桃花源qm花论坛(品茶),凤楼阁论坛官网入口网址,一品楼品凤楼论坛最新动态,风楼阁全国信息2024登录入口

你的位置:首页 > 电源管理 > 正文

专为Xilinx Zynq UltraScale+ RFSoC打造的小型超低噪音电源???/h2>

发布时间:2021-04-02 来源:Heng Yang 责任编辑:wenwei

【导读】随着高性能FPGAs和ASIC的快速普及,电源模块设计也迎来了一定的挑战 —— 应用需要更宽的无线网络带宽来驱动,而数据中心则需要更高的功率密度、更快的负载瞬态响应和更高效的工作效率。Xilinx Zynq UltraScale+ RFSoCs 即将多千兆采样 RF 数据变换器和软判决正向纠错(SD-FEC)集成到 SoC 架构中。

新的系列产品配备了 ARM Cortex-A53 处理子系统,UltraScale+ 可编程逻辑以及 Zynq UltraScale+ 元器件中的最高信号处理带宽,为无线,有线接入,测试和测量,早期预警/雷达和其他高性能RF应用提供了全面的RF信号链。然而,更高集成度的 Zynq UltraScale + RFSoC 给电源解决方案设计也带来了挑战。此外,RF 数据变换器的性能与其电源的噪声水平紧密相关。MPS 电源??榧染哂泻芨叩墓ぷ餍驶鼓茏畲笙薅鹊丶跎俚缏钒宓氖褂妹婊?。此应用说明概括了 Xilinx Zynq UltraScale+ RFSoC 电源设计解决方案。演示的 EVREF0102A 参考设计电源为 RF 数据变换器提供了超低噪声电压。
 
电源架构
 
图 1中展示了 Zynq UltraScale+ RFSoC 的电源架构图。正如图中所示,RFSoC 需要30多个电压轨。PL 域中的电压轨用于RFSoC,PS域中的电压轨用于内置ARM内核。合并电压轨可以最大限度地减少变换器的使用数量。MPS电源模块可以最大限度地降低 PCB 占板面积,简化电源设计。
 
专为Xilinx Zynq UltraScale+ RFSoC打造的小型超低噪音电源模块
图 1. MPS 为 Zynq UltraScale+ RFSoC 设计的电源解决方案
 
每个电压轨的电流规格取决于在 RFSoC 上运行的产品和具体应用/程序。 表 1 列出了 Zynq UltraScale+ RFSoC 系列产品每根电压轨的典型电流要求。建议使用 Xilinx 电源评估 (XPE) 工具 来评估精确的电流要求以便优化电源解决方案。除了电压和电流规格,Xilinx FPGA 电压轨的供电电源必须符合以下要求:
 
●     稳态下所有电压轨(除了模拟电压轨之外)的输出电压纹波必须低小于10mV。
●     所有电压轨的启动必须为单调上升。
●     在电流上升速率为100A/μs,负载瞬态为 25% 时,核心电压轨(VCCINT) 的输出电压偏差必须小于 +- 3%。
●     供电电源的上下电时序必须遵循 Xilinx 定义的特定时序。
 
专为Xilinx Zynq UltraScale+ RFSoC打造的小型超低噪音电源??? width=
*支持高达 6V 的输入电压, **支持 12V 输入电压。点击查看整套分立解决方案。
 
表 1. MPS 设计用于 Xilinx Zynq UltraScale+FSoC 的电源??榻饩龇桨?/div>
 
使用电源??橛呕缭唇饩龇桨?/div>
 
MPS 电源??樘峁┝烁叨燃傻母咝У缭唇饩龇桨?。图 2 展示了 MPS 电源模块的典型结构,它在单个封装内集成了 MPS 专利单片 IC、电感和选定的无源元件。采用 Mesh-connect 封装技术,将器件贴装在引线框架上可以最大限度地减少功率 IC/电感与 PCB 板之间的热阻。单片 IC 将功率 FET、控制电路和驱动集成在一个单独的硅片中。单片技术可以最大限度地减少驱动电路和功率 FET 栅极之间的寄生电阻。从而能最大限度地减少开关损耗。
 
