桃花源qm花论坛(品茶),凤楼阁论坛官网入口网址,一品楼品凤楼论坛最新动态,风楼阁全国信息2024登录入口

你的位置:首页 > 电源管理 > 正文

设计开关电源之前,必做的分析模拟和实验(之二)

发布时间:2021-03-05 来源:安森美 责任编辑:wenwei

【导读】环路控制是开关电源设计的一个重要部分。文章综述了目前可供选择的一些工具,让您在开始生产开关电源之前能够计算、模拟和测量您的原型,从而确保生产工作安全顺利。本文将主要讨论获取功率级动态响应和选择交越频率和相位裕度。
 
获取功率级动态响应
 
如文章《开关电源设计原型的分析模拟和实验之一》所述,对指定开关转换器进行补偿研究的关键是功率级波特图。有几种方式可以获得波特图,其中第一种方式是采用SPICE模拟中的一个平均模型。
 
平均模型有许多种版本,但最常用的为Vatché Vorpérian博士于1986年提出并于1990年发表的3端PWM开关。原著介绍了电压模式控制,但后来的版本也介绍了电流模式控制,且只涵盖CCM。我在中推导出了这些模型在VM和CM运行条件下的自动切换版本。在电流模式下运行的典型降压转换器可按照图 7中所示进行建模。PWM开关采用所谓的共模无源配置进行连接,其中端子p已接地。XPWM??橛糜谖隹淼髦破鹘#隹淼髦破鞲涸鸾碫2设置的误差电压转换为占空比。这种自然采样调制模块的增益就是偏置比较器的锯齿峰值Vp的倒数:
 
设计开关电源之前,必做的分析模拟和实验(之二)
 
我们假设锯齿峰值振幅为2 V,那么衰减为0.5,对应增益为-6 dB。
 
设计开关电源之前,必做的分析模拟和实验(之二)
图7:PWM开关非常适合平均模拟型开关转换器,如本例中的降压转换器
 
开始模拟后,您可以显示工作点,并验证其是否正确。这是检查转换器工作是否正常以及提供的结果是否可信的重要步骤。这里,模型向5 Ω负载提供5 V电源,而这也是我们所期望的。我们可以将结果绘制成下图:
 
设计开关电源之前,必做的分析模拟和实验(之二)
图8:二阶响应在1 kHz处达到峰值
 
幅度响应峰值表明品质因数Q比较高。该变量代表了电路损耗,并取决于整体效率。如果您构建降压转换器,并绘制其响应,其衰减可能会比图8中的更大。这是因为MOSFET RDS(on)、电容和电感上的各种欧姆损耗以及续流二极管恢复损耗都会造成电路损耗,并影响Q。
 
如果现在将负载增加至100Ω,模型会自动转换至DCM,并提供一个在占空比设置为31%时提供相同5V输出条件下获得的新图。更新后的响应如图9中所示,可以确认峰值增益消失。不像状态空间平均法(SSA)等其他方法,在DCM下运行的降压转换器仍为二阶系统,但易受低品质因数Q的影响。当看到一阶模型中的相位会在高频条件下降至零点,并继续下降直至达到-180°时,这一点会非常明显。因此,响应由低频极点和高频极点组成,同时输出电容与其等效串联电阻(ESR)在传递函数中为零。
 
设计开关电源之前,必做的分析模拟和实验(之二)
图9:在DCM下运行时,VM降压转换器仍为二阶系统
 
SPICE模拟提供了一种可行方案,让您可以绘制您想要稳定的转换器的控制到输出传递函数。然而,如果如实地对寄生元件(例如电感和电容ESR)的影响进行建模,则无法得知这些杂散元件会影响传递函数中的哪些项。理解给定元件在动态响应中的作用极其重要,因为您应通过适当的补偿策略来消除其不利影响。除了需要大量计算时间的蒙特卡洛分析法或灵敏度分析法,最佳方法就是利用小信号模型确定传递函数。此类模型如图10中所示。这次我们选择使用在电流模式控制(CM)下运行的降压转换器。我们可以使用非常适用于此类分析的CM PWM开关进行该研究。该模型预测会由于电流环路增益不稳定而出现次谐波振荡。通过增加一些斜率补偿,可以有效地降低电流环路增益,使转换器实现稳定。
 
设计开关电源之前,必做的分析模拟和实验(之二)
图10:小信号模型中的CM降压转换器为三阶模型
 
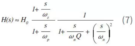
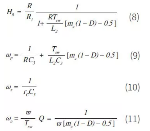
通过计算具有独立状态变量的储能元件数量,我们就可以得出该转换器的阶数:即三阶电路,而我们想要控制到输出传递函数,其中Vc为激励电压,Vout为响应电压。有多种方法可以确定Vc与Vout之间关系的表达式,而我认为,没有一种方法能够超越电路快速分析技术(FACT)。相较于经典的节点/网格分析法,它们不仅是最快速的方法,而且还能产生所谓的低熵效果。分析完成后,分子和分母就自然而然地以正规化形式出现。由此得到的结果有助于我们对传递函数有一个直观的了解:极点和零点在什么位置,及哪些参数对它们有影响。此外,通过了解影响零点或极点定义的参数,您可以有效地应对生产过程中的自然差异。Raymond Ridley博士在他发起的论文中推导出了CM降压转换器(包含位于Fsw/2处的次谐波极点)的控制到输出传递函数。具体如下所示:
 
设计开关电源之前,必做的分析模拟和实验(之二)
 
其中:
 
设计开关电源之前,必做的分析模拟和实验(之二)
 
在这些表达式中,mc项与特意注入调制器以降低电流环路增益的外部斜率相关。Mc定义如下:
 
设计开关电源之前,必做的分析模拟和实验(之二)
 
Se表示外部斜率,以[V]/[s]为单位,而Sn表示通过感应电阻Ri调整的电感导通时间斜率,也以[V]/[s]为单位。对于降压转换器,电感上升斜率可通过以下公式确定:
 
设计开关电源之前,必做的分析模拟和实验(之二)
 
当mc=50%时,结果表明CM降压转换器的音频敏感度理论上为零。
 
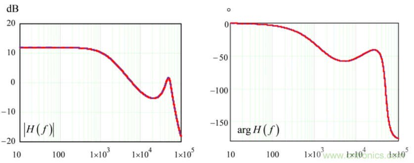
通过,可以绘制出功率级动态响应图,并确定在何处选择交越频率。图11表示在达到开关频率的一半时可以清楚地看到峰值的响应。
 
设计开关电源之前,必做的分析模拟和实验(之二)
图11:增益在直流条件下趋于平坦,然后以-1斜率下降,直至在Fsw/2处达到峰值。
 
我们已经了解了,平均模拟和根据方程式得出的结果如何实现我们需要的功率级响应。第3种选择包括使用能够通过开关电路中传递小信号响应的模拟器。此类程序称为分段线性(PWL)模拟器。SPICE本质上是一个线性求解器,任何非线性特性都必须在合适的操作点附近进行线性化。我们可以通过减少模拟步长直至实现趋同的方式来找到这个特定点。在模拟过程中,必须通过逐点线性逼近方法取代二极管等非线性元件。该过程不仅会使计算机负载过重,而且还会在时间步长缩减算法达到下限时出现趋同误差。SIMPLIS®等模拟器采用PWL引擎,可以从开关电路中提取交流响应。图 12显示了二极管的典型建模方式。
 
设计开关电源之前,必做的分析模拟和实验(之二)
图12:SIMPLIS采用由线性部分描述的理想元件
 
您可以看到这些线性部分是如何描述正向压降增加与二极管电流之间的关系。它们可以有效地替代描述二极管电流的Shockley指数方程。无论二极管的操作点在何处,其特性都是线性的,只有斜率发生变化。这样就无需使用额外的线性化算法,因为电路一直都是线性电路。因此,交流调制可以作为开关电路的激励,从而获得小信号响应。典型的LLC转换器如图13中所示。在NCP13992提出的新型电流模式控制方法中,高压侧和低压侧MOSFET以50%的精确占空比运行。高压侧晶体管导通并保持此状态,直至电感峰值电流达到反馈环路要求的目标值。当高压侧晶体管关断时,低压侧晶体管在精确复制之前ton时间的关断期间激活,以确保精准的50%占空比。所提出的电路是该复杂控制电路部分的简化版,但它允许使用SIMPLIS演示版本Elements模拟整个电路。
 
设计开关电源之前,必做的分析模拟和实验(之二)
图13:SIMPLIS采用由线性部分描述的理想元件
 
几十秒钟后,模拟器不仅会提供每个周期的波形(您可以检查rms、平均值或峰值等),而且还会提供控制到输出传递函数。这两个结果如图14和图15中所示:
 
设计开关电源之前,必做的分析模拟和实验(之二)
图14 :逐周期模拟确认正确的操作点,即24 V输出
 
设计开关电源之前,必做的分析模拟和实验(之二)
图15:周期操作点(POP)计算完成后立即获得控制到输出传递函数
 
这很有趣,因为您无需使用平均模型,而且您可以探索二阶或三阶效应(如RDS(on)的变化),并立即看到其对传递函数的影响。LLC转换器存在基于方程的模型,但鉴于其复杂性和涉及的大量数学计算,我认为此类模型使用起来比较困难。在短时间内获得混有瞬态和小信号结果的模拟数据的确是一种有趣的方法。
 
选择交越频率和相位裕度
 
现在,我们已经有了功率级传递函数,接下来是选择和应用补偿策略,这一步至关重要。第一个问题是,如何选择交越频率fc和相位裕度?文献中提供了大量建议,范围为开关频率Fsw的1/5到1/10。如果转换器的交越上限明显为Fsw/2,那么采用的拓扑结构还会提出其他限制要求。下面我们开始吧:
 
