桃花源qm花论坛(品茶),凤楼阁论坛官网入口网址,一品楼品凤楼论坛最新动态,风楼阁全国信息2024登录入口

你的位置:首页 > RF/微波 > 正文

如何为低噪声设计选择最佳放大器?

发布时间:2020-10-12 来源:ADI 责任编辑:wenwei

【导读】当针对低噪声应用评估放大器的性能时,考虑因素之一是噪声,本文简要探讨在为低噪声设计选择最佳放大器时涉及到的权衡问题。
 
如果驱动一个带有一定源电阻的运算放大器,等效噪声输人则等于以下各项平方和的平方根:放大器的电压噪声;源电阻产生的电压;以及流过源阻抗的放大器电流噪声所产生的电压。
 
如果源电阻很小,则源电阻产生的噪声和放大器的电流噪声对总噪声的影响不大。这种情况下,输人端的噪声实际上只是运算放大器的电压噪声。
 
如果源电阻较大,源电阻的约翰逊噪声可能远高于运算放大器的电压噪声和由电流噪声产生的电压。但需要注意,由于约翰逊噪声仅随电阻的平方根而增长,而受电流噪声影响的噪声电压与输人阻抗成正比关系,因而对于输人阻抗值足够高的情况,放大器的电流噪声将成为主导。当放大器的电压和电流噪声足够高时,在任何输人电阻值情况下,约翰逊噪声都不会是主导。
 
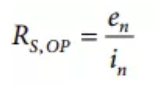
如果某个放大器的噪声贡献相对于源电阻可以忽略不计,则可通过运算放大器的品质因数Rs, op来进行选择。这可以通过放大器的噪声指标来计算:
 
如何为低噪声设计选择最佳放大器?
 
其中:
 
en表示折合到输人端的电压噪声
in表示折合到输人端的电流噪声
 
图1给出的是1 KHz下,多种ADI工高压(最高44 V)运算放大器的电压噪声密度对与RS, OP关系的比较,1 kHz。斜线显示了与电阻相关的约翰逊噪声。
 
如何为低噪声设计选择最佳放大器?
图1. ADI的放大器噪声坐标图
 
根据运算放大器数据手册中的数据,可以为某个选定频率制作类似的曲线图。例如,AD8599的折合到输人端的电压噪声约为1.07 nV/√Hz,折合到输人端的电流噪声为2.3 pA/√Hz(1 kHz)。其Rs,op值约为465 S2(1 kHz)。另外,需要注意以下几点:
 
     ○ 与该器件相关的约翰逊噪声等效于约为69.6 Ω的源电阻  (见图1);
     ○ 对于超过465 Ω的源电阻,放大器电流噪声产生的噪声电压会超过源电阻产生的噪声电压;放大器的电流噪声成为主要噪声源。
 
若欲使用该图(见图2),请执行第1至第4步。
 
1. 通常情况下,源电阻是已知的(如传感器阻抗)。如果不知道电阻值,则根据周围的或前端的电路器件进行计算;
2. 在约翰逊噪声线上确定给定源电阻的位置,如1 kΩ;
3. 从第2步确定的点向坐标图右侧画一条水平线;
4. 从第2步确定的点向左下方画一条直线线。斜率为,每下降10倍电压噪声则下降10倍电阻。
 
如何为低噪声设计选择最佳放大器?
图2. 为低噪声设计选择运算放大器
 
位于线条右下方的放大器均为适用于目标设计的优质低噪声运算放大器,如图2阴影部分所示。
 
敲黑板!重点来了!
 
在针对低噪声设计评估放大器噪声性能时,应考虑所有潜在噪声源。
 
 
运算放大器的主要噪声贡献取决于源电阻,具体如下:
 
     ○ Rs > > Rs, op;折合到输人端的电流噪声占优势
     ○ Rs = Rs, op;放大器噪声可忽略;电阻噪声占优势
     ○ Rs <<Rs, op;折合到输人端的电压噪声占优势
 
概括而言,可通过以下方式减少或消除干扰信号:
 
     ○ 良好的布线技术,以减少寄生效应
     ○ 良好的接地技术,如数字接地和模拟接地的隔离
     ○ 良好的屏蔽
 
对于电阻性噪声源,请遵循以下规则:
 
     ○ 根据应用的需要来限制带宽
     ○ 尽可能降低电阻值
     ○ 使用低噪声电阻,如采用大金属薄片、线绕式和金属薄膜技术的电阻
     ○ 尽可能减少电阻性噪声源的数量
 
 
推荐阅读:
 
一次性按钮开关帮助最大限度延长闲置时间
如何提高ANY-OUT可编程输出电压器件的分辨率
贸泽电子新品推荐:2020年9月
不打折扣的光学集成
二阶系统电子控制理论:为工程师提供的实用分析
要采购运算放大器么,点这里了解一下价格!
特别推荐
技术文章更多>>
技术白皮书下载更多>>
热门搜索

关闭

?

关闭