表 1显示了 MPS 为 Xilinx Zynq UltraScale+FSoC 设计的电源??榻饩龇桨?。备注,MPS同时也提供分立式电源解决方案。
 
专为Xilinx Zynq UltraScale+ RFSoC打造的小型超低噪音电源??? width=
图 2. MPS 电源??榈湫徒峁?/div>
 
图. 3 演示了用于 Xilinx Zynq UltraScale+ RFSoC的参考设计板 (不含 RF 数据变换器电压轨)。参考设计板使用了 5 款领先的电源模块。 MPM3695-25 是一款 16V,20A 电源???。核心电压轨采用 2 个并联的 MPM3695-25s 以提供高达 50A 的峰值电流。单个 MPM3695-25 为电压轨 2 提供高达 25A 的峰值电流。MPM3695-10 是一款 14V,7A 超薄电源模块。 MPM3632C是一款 18V,3A 强制连续导通模式(CCM)电源???。
 
专为Xilinx Zynq UltraScale+ RFSoC打造的小型超低噪音电源??? width=
图 3. Zynq UltraScale+RFSoC 参考设计板
 
专为Xilinx Zynq UltraScale+ RFSoC打造的小型超低噪音电源模块
图 4.上下电时序
 
MPM3606A是一款 21V, 0.6A 电源??椤M幌盗谢固峁┝思嫒菀诺?1A,2A 和 3A 电源???,让电源解决方案设计更加灵活。 经充分验证,参考设计的性能符合 Xilinx 要求。 图 4 显示了上下电时序波形图。
 
集成电感的 MPM3695 先进电源模块系列为 FPGAs 和 ASICs 供电方案提供了通用的解决方案。MPM3695 系列产品可通过堆叠多个 MPM3695-25s 或 MPM3695-10s 扩展输出电流。相比分立式负载点(POL)解决方案,MPM3695 系列产品可以提供高达 60% 的高功率密度,不仅简化了 PCB 的布局和功率级设计,还能最大限度地减少外部元器件以及电源变换器专有知识的使用,大大优化了补偿网络设计。通过采用单片电源IC结构和定制集成电感设计,同时结合领先的封装技术,MPM3695 系列电源??榈姆庾俺叽绫染赫咦阕闼跣×?0%。
 
图 5 和 6 分别展示了电流上升速率为 100μA/s,负载瞬态为 25% 时的负载瞬态波形图以及满载下的输出电压波形图。如图所示,负载瞬态期间的输出电压偏差小于 ± 3%,并且在稳态下输出电压纹波小于 10mV。
 
专为Xilinx Zynq UltraScale+ RFSoC打造的小型超低噪音电源??? width=
图 5. 核心电压轨的负载瞬态纹波。
 
专为Xilinx Zynq UltraScale+ RFSoC打造的小型超低噪音电源??? width=
图 6. 核心电压轨的输出电压纹波。
 
专为赛灵思 ZCU1275 设计平台开发的模拟电源???/div>
 
Xilinx Ultrascale+ RFSoC 内置了一个高速模数转换器(ADC)和一个数模转换器(DAC),要求超低的输出噪声。与传统低压差(LDO)稳压器相比,开关电源(SMPS)的高效优势显而易见。但也因其开关特性,开关电源在开关频率和谐波处会产生噪声。MPS电源??槲礁鲎蠲舾械腁DC和DAC电源采用了两级CLC无源滤波器,最大限度地降低了输出电压噪音。EVREF0102A是专为赛灵思ZCU1275 Zynq UltraScale+RFSOC 设计平台所开发的模拟电源???。图 7 演示了EVREF0102电源模块。
 
专为Xilinx Zynq UltraScale+ RFSoC打造的小型超低噪音电源??? width=
图 7. EVRF0102 超低噪音电源???/div>
 
针对所有敏感型 RF 数据变换器电压轨,其输出电压均小于1mV。EVREF0102A采用了五个带集成电感器的高效降压开关电源???。 MPM3833C是一款6V、3A、超小型降压电源???, MPM 3683-7是一款16V、8A电源模块。 两款电源??槎季哂屑杀;すδ?,包括OCP、OVP、UVP和OTP。与传统的LDO解决方案相比,EVREF0102A的效率提高了80%。EVREF0102A模拟电源模块通过采用强制连续导通工作模式(CCM)和后无源滤波器,实现了超低噪声水平,可以满足Xilinx对高速数模变换器规范。其中,两个最敏感的ADC和DAC电源使用CLC无源滤波器,其他电源使用电容滤波器。请见附录参考设计。
 
图 8-11 为传统LDO解决方案与MPS电源模块对照图。在赛灵思实验室里,ZCU1275开发板收集到了实验结果。如图中所示,MPS电源??橛氪矻DO解决方案的噪音水平相当。
 
专为Xilinx Zynq UltraScale+ RFSoC打造的小型超低噪音电源??? width=
 
结论
 
用于Xilinx FPGAs的MPS电源模块解决方案具有高效率、全集成和尺寸小特性。可扩展电源??槲诵牡缪构焯峁┝送ㄓ媒饩龇桨浮6杂诿舾行偷腞F数据变换器电压轨来说,采用电源模块代替传统LDO可以显著提高效率。MPS提供的2个参考设计板性能已充分验证。本应用说明的附录中概述了用于RF数据变换器电压轨的无源滤波器设计工艺,该滤波器可以最大限度地降低输出电压纹波。
 
附录: 两级滤波器设计
 
同步降压变换器由输入电容器CIN、两个开关(S1和S2)及其体二极管、储能电感(L)和输出电容器(COUT)组成。当S1接通,S2断开时,输入源向功率电感(L)和负载提供电流。此时,电感电流上升。当S2接通而S1断开时,电感器中存储的能量被转至输出电容器和负载,导致电感器电流下降。降压调节器的开关行为导致输出电压波动。应在输出端放置一个输出电容器(Cout),以便在稳态时平滑输出电压。输出电容器通过为高频电压分量提供低阻抗路径,将高频纹波反射回接地,从而降低输出电压纹波。
 
专为Xilinx Zynq UltraScale+ RFSoC打造的小型超低噪音电源??? width=
图 1: 低噪音滤波器设计
 
接着,假设Buck降压变换器采用连续导通模式(CCM),以最大限度地降低输出电压纹波。L电感值也满足电感器的电流纹波要求。其最小值可通过以下公式计算得出:
 
专为Xilinx Zynq UltraScale+ RFSoC打造的小型超低噪音电源??? width=   (1)
 
其中,VIN 和 VOUT 分别代表输入和输出电压,D=VOUT/VIN 代表占空比, I_(L,p-p)代表电感的峰-峰电流纹波,fSW代表变换器的开关频率。通常,峰-峰电感电流纹波可设置为输出DC电流的20-40%。
 
输出电容值应能确保其输出纹波低于应用需要的峰-峰纹波值。对于单级电容滤波器,其最小输出电压纹波可达1~2 mV。
 
在稳态下的一个开关周期内,向电容器输送的净电荷为零。图 1阴影区的电容电荷可通过以下公式计算得出:
 
专为Xilinx Zynq UltraScale+ RFSoC打造的小型超低噪音电源模块   (2)
 
其中T为开关切换周期。根据定义,给定周期内的电容电荷也可表示为:
 
专为Xilinx Zynq UltraScale+ RFSoC打造的小型超低噪音电源??? width=   (3)
 
公式(2)代入公式(3),得到输出峰-峰电压纹波(VOUTp-p)所需的最小电容为:
 
专为Xilinx Zynq UltraScale+ RFSoC打造的小型超低噪音电源??? width=   (4)   
 
理想情况下,并联更多的输出电容可以降低对地的高频阻抗,从而减小输出纹波。而实际上,输出电容器是横放在印刷电路板上的。如果在印刷电路板上增加更多的输出电容,会给并联电路增加额外的寄生电感和交流电阻,增加输出电容的效果会逐渐降低。
 
如图 2所示的典型PCB布局,MPS电源模块通过集成电感,可大大简化电源转换器设计。在MPM3833C的PCB布局中,为输出功率路径进行了大面积铺铜,这能最大限度地降低功率损耗。输出电容器也是沿着输出电流路径放置的。如图所示,随着放置在输出平面上的电容器越来越多,附加电容器与电源模块输出引脚之间的距离也变得越来越大。因此,在离电源??榻显兜氖涑龅缛葜?,会产生更多的寄生电感。增加输出电容的效果变得越来越差,最终远端电容的高频对地回路以寄生电感为主。
 
专为Xilinx Zynq UltraScale+ RFSoC打造的小型超低噪音电源??? width=
图 2. MPM3833C电源??榈湫蚉CB布局
 
为演示回路寄生电感的影响,这里使用Simplis设计出了具有不同输出电容的MPM3833C。并假设每个增加的输出电容向回路引入0.5nH的寄生电感。图 3展示了带有一个22µF电容器的电源??槭涑鑫撇???梢钥闯觯涑龅缛萜鞯娜酚行У亟档土耸涑鑫撇ǎ涸?V输入,1.2V 输出和2A负载时,输出纹波降至约为3mV。
 
专为Xilinx Zynq UltraScale+ RFSoC打造的小型超低噪音电源??? width=
图3带一个22µF输出电容的MPM3833C所产生的输出纹波
 
为了进一步降低输出电压纹波,可以在输出端再增加一个22µF的输出电容。由于新增的电容器必须放置在离电源模块更远的地方,因此新增电容器所引入的寄生电感为1nH。 图 4 (a) 给出了仿真输出电压波形图,其中输出电压纹波已降到2mV。与图 3所示的波形图相比,增加一个22μF输出电容器可将输出电压纹波有效降至3mV,而再增加一个 22μF电容器的效果其实并不明显。图 4(b)显示了多一个22μF电容器后(总共4x22μF)的输出电压纹波。最后一个22µF 电容器在其高频对地回路中引入的寄生电感为1.5nH。如图所示,与使用3x22µF的情况相比,多增加一个电容器后输出纹波降低度小于5%。
 
专为Xilinx Zynq UltraScale+ RFSoC打造的小型超低噪音电源??? width=
图4带(a) 4x22uF和(b) 5x22uF输出电容的MPM3833C所产生的输出纹波
 
从图3和图4的演示可知,PCB上添加的电容器越多,PCB铺铜/走线所产生的寄生电感就越多。最终,增加更多电容器的作用被回路中不断增加的附加寄生电感所抵消。
 
第二级滤波器设计
 
通常,并联输出电容器能将输出电压纹波有效降低到最低1-2mV。要实现低于1mV的纹波,需要一个第二级输出滤波器。图5展示了第二寄滤波器的典型电路。第二级滤波器由一个滤波电感及其串联电阻(DCR)、一个对地电容器支路和一个阻尼支路组成。滤波电感(Lf)在设计的高频范围内具有电阻,以热量的形式耗散噪声能量。该电感器与附加的并联电容器结合形成低通LC滤波器网络。
 
专为Xilinx Zynq UltraScale+ RFSoC打造的小型超低噪音电源??? width=
图5. 带并联阻尼支路的两级LC滤波器
 
合理设计的第二级滤波器会有效降低输出电压噪声。针对工作频率来选择LC滤波器组件至关重要。设计的第一步是根据公式(4)选择第一级输出电容器。在第一极的设计中,典型的输出电压纹波一般为5mV至10mV。所以,通常选用10-22μF电容器就足够了。为保证系统的稳定性,第一级的电容容量(COUT)必须小于第二级的旁路电容(C1)。
 
一旦确定了第一级电容器并给出了规定的输出电压纹波(在给定频率下),第二级LC滤波器所需的衰减可确定为:
 
专为Xilinx Zynq UltraScale+ RFSoC打造的小型超低噪音电源模块  (5)
 
其中,V1,p--p 代表输出电容器的峰-峰电压纹波,V0,p-p 代表输出电压的峰-峰电压(在第二级滤波器之后)。使用相量分析,LC滤波器增益的振幅可通过以下公式计算:
 
专为Xilinx Zynq UltraScale+ RFSoC打造的小型超低噪音电源??? width=   (6)
 
阻尼支路(由一个大型电阻和电容串联组成)的阻抗在开关频率下比对地支路大得多。因此,在下面的分析中,图 5 所示的滤波器可等效于一个二阶RLC滤波器。滤波器的截止频率为:
 
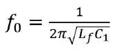
专为Xilinx Zynq UltraScale+ RFSoC打造的小型超低噪音电源??? width=  (7)
 
通常,可以选择电感值为0.22µH到1µH的电感器来实现所需的输出纹波。此滤波电感的并联阻抗会增加功耗并降低了输出电压的精度,因此应选择DCR最小的电感。需要注意的是,随着直流电流的增大,电感的磁芯材料会逐渐饱和,从而也会降低电感的电感值。
 
一旦选择了滤波电感器,就可以从数据表中提取其DCR。第二级LC滤波器是一个二阶滤波器,在截止频率之后每十档衰减40db。给定频率下的衰减可根据以下公式估算出:
 
专为Xilinx Zynq UltraScale+ RFSoC打造的小型超低噪音电源??? width=   (8)
 
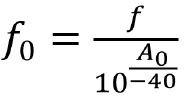
根据公式(5)计算出的衰减,可使用以下公式计算出所需的截止频率:
 
专为Xilinx Zynq UltraScale+ RFSoC打造的小型超低噪音电源??? width=   (9)
 
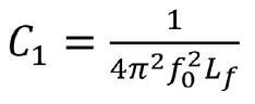
然后,可计算出所需的对地支路的电容值(C1):
 
专为Xilinx Zynq UltraScale+ RFSoC打造的小型超低噪音电源??? width=   (10)
 
由于低ESR和ESL,应使用陶瓷电容器作为旁路电容器。 需注意,在直流偏压下,陶瓷电容器的电容会发生显著降额。图6给出了额定电压为6.3V的Murata 0805陶瓷电容器的直流降额曲线。如图所示,在满额直流偏压下,电容降到额定值的20%。旁路电容器应在额定直流偏压下选择,以便考虑降额值。
 
专为Xilinx Zynq UltraScale+ RFSoC打造的小型超低噪音电源??? width=
图 6. DC偏置下的典型陶瓷电容降额曲线
 
阻尼
 
如果第二级LC滤波器的阻尼不合适,可能会出现谐振。滤波电感与对地支路之间的谐振会放大输出纹波,在负载瞬态时还会产生不希望出现的振铃。图7 (a) 显示了带第二级LC滤波器的欠阻尼变换器系统的输出电压。最初,系统在稳态下运行。当t=200µs时,负载瞬态从1A变成2A,输出电压引起振铃。图7b(b)说明了过阻尼二级滤波器负载瞬态下的输出电压和电流。为避免在负载瞬态时产生振铃,第二级LC滤波器谐振必须得到适当的抑制。在大多数设计中,第二级滤波器会被放置在控制回路之外,以避免控制回路不稳定。因此,阻尼必须使用无源元件(附加阻尼电阻)。
 
专为Xilinx Zynq UltraScale+ RFSoC打造的小型超低噪音电源模块
专为Xilinx Zynq UltraScale+ RFSoC打造的小型超低噪音电源??? width=
图 7. (a)欠阻尼LC滤波器和(b)过阻尼LC滤波器瞬态响应
 
滤波电感通常包含与电感串联的寄生直流电阻。此DCR向网络提供阻尼。然而,为了能向串联RLC电路提供足够的阻尼,串联电阻必须满足 专为Xilinx Zynq UltraScale+ RFSoC打造的小型超低噪音电源??? width=。大部分情况下,DCR无法独自提供足够的阻尼。为此,需在旁路电容处并联一个RC阻尼网路,与串联DCR电阻一起阻尼谐振电路。
 
 
免责声明:本文为转载文章,转载此文目的在于传递更多信息,版权归原作者所有。本文所用视频、图片、文字如涉及作品版权问题,请联系小编进行处理。
 
推荐阅读:
 

关闭

?

关闭