降压推导出的拓扑结构:LC网络会施加一个谐振频率f0。如果观察电压模式控制下的功率级控制到输出传递函数,就会发现增益在f0时达到峰值。所以,在该频率下,环路必须具有一些增益,这样才能对振荡进行校正。因此,最好选择至少3-5倍于谐振频率的fc。在电流模式控制下,情况比较简单,因为低频部分的响应为一阶响应。然而,由于存在无衰减次谐波极点,增益可能在Fsw/2处达到峰值。然后,需要进行斜率补偿来抑制这些极点,使转换器增益稳定下来。
 
设计开关电源之前,必做的分析模拟和实验(之二)
图16:您不能随意选择交越频率,因为它取决于所采用的拓扑结构
 
降压/升压推导出的拓扑结构:在这些结构中,能量分两步进行传输。首先,在导通期间将能量存储在电感中,然后在关断期间将其释放给负载。在突然需要输出功率的情况下,转换器无法立即响应,因为电感需要更多的周期才能提高能量存储。这种固有的响应延迟在控制到输出传递函数中具体表现为右半平面零点(RHPZ)。RHPZ可增加幅值(像其他零点一样),但会造成相位滞后。它与相位超前的左半平面零点相反。当传递函数中具有RHPZ时,随着您接近该零点位置时,功率级相位会进一步降低。因此,建议在RHPZ出现之前进行交越。比较好的做法就是,将fc上限选择为RHPZ最低位置的20-30%(通过最大电流和最小输入电压获得)。这适用于VM和CM控制方法,因为这两种方法中的RHPZ位置相同。在VM中,您必须遵守降压规则,即选择的fc大于f0 3-5倍,但这次f0的移动与占空比相关,这使得最终选择变得复杂。
 
升压拓扑结构:其特性与上述降压/升压推导出的拓扑结构几乎相同。电压模式控制中存在RHPZ和谐振。电流模式控制的灵活性要比VM稍大一些,因为您无需在f0处达到峰值,但无论如何,RHPZ都会限制fc的上限。如果您想要利用升压或降压/升压转换器实现带宽,最好降低电感值,这样转换器就能够更迅速地响应突发的输出功率需求。图16中概述了上述所有建议。请注意,在拓扑结构允许时将交越频率推得过高并不是一个明智的决定。这是因为使用宽带宽就如同打开一个漏斗:转换器的确会变快,但对外部扰动和噪音也变得更加敏感:调整fc以符合特定的瞬态规格,且不要让其超过这个值。
 
开环相位裕度选择取决于所需的瞬态响应类型。如果您想要快速响应,并接受一点过冲,则相位裕度在50°左右就够了。如果您想要更加保守一点,并在不出现过冲的情况下接受更慢的响应(或恢复),那么70-80°会是一个比较好的相位裕度。您可以通过图17中所示的曲线图,找出开环相位裕度jm和闭环品质因数Qc之间的关联。这是一种理论方法,描述了具有原点极点和高频极点(无零点)的二阶系统在闭环条件下运行时有何表现。
 
有一点我们必须清楚,相位裕度选择不仅取决于应用,而且还取决于可接受的限值。例如,如果转换器将经历较大的温度变化(例如环境温度范围为-40至80℃),则最好选择高裕度(80-90°或更高),并观察在最坏的情况下会降至多低。过低的相位裕度和响应可能会导致出现令人无法接受的跳闸?;?。就我看来,40°就一个适当的绝对最低值。
 
设计开关电源之前,必做的分析模拟和实验(之二)
图17 :开环相位裕度决定了环路闭合后转换器将有何响应
 
如果电源在环境温度从不超过35℃和低于0℃(大多数消费产品)的室温条件下运行,则不那么激进的目标可能更容易实现。设计确定后,您必须进行大量实验(例如:蒙特卡洛分析或最坏情况分析),并确保在窘境模拟中相位裕度绝不会降至40°以下。正如文献中强调的那样,相位裕度大不仅会延长恢复时间,还会降低低频增益,从而阻碍转换器抑制低频扰动(交流/直流开关的120 Hz纹波)。下图显示了恒定交越频率下两种不同相位裕度的典型瞬态响应(图18)。
 
设计开关电源之前,必做的分析模拟和实验(之二)
图18:相位裕度过大会影响恢复时间(fc为常数)
 
增益裕度取决于您系统在运行期间经历的开环增益变化。根据误差放大器开环增益变化(制造工艺、温度等),如果存在输入前馈或不存在输入前馈等,环路增益幅度会上下移动,从而影响交越频率。通常,15-20 dB的增益裕度被视为保守值,可确保设计坚固耐用。
 
 
免责声明:本文为转载文章,转载此文目的在于传递更多信息,版权归原作者所有。本文所用视频、图片、文字如涉及作品版权问题,请联系小编进行处理。
 
推荐阅读:
 
简单低成本的汽车冷启动预升压器
带I2C控制的集成DC/DC升降压变换器
数字化创新将成为新常态
使用双极性结型晶体管和NMOS晶体管的稳定电流源
贸泽与Maxim联手发布新电子书,共同探索医疗可穿戴设备的未来发展
要采购转换器么,点这里了解一下价格!
特别推荐
技术文章更多>>
技术白皮书下载更多>>
热门搜索

关闭

?

关闭