【导读】本博客共分两个部分,第 1 部分我们探讨了使 Fly-Buck 设计稳定所需的重要设计指标。本文我们将介绍如何将这些设计指标应用到 Fly-Buck 电路设计中,以及这会对转换器工作产生怎样的影响。

图 2. 典型的双输出 LM5017 Fly-Buck 电路
我们假设您已经收集了所需的电源规范,并决定使用 LM5017 Fly-Buck 作为电源解决方案(图 2)。Fly-Buck 设计过程与普通降压转换器有很多共同之处。在确定一次侧电感和开关频率后,下一步就是设计合适的纹波注入网络(Rr、Cr 和 Cac),以确保稳定工作。设计步骤如下:
首先从一些初始值开始:Rr=10k?、Cr=10nF、Cac=1nF
调整输出电容,确保达到稳定性指标:

应提供足够的裕量以获得不等式左侧信息。如果将功率损耗包含在内,真正的占空比会更大一点,而且 DC 偏置额定值降低以及对陶瓷电容的温度影响会让电容值更低。
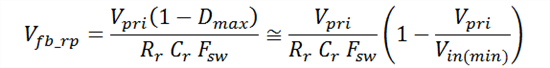
3. 确定 FB 引脚纹波是否高于 25mV:

通过调整 Rr 和 Cr 来设置纹波幅值。不要使其太大 (<100mV),必要时可返回步骤 2 调整 Cout。
4. 确定 AC 耦合滤波器截止频率是否足够低:

Cac 的选择不是关键,建议值为 Fsw/10。只要 Fc 明显低于 Fsw,它就不会影响纹波的通过。
图 3 至图 5 中的电路仿真波形显示了不同纹波注入设置的影响。Fly-Buck 转换器规范如下:Vin=24V,Vopri=10V,Fsw=275kHz,Lpri=50uH,变压器匝数比为 1:1。在图 3 中,电路配置不符合稳定性标准,因此显示双脉冲的开关节点电压不稳定。在图 4 中,Rr 从 50k? 降至 30k?,开关性能变得稳定。图 5 是另外一种提高稳定性的方法:在不改变 Rr 和 Cr 的情况下,增大 Cout。这样有助于在达到指标的情况下保持低纹波电压。

图 3. Rr=50k?,Cr=10nF,Cac=1nF,Cout=4.7uF

图 4. Rr=30k?,Cr=10nF,Cac=1nF,Cout=4.7uF

图 5. Rr=50k?,Cr=10nF,Cac=1nF,Cout=10uF
从实际出发,电源设计人员需要考虑很多方面,可能需要根据电路板测试结果进行调整。这些设计步骤是创建 LM5017 Fly-Buck 设计的良好开端。LM5017 Fly-Buck 的快速启动计算器在这里提供。有了它,您不仅可设计具有多达 4 个隔离输出的 Fly-Buck,而且还可获得纹波注入网络计算功能和其它外部组件。如有任何问题,请告诉我。
参考资料:
1.如何设计具有 COT 的稳定 Fly-Buck™ 转换器(第 1 部分)
2.EDN:产品指南:Fly-Buck 无需光耦合器即可为降压电路提供具有良好稳压的隔离式输出
3.应用手册《设计隔离式降压 (Fly-Buck) 转换器的 AN-2292》
4.Tian, S,《陶瓷电容器恒定导通时间 V2 控制的小信号分析与设计》硕士论文,佛吉尼亚理工大学 2012 年
5.德州仪器的宽泛 Vin DC/DC 电源解决方案
推荐阅读:





