极区域到漏极通过衬底的电容。在此基础上,我们需要尽力使得所有这些电容最小化来达到5 fF以及更小的参数级别。式(3)用来计算在给定感兴趣频率f下电容器的电阻电抗(XC),其中C是开关的关断状态电容。式(4)可以用来计算以来于电抗器件的传输系数(断开隔离)以及系统的特征阻抗。

图2给出了不同的电容之间的期望绝缘隔离与频率之间的关系图,可以看出小于4 fF的电容需要在26 GHz处产生25dB的隔离。

图2 不同的电容之间的期望绝缘隔离与频率之间的关系图
RF MEMS开关具有小型化、低成本、低功耗、高度集成化等方面的优势,逐渐广泛应用于军民各领域,主要包括移动电话、便携式计算机的数据交换。
军用市场因小型化、智能化的发展趋势,对RF MEMS器件的需求量日益剧增,如基于MEMS技术的军用微型机器人、军用微型飞行器和军用微纳卫星等。目前,并联电容式MEMS开关已工作到驱动电压30 V,工作频率30 GHz的插入损耗小于0.2 dB,隔离度大于40 dB,已可以用于机载、车载、舰载收发机和卫星通信终端、北斗导航等军用通信领域,尤其率先应用于信息化作战指挥、战场通信、微型化卫星通信系统、相控阵雷达等方面。
另外,根据MEMS开关不同的特性,将多个开关串联、并联或混联组成一个开关模组,具有更高的隔离度和性能。如将电容式开关并联提高可靠性,将开关级联则可以形成各类移相器;通过设置开关数量改变相移的步进,通过控制开关通断实现相移;通过利用MEMS开关控制信号传输的通断可实现滤波器的模拟和数字可调;把MEMS开关按相控阵天线的布局方式组合形成一个可重构天线,通过控制开关网络可使天线实现在不同频率和工作模式中切换,可应用于对不同工作频率(覆盖不同频率的无线通信局域网)、波束波形(雷达阵列天线)和工作模式(如自动导航系统)有特殊需求的军事装备等等。
2 热-电能量收集器
MEMS技术发展的关键技术之一是微能源技术。热-电能量收集器指的是那些可以用收集到的微量的浪费热量来产生可使用电能的设备??捎糜谀芰坎杉娜饶苤饕ㄎ露忍荻群腿攘?,对应的能量采集器被称为温差电池或热电发电机,是一种基于热电效应(或称为塞贝克效应),利用温度差异使热能直接转化为电能的装置。温差电池的材料主要有金属和半导体两种,后者的热电效应较强。热电效应强弱对应着热-电能转化效率的高低。微型热-电发电机最成功的应用当属日本精工的热电腕式手表,该手表使用10个热电模块采集人体-环境之间的温度差,并转换成微瓦量级能量驱动手表运动。
物联网中最需要的是大量传感器,将态势、将能量、信息进行传输、收集,以汇总、分析或帮助判断产生指令,传感器的类型越多,功能越强大,物联网的作用和效果就越好。面向物联网射频收发组件自供电低功耗热电-光电集成微型传感器结构方案中,热-电-光集成微型能量收集器作为能量转换单元,可同时收集射频功率放大器工作中耗散的热能和环境中的光能,收集的电能能够为射频收发组件自身的低功耗??椋↙NA)或微波信号检测器等构成的无线网络传感节点供电,实现传感系统的自供电或能量自主。
热-电能量收集器能够将自身的供电系统应用到传感器上并将它们使用在一些不太容易接近的场景中,同时还能省却更换电池的环节费用和降低维护成本。作为“零脚传感器”终极设计目标的一部分,其目的是从大约10℃的温度下降中产生足够的功率(约400 μW)来为无线传感器节点供电。在某些特殊领域,传感器节点所需要的所有功率是通过将节点安装到加热表面(如泵、马达、热水器、管道)上,通过吸收环境的热能而产生电能为监测节点传感器供电,而实现无线供电、无限运行时间的目的。
这里介绍一种通过贝塞克效应将废热转化为电能的设备,当热电-光电集成微型能量收集器两端加载10 K的温差时,1 cm 2的芯片可输出0.6 μW的功率,其结构原理如图3。

图3 热电能量转化器原理图
在智能化和信息化的今天,节点传感器的功耗可以通过组件以及数据传输速率和传输模式进行适时调整和优化,也就是说,热-电能量收集器可以实现一定的自适应调整功能,融入低能耗、能耗管理功能,优化调整集电供电方式,以适应用电单元或监测模块的用电需求,使模块工作时间更长状态或设备更易被监控。
事实上,目前军用市场对能量收集器这一新技术的需求也逐渐升温,热电能量收集器应用主要集中于作战飞机和直升机的健康和使用监控系统(HUMS),减小功率器件损耗,延长设备寿命,有效降低了事故率,增加了安全性,减小了使用维护费用,具有十分重要的军事和经济效益。未来,热-电能量收集器可用于装备共形相控阵列的飞机上,如安装在飞机机翼的非维护部位,一方面由于射频发射机工作时会产生大量的热,以及飞机飞行中存在显著的热对流,为热-电发电收集提供了理想热源;另一方面,飞机高空飞行时阳光更加充足,微型光电发电机的输出效能可观。热电-光电能量收集器不仅可为射频收发组件的自身低功耗模块(LNA)或监控发射功率、谐波失真的微波信号检测器供电,实现面向射频收发组件自供电/低功耗热电-光电集成传感系统,还可以为其他多种类型的无线低功耗传感器(比如无线式气压传感器、温度传感器、雨量传感器以及风向/速度传感器等)节点供电,用于检测飞机表面环境,引导飞机航行和情报数据的采集。其实,不仅限于热-电转换,微能源可来源于热-电、光-电、机械-电、电磁-电等多种能量转换方式,集成化、多样化的微型能量发电机将会具有广阔而光明的应用前景。
3 RF SAW滤波器(射频声表面波滤波器)
射频干扰一直是通信产品设计师的天敌,需要防范隔离来自设备自身及外界的多源干扰。射频滤波器将通信设备发射和接收的无线电信号从不同频段中分离出来,其中SAW因低插损和良好的抑制能力,且被制作在芯片上,而天然具有一系列优势,包括电/机或机/电的能量转换效率极高、发射/接收隔离度好、高频选择性好、品质因数高(个别产品大于5000)、较低的插损(1~3 dB)、温度稳定性好。温度漂移小于10 ppm/ ℃。目前主要应用在无源或低辐照的RF唤醒系统,例如医疗保健行业的遥测等,该唤醒系统还可以与无线收发器、传感器系统集成共同封装,与基于占空比的唤醒系统相比,该系统可以通过降低功耗来最大化电池寿命。
目前,在新一代通信产品开发中,采用MEMS RF滤波器将首先设置接收器的选择性,这需要选择具有低插入损耗、低温度系数和高频选择性好的无源滤波器。从设计角度盾,RF SAW滤波器完全满足较高的Q值以及低插入损耗谐振器的要求,能极大提升RF MEMS滤波器性能。
图4所示的结构是一种用于北斗导航通信设备的IDT TC-SAW(叉指换能结构温度补偿声表波)谐振器器件结构,它采用了6级谐振器串并联而构成了梯形结构的滤波器,可以满足北斗导航下行2492 MHz滤波器的设计需求。图5结构的SAW滤波器,经过试验测试和工程验证,性能测试结果见表1~表3,类似结构形式也可用于其他型号设备。

图4 SAW谐振器结构图

图5 SAW滤波器结构图以及不同压电材料的滤波器频率响应
表1 谐振器结构参数

表2 SAW滤波器基本参数

表3 声表滤波器常温测试结果(23 ℃)

RF SAW滤波器通过调节谐振器参数可获得不同情况下SAW谐振器的性能,比如拥有较高机电耦合系数值K2的压电材料,就可以实现更高带宽,通过调节电路的静态电容比Cop/Cos或在电路中串/并联加入新的谐振器等方法,可以改进滤波器电路的频率响应,实现拥有宽带、高抑制、低插损和高陡峭度的SAW滤波器。而RF SAW滤波器在设计上的主要特点是设计灵活性大、模/数兼容、频率选择性好、传输损耗小、抗电磁干扰能力强、可靠性高、体积小重量轻等。这些特点正适应了现代通信设备轻薄化、数字化、高性能、高可靠等方面要求,在军事领域中RF SAW滤波器主要应用于跳/扩频通信、脉冲压缩雷达、电子对抗和遥感导航等。
4 总结
本文概述了三种用于实施5G生态系统和扩展物联网的模组件技术特点,并重点介绍了RF MEMS开关的技术特点。它不仅可以支持数据测量,并且在毫米波工作频段具有低插入损耗的特点和出色的射频控制性能,这样的参数性能对于军事通信装备非常适用。但同时,RF MEMS器件也存在技术难点,如:受加工工艺约束,性能稳定性不够好;可靠性受材料和环境的影响大,目前寿命参数的稳定性还需要提高;器件封装质量对性能的影响目前是工程化应用的瓶颈;驱动电压通常较高( 30~80 V ),在处理大功率的射频信号时容易导致失效。如果工程化可稳定实现,那这些性能优异、价格适中、可靠性稳定性高的RF MEMS通信组件,必将在下一代军事通信领域大放光彩。
另外,本文提出的基于物联网应用的热电能量收集器以及健康监测等应用,也有一定的技术瓶颈。在目前技术下,受材料特性的局限,光-电收集和转化效能输出高于热-电效应。另外,DC-DC转换是实现热-电集成微型能量收集器对外输出功率的必要环节,对微型热电式发电机来说,输出的电压都明显小于常见器件的供电电压,需要通过DC-DC电路对它们的输出升压后,再为电池充电。但即便如此,基于MEMS技术的热/光-电发电机等微能源技术,必将是未来低功耗器件的理想解决方案。
最后,本文介绍了RF SAW滤波器的技术特点和应用,以及当前面对工程应用的技术难点和局限性,RF SAW谐振器因其无源和良好射频特性,高Q值和低插损等特点,都非常适合于军事通信设备的射频接收前端。不过,目前RF SAW滤波器也存在技术上的不成熟和短板,一是目前技术上适合于3 GHz工作频率以下,如频率过高则其基片材料刚度变小、声速会降低,其性能特性受温度变化的影响会大幅恶化;二是基片的定向、切割、研磨、抛光等制造工艺复杂,对设备的精度和工艺要求高,且投入大;三是所需材料价格昂贵,成本过高,产品特性与军事装备可靠性要求还有一定差距。一旦将来材料工艺和高频段应用等技术难点攻克,它将会广泛应用于未来军事通信设备的射频接收。
本文内容转载自《现代导航》2020年第6期,版权归《现代导航》编辑部所有。
免责声明:本文为转载文章,转载此文目的在于传递更多信息,版权归原作者所有。本文所用视频、图片、文字如涉及作品版权问题,请联系小编进行处理。
推荐阅读:






