【导读】用金属制造的接地电极在大地中与土壤直接接触,而土壤是由土的颗粒与在其间隙中存在的水和空气组成。接地就是将性质完全不同的金属制电极与水和空气的混合物进行可靠的电气连接。这种电的连接必然存在电阻,这就是接地电阻。
由于土壤是由不同的土壤颗粒和其间隙中存在的水和空气组成,再则接地体的形状、尺寸又不一,所以接地电阻有着非常复杂的性质。
一、接地电阻的定义
接地电阻包括接地电极体本身的电阻、接地电极体与土壤间的接触电阻、接地电极体附近的土壤电阻、接地电极体至电气设备间连接导线的电阻四者之和。
从定量的角度描述接地电阻的定义应该是“在某一电极上流入接地电流I(A),若接地电极的电位比周围大地高出E(V)时,其电位上升值与接地电流之比E/I(Ω)即为接地电阻”。如图1所示。

图1 接地电阻的定义
接地电阻的定义必须要附带以下两个条件。
①为了使接地电流流向接地电极,必须形成闭合回路,需要把两根接地电极打入大地,并保持足够的间距。当接入电源后,就会在两个电极之间流过接地电流,把其中一根电极称为辅助电极,如图2所示。在定义接地电阻时,辅助电极要设置在离主接地电极十分远的地方,使它对主接地电极带来的影响甚微,而将其忽略。当电源取直流时,由直流电流产生的电化学现象可被忽略。

图2 辅助电极
②接地电极的电位上升是以大地的无限远方为基准测量的。所谓无限远方是指即使有接地电流,电位也不变动的地点,即意味着与通电前的状态没有变化的地点,将该点作为电位基准点。可以从电位上升值及接地电流求出真正的接地电阻,如图3所示。如果把测定电位的基准点靠近接地电极,基准点的电位就会因接地电流而引起(ΔV)上升,这一增量给电位上升的测定带来误差,进一步使接地电阻也形成误差。

图3 电位测定的基准点
二、接地电阻的一般性质
接地电阻由以下3个构成要素组成:
①接地线的电阻及接地电极自身的电阻;
②接地电极表面及与其接触的土壤之间的接触电阻;
③电极周围大地的电阻。
如图4所示,这3个构成要素中①是导体,电阻非常小,不成问题。但是将钢筋混凝土基础桩等非金属体作为代用电极时,必须考虑接地电极自身的电阻。②的接地电阻是电极与土壤的“适应”问题。接地电极的大部分是金属体,其表面是光滑的,而土壤是微小的固体颗粒,这两种物质实际是接近点接触状态,而不是面接触,所以在界面上有接触电阻。此外还有静电电容的作用,由于打入电极时电极的振动、埋设时加在电极上的压力,还有土壤种类、接地施工的场所等影响,无法用一两句话说清楚。从接地电阻的本质来说,还是③的影响最大。③中土壤所具有的电阻是最重要的,是电极包围的大地的电阻,叫做大地电阻,是接地电阻的主要部分。

图4 构成接地电阻的要素
由于通过大地电传导的截面积非常大,因此可以认为其电阻小到可以忽略不计。当离接地电极相当远时,电流通路的截面积变得非常大,即使土壤的导电性不良,电阻仍然很小。但是在接地电阻附近,由表面积并不太大的接地电极流出电流,电流通路的截面积被束缚,接地电阻呈现一定的电阻值。如图5所示,接地电流从接地电极以放射形式流出,随着远离电极,电流通路的截面积会增大。

图5 电流通路的截面积与电阻关系
当确定了某一接地电极的形状和尺寸,该电极的接地电阻表达式为
R=ρf ?。?)
式中 R——接地电阻,Ω;
ρ——大地电阻率,Ω·m;
f——电极的形状与尺寸有关的函数。
由式(1)可知,接地电阻与大地电阻率成正比,对同一形状、同一尺寸的接地电极,大地电阻率场合不同,其接地电阻值就不同。
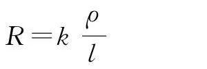
另外,函数f在电极的形状不清楚时不能确定。在电极的形状一定、大小如图5所示作相似变化的场合,接地电阻可表示为

式中 k——由电极形状确定的系数;
ρ——大地电阻率,Ω·m;
l——电极模型的特征尺寸。
l在如图6所示是半球状电极的半径,代表电极边缘模型的长度。由此,在大地电阻率一定的场合,若形状变化,接地电阻会随之变大变小。这在接地电极设计上是十分重要的,也是由模型电极来对接地电阻推算之际起支配作用的原理。

图6 接地电极形状一定而大小做相似变化的场合
三、大地电阻率
接地电极的接地电阻与施工地点的大地电阻率成一定比例。大地电阻率低的地点,易得到低的接地电阻,因而,在接地电极设计和施工时,知道施工地点的大地电阻率是非常重要的事。
①土壤水分的影响 几乎所有的土地都会含有水分,土壤因水分的多少改变其电阻率。一般情况含水分多的土壤电阻率低,图7表示了各种物质电阻率的排列图。相对于金属导体来说,土壤的电阻率还是比它们高得很多。

图7 各物质电阻率的排列图
当设计接地电极时,电极自身的电阻几乎不需要考虑,因为金属的电阻率与周围大地相比是非常低的。大地的电阻率会随泥土类型或组成泥土的化学成分的不同而变化。沙土的电阻率高于黏土。泥土湿度越大,导电性越好;湿度越小,导电性越小。接地电极周围大地的电阻率会随着一年四季和温度的变化而变化,所以在非常干燥的地区,可能要求在接地电极处采用增加土壤湿度或其他增强土壤导电性的方法。
②土壤温度的影响 对土壤电阻有很大影响的因素,除水分之外就是温度。表1表示由温度引起土壤电阻率的变化和变动的比率,温度从20~-15℃变化的场合由表中可看出,同一土地中电阻率随温度可增加459倍,这是因水(含冰)的电阻率会由温度引起敏锐的变化。
表1 土壤的温度和电阻率

自然界的土壤电阻率因含水率和温度等各种各样因素的支配,在不断变化。如随天气、季节而相应变化,一般是夏天低、冬天高。
对有关特定种类的土壤,要明确表示它的电阻率是有困难的,如说不出“黏土有多少Ω·m的电阻率”。这是因为相同的黏土,因地点和时间不同,电阻率是不同的,只有实地测量才是准确的。把已知长度和直径的一根接地棒打入地下,测量它的接地电阻,电阻率值可按接地电阻公式进行逆运算得出。
表2是大地按电阻率的分类,大地电阻率超过1000Ω·m是高电阻率地带,在这样的场所接地施工是非常困难的。
表2 大地按电阻率分类

大地一般呈层状结构,电阻率会因地层不同而大幅变化,因而大地电阻率多数随深度变化。大地是非常不均质的。
四、接地电阻与静电电容的关系
接地电阻与静电电容间的关系是两者的相似性,对某一已知静电电容的电极,如果把它看作是接地电极,即可得出它的接触电阻,两者由同一方程式来支配。
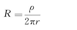
在接地理论中,常常遇到“全空间”与“半空间”的专业术语。如图8所示的某种介质中,图8(a)的状态叫全空间,图8(b)的状态叫半空间。而接地的问题就是半空间问题。将半球电极扩大成全空间,把全空间看作同一介质的方法叫做镜像法。假设如图9(a)所示为半空间场合的半球状电极,其接地电阻为R,用镜像法换成图9(b)所示的全空间场合的接地电阻为R'''''''''''''''',两者的关系是R=2R''''''''''''''''。这说明半球变成全球时,接地电流的流出面积是半球时的2倍,所以接地电阻就是原来的一半。

图8 全空间与半空间

图9 镜像法
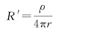
静电场中,在介电常数ε的介质中,半径为r的球体的静电电容表达式为:
C=4πεr
恒流场中,在电阻率为ρ的导电性介质中,半径为r的全球接地电阻为R'''''''''''''''',在全空间内电容C与接地电阻R''''''''''''''''的关系式为:
其中R''''''''''''''''由下式得出:

又因半空间的接地电阻R与全空间的接地电阻R''''''''''''''''有R=2R''''''''''''''''的关系,所以半球状电极的接地电阻R为:

即半空间场合的接地电阻与全空间场合的静电电容之间有以下对应关系:
对于复杂形状的接地电极,只要知道附加给它镜像时的静电电容,就可由上式计算出接地电阻。
五、接地电阻的理论式
半球状电极在理论上比较容易处理,它是接地理论的基础。
半球状电极的接地电路模型如图10所示。假设辅助电极位于主接地电极的相对无限远点,接地电流从电极的表面向周围大地呈放射状流出。如果辅助电极很近,电流的分布就不是放射状了。

图10 接地电极模型
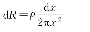
从半球状电极(半径r)流出的接地电流是以许多同心圆球状散射向大地的,如图11所示。

图11 半球状接地电极
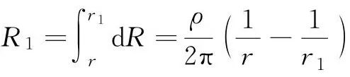
设图中画有斜线的部分与电极中心距离为x,厚度dx部分的电阻是dR,大地的电阻率是ρ,则有

现在要求出的接地电阻是与上式所示的电阻体在从电极表面到无限远处串联,所以从电极的表面r到距离r1之间所包含的电阻,用dR从r到r1的积分即可求得。设此电阻为R1,即

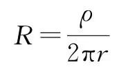
因为接地电阻是从电极到无限远处的全部电阻,如果r1是无限大,1/r1近似等于零。设此时电阻为R,由上式可得出

这是半球状电极的接地电阻的理论式,该理论式说明电流通路的截面积,从图11可看出随着电极半径(r)的增大,其接地电阻按1/r1成比例减少。即因截面积(2πr^2)变大而使接地电阻收敛。
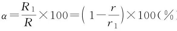
六、接地电阻的电阻区域
接地电阻的大部分是集中在接地电极的附近。假设从半球状电极的表面到距离r1之间的电阻为R1,从表面到无限远点的全接地电阻为R时,则R1与R之比为α

由上式,r1与α的关系如表3所示,r1用r的倍数表示。将该表图形化如图12所示。
表3 r1与α的关系


图12 r1与α的关系
随着与接地电极的距离r1增大,在全接地电阻R中,到r1所包含的R1也逐渐增大。电阻的增大趋势开始是急剧变化,到了2倍电极半径的距离(r1=2r)就已包含全电阻的一半,然后电阻的增大趋势变得缓慢。严格地说,即使距离到无限远还是存在电阻。包含电阻部分的地表面叫做电阻区域。如果全电阻的50%包含在电阻区域内,到2r就是电阻区域;如果全电阻的90%包含在电阻区域内,到10r就是电阻区域。
七、接地电阻理论有待提升
从接地电阻定量的定义来看,定义中存在着两个值得思考的问题。
①电阻的最初概念是来自欧姆定律,即R=U/I。欧姆定律的适用范围是金属导体,而土壤并不是金属导体。所以用欧姆定律来定义接地电阻是不适宜的。
②欧姆定律只用于电路,而土壤层不是“路”,而应该是“场”。
人们又发现,在接地系统本身,也存在着许多电磁干扰,它可以通过各种耦合途径去影响电子系统的正常工作。于是就想到“浮地”,让电子系统的地线在电气上与建筑物的接地保持绝缘,这样,建筑物接地系统中的电磁干扰不会传递到电子设备上去,地电位的浮动对设备也没有影响。但是浮地又带来新问题,如容易产生静电积累。当雷电感应较强时,外壳和其内部电子电路间可能会出现很高的电压,将两者之间的绝缘击穿,造成电子电路的损坏。
因此,减少干扰的关键不仅是减小接地电阻值,更重要的是设法减小系统漏向接地系统中去的电流。许多DCS、PLC产品,对接地电阻值大小的要求相差甚远。要求高的如1Ω,要求低的只要100Ω即可,其原因就在系统的绝缘性能和漏电流上的差异。
任何一种设备中的电子部分,包括控制系统在内,对正常工作条件(包括自然环境条件、电气工作条件以及机械工作条件)的要求越高,意味着产品本身的性能和可信性越差。
推荐阅读:




