【导读】有时候您需要正电源,但大部分可用的供电轨(或仅有的可用供电轨)提供的都是负电源。事实上,负到正电压转换已用于汽车电子,以及各种音频放大器、工业和测试设备的偏置电路中。虽然在许多系统中是电源通过相对于地的负供电轨分配,但这些系统中的逻辑板、ADC、DAC、传感器和类似器件仍然需要一个或多个正供电轨。本文介绍一种简单高效且组件数量少的电路,用于从负供电轨生成正电压。
电路描述和电驱动系统功能
图1显示将负电压高效转化为正电压的完整解决方案。这种特定的解决方案使用升压拓扑。电驱动系统包括开关MOSFET、底部Q1、顶部Q2、电感L1和输入/输出滤波器。同步高效升压控制器IC通过改变电驱动系统中开关MOSFET的状态来调节输出电压。为了描述这种电路,将系统接地(SYS_GND)用作极性参考,得到一个相对于SYS_GND为负的输入供电轨(–VIN)和一个相对于SYS_GND为正的输出供电轨(+VOUT)。
转换器的工作方式如下。如果晶体管Q1开启,电流从SYS_GND流向负供电轨。晶体管Q2关闭,电感L1将电能存储在其磁场中。在开关周期的剩余时间里,Q1关闭,Q2开启,电流开始从SYS_GND流向+VOUT供电轨,将L1电能释放给负载。

图1.负正转换器电气原理图,VIN为–6 V至–18 V(峰值为–24 V),6 A时VOUT为+12 V。
电驱动系统组件选择的基本表达
图2所示的开关行为拓扑关系图描述了负正转换器的行为。在开关周期的首个区间,在占空比定义的时长内,底部开关BSW短路,顶部开关TSW断开。电感电压L等于–VIN。在此区间内,电感L中的电流增加,在电感两端生成电压极性匹配–VIN。与此同时,输出滤波器电容放电,为系统负载提供电流。

图2.负到正转换器拓扑关系图。
在周期的第二个区间,两个开关切换,BSW断开,TSW短路。电感L的极性改变,电感开始向负载和输出滤波电容器COUT提供(在周期的第一个区间内储存的)电流。在这段周期内,电感的电流相应降低。电感的伏秒平衡定义转换器在连续导通模式下的占空比D。
计算时序和组件应力
以下是描述时序和电驱动系统组件应力的公式。
占空比决定开关的开/关时间
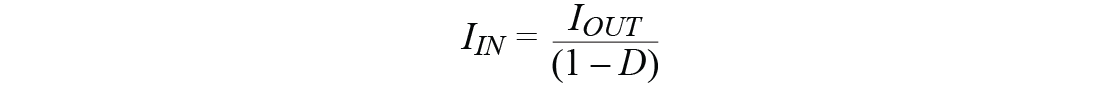
输入电流IOUT的平均值就是输入电流
电感电流的峰值
开关MOSFET上的电压应力
通过底部MOSFET的平均电流
通过顶部MOSFET的平均电流
这些表达公式可以帮助您理解拓扑的功能,并初步选择电驱动系统组件。关于最终选择和详细的设计,请使用LTspice®建模和模拟工具。1
转换器控制描述和功能
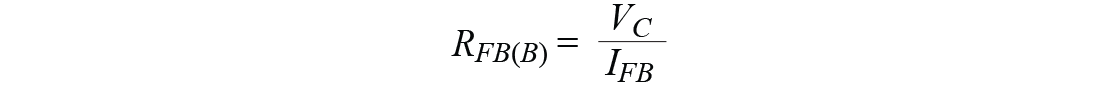
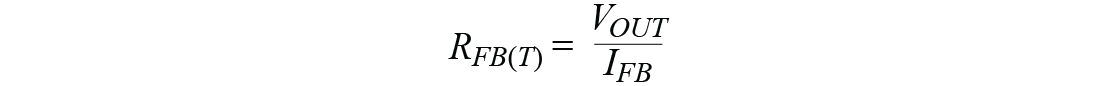
输出电压检测和控制电压的电平转换通过由PNP晶体管Q3和Q4形成的电流镜管控。反馈电流IFB在此电路中为1 mA)决定反馈回路中的电阻值。
其中VC为误差放大器的基准电压。
其中RFB(T)为输出电压检测电阻。
图1所示的反馈电路是一种低成本解决方案,但分立式晶体管的容差可能会受基极发射极电压和温度变化差值影响。为了提高精度,可以使用配对的晶体管。
转换器电驱动系统由LTC7804升压控制器管控。之所以选择该芯片,是因为它支持同步整流,易于实现,可以提供高开关频率操作(如果需要小尺寸电感)和低静态电流,因而具有高效率。
测试结果和拓扑限制
此解决方案经过了仔细测试和验证。图3显示在各种负载电流下都能保持高效率,达到96%。注意,随着输入电压绝对值减小,输入电流和电感电流增大。在某个点,电感电流可能会超过电感的最大电流或饱和电流。从图4的降额曲线可以明显看出。在–9 V到–18 V范围内,最大负载电流为6 A,输入电压绝对值低于–9 V时,该值更小。图6解决方案电路板的热性能见图5。

图3.在自然对流冷却情况下,VIN为–12 V和–18 V时的效率曲线。

图4.输入电压绝对值低于–9 V时的输出电流降额曲线。

图5.在自然对流冷却、没有空气流动的情况下,VIN为–12 V,VOUT为+12 V,电流为6 A时,转换器的热图像。

图6.转换器照片。
结论
本文介绍一种非常高效且相对简单的完整解决方案设计,通过使用升压控制器可以为单极性负电源添加正电轨。文中提供了电气原理图,以及时序、功率转换组件和电气应力方面的计算。测试数据证实该系统具备高效率和出色的热性能。此外,此解决方案采用升压拓扑,因而设计人员可以选择使用预认证的升压控制器,从而节省开发时间和成本。而证实升压控制器适用于负正电压转换器也预示着它适合未来的升压应用。
推荐阅读:





