【导读】近年来,电子技术的进步为医疗保健行业的诸多创新和改进创造了条件。医疗保健设备面临的挑战包括提出新的诊断和治疗方法,实现远程监控,开发家庭护理设备,提高质量和可靠性,以及增强灵活性和易用性。
40余年以来,ADI公司丰富而全面的线性、混合信号、MEMS和数字信号处理技术给仪器仪表、成像和病人监护等领域的医疗设备设计带来了重大的变革。本文将集中探讨电容数字转换器(CDC)技术,该技术使得在医疗保健应用中使用高性能电容检测成为可能。
电容式触摸传感器控制器——一种全新的用户输入法
电容式触摸传感器以类似图1所示的按钮、滑动条、滚轮或其他方式提供一种用户界面。

图1. 触摸传感器布局示例
各个蓝色几何区域表示印刷电路板(PCB)上的一个传感器电极,构成虚拟电容器的一个极板。另一极板则由用户的手指构成,实际上,该极板相对于传感器输入是接地的。AD7147/AD7148 CapTouch™控制器系列专为激励电容式触摸传感器和与之接口而设计,能够测量来自单电极传感器的电容变化。器件首先输出一个激励信号,使电容器极板充电。当一个物体(如用户手指)靠近传感器时,用户充当电容器的令一个极板,将形成虚拟电容器(如图2)。利用电容数字转换器(CDC)可以测量该电容。

图2.电容检测示意图和典型响应
该CDC能够感知外部传感器的电容变化,并借助此信息来记录传感器激活事件。AD7147和AD7148分别有13个和8个电容输入,并均配有片内校准逻辑,用以对环境变化引起的测量变化进行补偿,从而确保不会因温度变化或湿度变化而在外部传感器上产生误触发事件。
AD7147和AD7148提供多种工作模式、用户可编程的转换序列和极其灵活的控制功能。这些特性使其成为高分辨率触摸传感器功能的理想选择,比如滑动条或滚轮,而且其对软件的要求很低。另外,无需使用任何软件,即可用片内数字逻辑完整实现按钮传感器应用。
电容检测和测量的基本原理
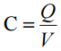
电容是指电容器在电场中存储能量的能力。在其标称形态中——平行板电容器——电容C衡量在给定电压V下电容器中存储的电荷Q,计算公式为
对于平行板电容器,电容检测和测量技术的本质如图3所示。

图3.测量平行板电容器的电容
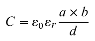
平行板电容器由两个导体(金属板)构成,其特性为
● 导体面积 , a × b
● 两个导体极板之间的距离d
● 两个导体之间的电介质,用介电常数er表示r
● 根据这种几何结构,电容计算公式如下

其中,ε0为自由空间的介电常数
CDC器件将一个激励施加到电容器的一个极板上,然后测量该电容器中存储的电荷;之后,外部主机即可访问数字结果。根据激励的作用方式,可分为四类电容传感器,如图4所示。

图4.传感器电气配置
由于传感器电容由a、b、d和er决定,因此,通过改变这些参数的值,或者观察其值的变化,即可将CDC技术用于直接测量电容值以及多种其他应用之中,具体视传感器类型而定。例如,如果a、b和εr是恒定的,CDC输入与两个导体之间的距离成反比。
应用
AD714x、AD715x和AD774x系列CDC产品适用于涉及各类采样速率、分辨率、输入范围和输入传感器类型的广泛应用。电容检测技术的潜在应用范围仅局限于用户的创造力,我们下面就介绍一些其在医疗保健领域的可能的应用方法。
液位监控
在输液等众多应用中,必须测量所用液体量,或者在输液瓶变空之前必须停止输液。为了节省医护人员的时间,可利用自动液位检测技术来消除人工检查的必要。
液位检测的基本原理如图5所示。构建一个平行板电容器,使其极板紧紧地附着在输液瓶的外壁上,并延伸到输液瓶底部附近。随着输液液位的变化,极板之间的电介质数量发生变化,从而导致电容发生变化。为了能够使用介电常数不同的各种输液物质,需在输液瓶底部附近再放一个电容式传感器,充当一个基准通道,以形成比率式测量。

图5.液位检测
24位AD7746, 搭载两个电容测量通道,可以用于这类应用。
电极和人体之间的连接检测
对于在人体皮肤附近使用的设备(如图6所示的那些设备),在激活设备或进行测量之前,首先了解设备表面与病人皮肤之间接触的质量通常是有好处的。最终使用的范围可能包括需要接触皮肤的医疗探头、生物电位电极传感器或把导管固定到适当位置的壳体。为了获得这种额外的信息,在生产过程中的注塑阶段可能会将多个电容式传感器电极(以蓝色显示)直接嵌入到设备的塑料壳体中。有了电极信息后,主机控制器上运行的简单算法就可以确定所有传感器电极是否与皮肤进行良好的接触。

图6.采用电容式传感器电极的设备
图6所示示例运用电容式传感器的方式打破了常规:用户将一个含有电容式检测电极的设备固定于人体上,而在传统的电容式检测人机界面应用中,人们一般通过手指触摸的方式启动与传感器电极的接触事件。利用AD7147/AD7148开发如图6所示应用非常简单。
汗液检测
在某些医疗和保健测试设备中,需要测量人体排出的汗液。这一般是通过测量皮肤的导电性来实现的。然而,如果需要在不进行电接触的情况下进行测量,则可通过用电容传感器检测人体附近的湿度来实现这种功能
出汗时,人体皮肤附近的湿度(介电常数)会增加;可在出汗处皮肤附近用一个非接触式电极来测量出汗导致的电容变化
可以再增加一个电容传感器,以测量环境湿度,并用其实现共模补偿。
呼吸速率测量
呼吸速率测量是病人监护系统中的一个重要模块。
在其中一种实现方式中(如图7所示),将一块激励极板放在病人背部,同时,将传感器电极带固定到病人胸部右侧。肺部呼吸导致的胸部运动会改变两块极板之间的距离。介电常数也会因呼吸过程中复杂的生理活动而改变。这些电容的变化可以通过CDC设备来测量。

图7.呼吸速率测量
将传感器电极置于病人胸部右侧的原因在于,这个位置受其他生理活动的影响最小。然而,通过将多个传感器电极放在病人胸部的不同位置,可以获得有关人体功能的更多信息。这个话题非常有趣,需要进一步研究
血压测量
在使用充气臂带的血压测量应用中,一项重要的任务是测量气阀处的压力。在这类压力检测应用中,电容式传感器使用起来非常简单。
如图8所示,压力传感器的薄膜基本是由两个电容极板构成。向传感器施加压力时,电容极板之间的距离缩短。极板间的距离缩短会导致电容升高。
可使用一个温度传感器来检测传感器的温度变化,以补偿温度变化导致的特性变化。AD774x系列内置一个温度传感器,用于测量片内温度——另外还搭载了一个ADC电压通道,可用来测量电容传感器位置的温度。

图8.用电容式传感器检测压力
结束语
本文简要介绍了ADI公司在CDC技术领域取得的一些成就,暗示了CDC技术在医疗保健应用中的巨大潜力。然而,传感器设计——包括样式、尺寸和位置——相关的详细电子电路设计,以及深入研究、综合实验和有效测试的必要性在很大程度上取决于各种应用的性质,因此,我们在本文中只是抛砖引玉而已。
诚挚邀请各位访问EngineerZone上的ADI公司社区,就CDC技术在医疗保健领域的应用发表高见。
参考电路
ADI CDC 主页: http://www.analog.com/cdc.
ADI 公司医疗保健产品主页: http://healthcare.analog.com.
Prutchi, David, and Michael Norris. Design and Development of Medical Electronic Instrumentation. ISBN 0-471-67623-3. John Wiley & Sons, Inc., 2005. 有关所有ADI公司产品的信息,请访问 www.analog.com.
推荐阅读:





