【导读】在《模拟对话》2017年12月文章中介绍SMUADALM1000之后,我们希望进行一些小的基本测量,这是ADALM1000系列的第四部分。本实验活动的目标是通过脉冲波形研究串联RC电路的瞬态响应并了解时间常数的概念。

图1. ADALM1000原理图。
现在我们开始下一个实验。
目标:
本实验活动的目标是通过脉冲波形研究串联RC电路的瞬态响应并 了解时间常数的概念。
背景:
在本实验活动中,将向RC电路施加一个脉冲波形,以分析该电 路的瞬态响应。RC电路对电路时间常数的影响由与之相关的脉 冲宽度决定。
时间常数(τ):RC或RL电路中发生某些电压和电流变化所需的时间 度量。通常来说,在四倍时间常数(4 τ)之后,RC电路中的电容几乎 完全充电,此时其两端电压约为最大值的98%。一般认为这个区 间就是电路的瞬态响应。发生切换后经过的时间超过五倍时间常 数(5 τ)时,各电流和电压已达到最终值,此过程亦称为稳态响应。
表1显示在给定时间常数下,RC充电电路中的电容在充电时的电 压和电流百分比。
表1. 给定时间常数的电压和电流百分比

请注意,现实中电容不可能100%充满。因此,实际上通常使用5 倍时间常数来表示电容已完全充满。
一个RC电路的时间常数是其等效电容和等效电容两端的戴维宁 电阻的乘积。
脉冲就是电压或电流从一个电平跳变到另一电平,然后又返回原 来电平的过程。如果一个波形的高电平时间与其低电平时间相 等,则称为方波。每个脉冲循环的长度称为周期(T)。
一个理想方波的脉冲宽度(tp)等于时间周期的一半。
那么,脉冲宽度和频率之间的关系可表示为:

图2. 串联RC电路。
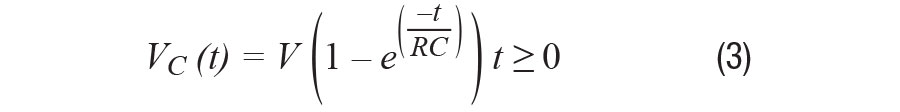
根据基尔霍夫定律,电容两端的充电电压VC (t)可表示为:

其中V表示τ = 0时电路上施加的源电压,RC = τ,是时间常数。
该响应曲线呈递增趋势,如图3所示。

图3. 串联RC电路对于步进输入的电容充电,时间轴通过τ归一化。
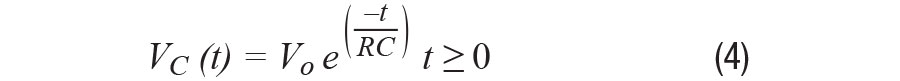
该电容的放电电压表示为:
其中Vo表示t = 0时电容中存储的初始电压,RC = τ,是时间常数。 该响应曲线是一个衰减式指数,如图4所示。

图4. 串联RC电路的电容放电过程。
材料:
● ADALM1000硬件???/div>
● 电阻 (2.2 kΩ, 10 kΩ)
● 电容 (1 μF, 0.01 μF)
步骤:
1. 在无焊试验板上搭建如图5所示的电路,使用的元件为R1 = 2.2 kΩ,C1 = 1 μF。打开ALICE示波器软件。
2. 将通道A任意波形发生器(AWG)的最小值(Min)设为0.5 V,最大值(Max)设为4.5V,从而生成一个峰峰值为4 V,中心为2.5 V的方波,作为输入电压施加于电路。在AWG A的模式下拉菜单中选择SVMI模式。在AWG A的波形下拉菜单中选择方波模式。在AWG B的模式下拉菜单中选择高阻抗模式。

图5. 试验板RC电路图。

图6. 试验板RC电路连接,R1 = 2.2 kΩ且C1 = 1 μF。
3. 在ALICE曲线下拉菜单中选择显示CA-V和CB-V。在触发器下拉菜单中选择CA-V和自动电平。调节时间基准,直到显示屏方格上大约可显示两个周期的方波信号。

图7. 示波器配置。
此配置使用示波器从通道A观察电路的输入,从通道B观察电路的输出。请确保您已勾选Sync AWG选择器。
4. 针对以下三种情况观测电路的响应,并记录结果。
a. 脉冲宽度 » 5 τ:设置AWG A输出的频率,使电容在每个 方波周期内有足够的时间完全充电和放电。令脉冲宽度为 15 τ,然后根据公式2设置频率。所得值应约为15 Hz。如果 可行,请根据屏幕上所得的波形确定出时间常数。如果难 以求得时间常数,请说明可能存在的原因。
b. 脉冲宽度 = 5 τ:设置频率,使脉冲宽度 = 5 τ(该频率 应约为45 Hz)。由于脉冲宽度为5 τ,所以电容刚好能够 在每个脉冲周期内完全充电和放电(见图3和图4)。

图8. 通过计算方波个数近似测量时间常数t。
c. 脉冲宽度 « 5 τ:在此情况下,电容无法在切换到放电状 态前充分充电,反之亦然。对于此情况,令脉冲宽度仅为 1.0 τ,然后相应地设置频率。
5. 采用R1 = 10 kΩ,C1 = 0.01 μF重复上述步骤,并记录测量结果。
问题:
1. 使用公式1计算时间常数(τ),并将其与4b(R = 2.2 k,C = 0.01 μF) 所得的测量值进行比较。
2. 对另一组值(R = 10 kΩ,C = 0.01 μF)重复该步骤。
您可以在学子专区博客上找到问题答案。
注释
与所有ALM实验室一样,当涉及与ALM1000连接器的连接和配置 硬件时,我们使用以下术语。绿色阴影矩形表示与ADALM1000模 拟I/O连接器的连接。模拟I/O通道引脚被称为CA和CB。当配置为 驱动电压/测量电流时,添加-V,例如CA-V;当配置为驱动电流/测 量电压时,添加-I,例如CA-I。当通道配置为高阻态模式以仅测量 电压时,添加-H,例如CA-H。
示波器迹线同样按照通道和电压/电流来指称,例如:CA-V和CB-V 指电压波形,CA-I和CB-I指电流波形。
对于本文示例,我们使用的是ALICE 1.1版软件。
文件:alice-desktop-1.1-setup.zip。请点击此处下载。
ALICE桌面软件提供如下功能:
● 双通道示波器,用于时域显示和电压/电流波形分析。
● 双通道任意波形发生器(AWG)控制。
● X和Y显示,用于绘制捕捉的电压/电流与电压/电流数据,以及电压波形直方图。
● 双通道频谱分析仪,用于频域显示和电压波形分析。
● 波特图绘图仪和内置扫描发生器的网络分析仪。
● 阻抗分析仪,用于分析复杂RLC网络,以及用作RLC仪和矢量电压表。
● 一个直流欧姆表相对于已知外部电阻或已知内部50 Ω电阻测量未知电阻。
● 使用ADALP2000模拟器件套件中的AD584精密2.5 V基准电压源进行电路板自校准。
● ALICE M1K电压表。
● ALICE M1K表源。
● ALICE M1K桌面工具。
注:需要将ADALM1000连接到您的PC才能使用该软件。

图9. ALICE桌面1.1菜单。
免责声明:本文为转载文章,转载此文目的在于传递更多信息,版权归原作者所有。本文所用视频、图片、文字如涉及作品版权问题,请联系小编进行处理。
推荐阅读:



