【导读】长期用于消费类电子产品的发光二极管(L E D),最近也开始用于汽车照明领域,用来提供信号功能、日间行驶灯和车内照明。随着这项照明技术日益普及,制造商也在不断研究新的应用方式,以便充分发挥LED前大灯和尾灯时尚美观的优势。由随机小电压构成的噪声可能很难测量,实验室仪器本身的噪声使测量问题进一步复杂化。
测量噪声时,常常要使用专门的技术。例如,放大器通常配置为高 闭环增益,以使放大输入噪声便于测量。但是,低固定增益差分放大器的噪声测量面临着更大的问题,它集成反馈和增益电阻,不方便 使用高增益配置。此外,为了与频谱分析仪接口,需要进行差分单端转换。第二级放大器可以提供增益并执行差分单端转换,巧妙地解决上述两个问题。
图1显示可选 增 益(1、2或3)差分放大器 ADA4950-1 后接低噪声、低失真运算放大器 AD8099。lA D8099将差分输出转换为单端信号,增 益设为10。与A D A 4 9 5 0 -1相比,A D8099的1n V/√H z等效输入电压噪声可忽略不计。A D A 4 9 5 0 -1 的输出放大10倍,其噪声也成比例放大。利用0.5pF补偿电容和10倍增益,A D8099具有足够的带宽来测量A D A 4 9 5 0 -1 的噪声;在系统的频率响应开始滚降之前,工作频率最高可达10 MHz。

图1. 利用低噪声、低失真运算放大器A D8099测量可选增益差分放大器ADA4950-1的噪声
AD8099的输出电压为:
当输入接地时,测得的A D8099噪声贡献视为测量系统的噪底,然后测量包括A D A 4 9 5 0 -1的总输出噪声,A D A 4 9 5 0 -1 的噪声即为RSS(和的平方根)方法,用总噪声减去A D8099的噪声贡献。如式2所示;其中Vn1为A DA 4 9 5 0 -1的输出噪声, Vn2为AD8099的输出噪声。
总输出噪声为:
(2)为了精确测量系统噪声,还采用了其它几项技术:
● 测量AD8099的噪声时,其输入通过SMA连接器接地,SMA连接器的芯线对连接器的接地引脚短路。此外,SMA 连接器焊在一起,直接在连接器上形成共用接地连接,而不是通过电路板。
● D8099和ADA4950-1使用模拟控制电源。与数字控制电源相比,模拟控制电源能更好地抑制60Hz电力线耦合的噪声和谐波。
● 所有邻近仪器均关闭,除非测量需要使用。这可以最大程度减少由这些仪器控制器数字电路而产生的振荡,这些振荡可以通过 空气耦合至放大器。出于同样的原因,使用4英尺电缆将电路板连接到频谱分析仪,频谱分析仪会拾取显示器的刷新频率,从 而影响AD8099的输出。
● 为使A D8099的噪声贡献较小,使用低值电阻 (RF = 2 5 0 ?; RG= 25 ?) 配置其增益。较低的值会引起A D8099 振荡。当用短电缆将ADA4950-1与A D8099 相连时,在250 M Hz时可观察到振荡。当使用1英尺电缆时,振荡消失。
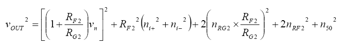
AD8099本身的噪声贡献非常?。?/div>
(3)
(3)其中vn为输入电压噪声,ni+和ni-为AD8099的输入电流噪声。
因为需要一个大反馈电阻来放大该噪声,但内部反馈电阻值无法改变,所以不可能测量A DA 4 9 5 0 -1的电流噪声。
图2所示的是测量结果,测量100kHz及以下的噪声使用的是Stanford Research S ys tems S R785,测量100 k H z 以上的噪声使用的是A gilen t E4440 PSA频谱分析仪。

图2. 测试结果
推荐阅读:





