桃花源qm花论坛(品茶),凤楼阁论坛官网入口网址,一品楼品凤楼论坛最新动态,风楼阁全国信息2024登录入口

为什么超低阻抗SiC FET受欢迎?它能使系统冷却运行!

发布时间:2019-12-10 来源:AnupBhalla 责任编辑:wenwei

【导读】功率半导体开关通常在用于电路设计时,能够在不增加开关损耗的情况下减小电流传导期间的损耗,这是其一大优势。在各种电路?;びτ弥?,器件需要连续传送电流,较低的传导态损耗有利于使系统保持较高的效率,并将产生的废热降至最低。如果在这些应用中需要放心地使用这些功率开关,必须满足各种类型的耐用性标准。
 
在本文中,我们将讨论最先进的低阻抗功率半导体开关,介绍其关键特性和应用优势。这些开是由UnitedSiC开发,采用堆叠式共源共栅(cascode)技术,其中将一个特殊设计,阻抗低于1mΩ的硅低压MOSFET堆叠在一个阻抗低于10mΩ的650~1200V常开型碳化硅(SiC) JFET之上。所形成的复合器件被称为SiC FET,可以像标准硅器件一样进行驱动,但是与硅IGBT、硅MOSFET和SiC MOSFET相比,具有许多优势。
 
为什么超低阻抗SiC FET受欢迎?它能使系统冷却运行!
 
什么是堆叠式共源共栅?
 
与包括SiC MOSFET、硅MOSFET和GaN HEMT在内的其他可用功率晶体管相比,??蚐iC JFET的单位芯片面积具有更低的导通阻抗。如图1a所示,当低压MOSFET堆叠在JFET上时,为了实现图1b的共源共栅架构,就形成了低阻抗常关断型开关,称为堆叠式共源共栅,其阻抗是低压MOSFET和SiC JFET阻抗之和,根据所选择的MOSFET和JFET的不同,其阻抗可能比JFET阻抗高5~20%。
 
图2显示了8.6mΩ,1200V堆叠芯片UF3SC12009Z的尺寸。由于在组装之前将低压MOSFET预堆叠在JFET上,因此该复合器件与标准组装管芯连接和引线键合设备兼容。而且,很有意义的是,该器件适合用于电源模块,并且还可通过TO247-4L封装提供(器件名称UF3SC12009K4S)。
 
为什么超低阻抗SiC FET受欢迎?它能使系统冷却运行!
 
表1列出了UnitedSiC最近推出的低RDS(ON)系列SiC FET的具体参数。请注意,在TO247封装中,两个阻抗最低器件的额定电流为键合线和引线限制。
 
为什么超低阻抗SiC FET受欢迎?它能使系统冷却运行!
 
导通状态和热特性
 
虽然产品数据手册可以提供器件特性的详细信息,但这里值得查看其中一些关键功能。器件的栅极具有?;SD二极管,其在±26V时击穿。
 
硅MOSFET的额定电压为±20V,Vth为5V,并且没有传统SiC MOSFET通常遇到的磁滞或不稳定性。它可以采用与现有SiC MOSFET、Si MOSFET或IGBT兼容的栅极电压驱动。负栅极偏压的使用没有限制,尽管给定5V Vth,但大多数应用仍可通过简单的0~12V栅极驱动来完成。
 
SiC FET RDS(ON)具有正温度系数,如表1和图3a所示,考虑到许多应用需要将SiC FET器件并联使用,该特性非常有用。
 
图3a表明650V UF3SC065007K4S的RDS(ON)升高远低于硅超结MOSFET。显然,在125~150℃时的传导损耗甚至比可用的最佳超结硅MOSFET低2.5倍至4倍。如果将1200V器件与SiC MOSFET进行比较,在125-150℃时它们RDS(ON)随温度的升高速率相差不大,具有相似的RDS(ON)(25℃)。从图3(右侧图)还可以清楚地看出,UF3SC120009K4S在所有温度下都呈现出在TO-247中具备最低的RDS(ON)FET,而且优势很大。
 
SiC FET导通状态下的第三象限特性优于SiC MOSFET,这是由于在JFET RDS(ON)串联时,其压降相当于0.7V的硅结压降。典型的第三象限特性如下述图3b所示。
 
为什么超低阻抗SiC FET受欢迎?它能使系统冷却运行!
 
低VF也伴随有出色的低QRR值(例如UF3SC120009K4S为1200-1300nC,UF3SC065007K4S为850nC)。
 
低RDS(ON)系列器件均采用烧结银技术来提供最佳的热性能,如表1(最大RTHJC柱)所示。此外,这有助于使MOSFET和SiC JFET都很薄,并且SiC的导热率(3.7W / cm-K)与铜(3.85W/cm-K)相当。这些器件的TJMAX额定值为175℃,但由于MOSFET VTH保持在3V以上,并且其泄漏很低(如图2特性所示),因而它们可以在TJ> 200℃时正常工作,而不会出现热失控情况。
 
开关特性
 
表1显示了SiC FET数据手册中的低开关损耗。EON和EOFF几乎与温度无关,并且都很低。 EON通常大于EOFF,这在大多数宽带隙(WBG)器件中都是如此。因此,这些器件在硬开关和软开关电路中都很有用,特别是非常适用于电动汽车逆变器。
 
从图4a中的半桥开关波形可以看出,SiC FET的体二极管恢复特性非常出色。
 
为什么超低阻抗SiC FET受欢迎?它能使系统冷却运行!
 
这里使用了一个小的RC缓冲器,以减少关断电压过冲,当通过单个TO247-4L器件驱动100A电流时这是必需的。低电压MOSFET的贡献约为100nC,主要来自其COSS,观察到的其余QRR来自SiC JFET输出电容的QOSS。由于LV MOSFET的存储电荷很少,测量的QRR随温度变化很?。ㄍ?b),观察到的大多数QRR与器件电容充电有关。在650V时,UF3SC065007K4S的该值为850nC,这是其优于任何超结MOSFET的关键优势所在。超级结MOSFET的QRR要高出10~50倍,并且在硬恢复下具有dV/dt限制。
 
由于20~50V/ns的正常开关dV/dt对于某些逆变器应用而言可能过快,因此图4b显示了用于在导通和关断期间实现低dV/dt几种技术中的一种(90%/10% dV/dt_导通=5.7V/ns, dV/dt_关断=4.1V/ns)。仅使用RG值来实现这些低dV/dt会导致过长的延迟时间,因此,除了RG之外,还可以使用外部CGD电容器来达到目标dV/dt。
 
为什么超低阻抗SiC FET受欢迎?它能使系统冷却运行!
 
雪崩和短路特性
 
图5显示了UF3SC120009K4S在两种情况下的典型雪崩特性。在低电流、高电感状态下,这些器件可以处理>5.5J,额定值为550mJ。有趣的是,在较短的电感尖峰下,UF3SC120009K4S的峰值雪崩电流处理能力超过200A,这是SiC FET独特的工作方式所致,其中JFET从自偏置状态进入工作模式,能够安全地吸收雪崩电流。
 
为什么超低阻抗SiC FET受欢迎?它能使系统冷却运行!
 
图6显示了典型的短路测试波形。峰值短路电流为1200A,并且由于JFET决定了该峰值短路电流,电流会由于JFET的自发热而迅速下降。SiC FET在重复性短路时不会降低性能,这是源自SiC JFET固有的牢固性。在这种短路事件期间,低电压MOSFET上的电热应力可以忽略不计。
 
为什么超低阻抗SiC FET受欢迎?它能使系统冷却运行!
 
SiC FET的并联工作特性
 
图7显示了并联时SiC FET的典型特性。由于RDS(ON)的正温度系数,导通状态电流会达到一定平衡。开关期间电流平衡的主要原因是由于开关特性实际上是由SiC JFET而不是低电压MOSFET控制。由于SiC JFET的VTH不会随温度而降低,因此不会招致由于VTH不平衡而导致一个开关导通更快而关断更慢。这也有助于使体二极管针对大部分工作电流具有正温度系数,而对QRR则具有很小的温度依赖性,或根本没有。重要的是要注意,与所有开尔文源器件一样,在每个栅极返回路径中增加一个阻抗也很重要。
 
为什么超低阻抗SiC FET受欢迎?它能使系统冷却运行!
 
应用案例:电动汽车逆变器中的低RDS(ON)SiC FET
 
鉴于低RDS(ON)SiC FET这些理想的特性,电动汽车逆变器是非常适合于这些低RDS(ON)开关的一个应用。虽然电源??橥ǔJ堑缍的姹淦髂?榈氖籽。庑┢骷兄谑迪止菇ㄏ嗟钡统杀镜牡缍的姹淦?。表2显示了电动汽车逆变器采用UF3SC120009K4S估算的损耗与基于最先进IGBT??榻饩龇桨傅亩员取C扛隹厥褂?个并联单元构成的解决方案在200KW输出时可以将工作损耗降低3倍,这对于增大车辆续航里程、扩展电池容量和减轻逆变器的冷却负担都非常有利。另外,这些开关可用于提高开关频率,有助于减轻逆变器的电流纹波,并提高电机效率和寿命,使得这些开关成为高转速电机逆变器的绝佳选择。
 
应用案例:电动汽车快速充电器
 
针对350KW的电动汽车快速充电器,必须向400V电池提供875A的电流,或向800V的电池提供一半的电流。典型的充电器电路可能需要在高频变压器的次级线圈上使用SiC二极管,以整流传递到电池的电压。将SiC FET用作同步整流器可以将损耗降低至少2倍,图8显示了UF3SC065007K4S与100A SiC JBS二极管的传导特性比较。如果大功率??橹械拿扛銎骷家?00A电流(例如50%的占空比)使用,则二极管在125℃时会下降2V,损耗为100W,而SiC FET在125℃时可能会只有0.9V的电压降低,导致每个FET仅损耗45W,相当于改进了2倍。
 
为什么超低阻抗SiC FET受欢迎?它能使系统冷却运行!
 
鉴于这些器件具有出色的传导和开关损耗,能够在标准的主动前端(PFC级)和DC-DC(相移全桥/ LLC)初级提供峰值效率,用户可以减少并联开关的数量,简化组装,甚至可以将单个充电器的功率从15KW提升到30-50KW。UF3SC065007K4S可以允许用户借助分立器件将Vienna整流器推到新的功率水平,或者1200V器件可以提供一个同样高效的简化两电平架构路径。
 
应用案例:光伏逆变器、焊接和UPS电路
 
这些器件具备传导损耗和开关损耗的完美结合,可以非常有效地用于高性能两电平、NPC和TNPC电路,以最大限度地提高逆变器效率,并突破采用分立器件可处理的功率水平极限。SiC FET栅极驱动器的简捷性是控制成本的另一个重要因素。
 
图9比较了在总线电压为800V,频率为12.5kHz、25kHz和50kHz的60KVA逆变器中由于半导体功率损耗而导致的效率估算。两电平解决方案每个开关位置使用一个UF3SC120009K4S,因此仅需要6个晶体管和栅极驱动器。TNPC每相使用两个UF3SC120009K4S和两个 UF3SC065007K4S,而NPC情况则每相使用四个UF3SC065007K4S。TNPC和NPC选项使用12个晶体管和12个栅极驱动器,即使在50kHz时也能提供高于99%的效率。与基于模块的方法相比,可以节省大量成本。
 
为什么超低阻抗SiC FET受欢迎?它能使系统冷却运行!
 
应用案例:固态断路器
 
UnitedSiC展示了一个使用六个并联UF3SC120009芯片构成的2mΩ,1200V SOT227开关,主要针对大电流固态功率控制器和断路器应用。但在较低电流下,这些低RDS(ON)FET可以单独或并联形式来实现这些功能。
 
虽然简单的负载开关只需要低的导通阻抗和良好的热性能,但对于某些应用可能要求更多。例如在线性模式下使用此器件构成电子负载,在这种模式下,特别是在600~1200V的高电压下,JFET可以应对大部分功率损耗。由于其VTH不会随温度下降,因此它不会在管芯内形成热点,因此可以在这些条件下稳定运行。
 
图10显示了使用带有高Rgoff阻抗的UF3SC120009K4S来稳定运行非常缓慢的关断转换。固态功率控制器中需要缓慢的导通和关断转换,以最大程度地减小切换到高电感线路时产生的电压尖峰。
 
结论
 
设计人员将会发现,这些采用熟悉的TO247-4L封装,具有出色的开关损耗,同时具备极低RDS(ON)的器件在构建更高功率逆变器、充电器和固态断路器时能够提供非常高的价值。这些器件具备的高VTH值以及与硅和SiC栅极驱动电压的兼容性能够进一步简化设计,同时这些器件由于其内在的坚固耐用,并且能够并联运行,使设计人员可以采用这些器件来替换电源??椤?/div>
 
图1:(a)使用一个低压硅MOSFET堆叠在高压??蚐iC JFET源极焊盘上方形成的共源共栅。(b)共源共栅SiC FET的最终电路配置。
 
图2:8.6mΩ1200V SiC FET的尺寸。器件黄色部分是SiC JFET,蓝色部分为堆叠在其上的低压MOSFET。该器件连续运行的额定工作温度为175℃,但该器件的导通状态和阻断特性表明,在200℃条件下运行仍可安全地处理过应力情况,而不会发生过热失控。
 
表1:添加到TO247产品组合中的低RDSSiC FET性能参数。最低RDS器件具有120A限制。 *包括5Ω,680pF缓冲器。
 
图3a:UF3SC065007K4S的导通电阻与温度的关系,以及相对于最佳可用超级结MOSFET的关系; UF3SC120009K4S针对最佳SiC MOSFET方案的比较。
 
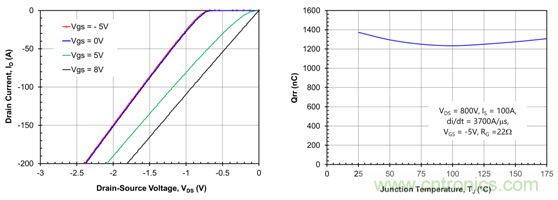
图3b:UF3SC120009K4S的第三象限(续流模式)导通状态特性(左)和QRR(右)与温度的关系。请注意,在100A时VGS = 0,-5V时的低导通压降为1.65V,1200-1300nC的低QRR值几乎与温度无关。
 
图4a:UnitedSiC双脉冲演示板上的半桥开关波形。RGON = RGOFF = 5Ω,并且在每个器件上都施加了680pF,5Ω的RC缓冲器。
 
图4b:一种适合电机驱动应用的实现低dV/dt波形的方法。开关条件为75A/800V,带有33Ω的RG和68pF的外部CGD电容器。在UnitedSiC双脉冲演示板上测得半桥开关波形。
 
图5显示了UF3SC120009K4S在两种情况下的典型雪崩特性。在低电流,高电感状态下,这些器件可以处理> 5.5J,额定值为550mJ。有趣的是,在较短的电感尖峰下,UF3SC120009K4S的峰值雪崩电流处理能力超过200A。这是由于SiC FET的独特运行所致,其中JFET从自偏置状态进入工作模式,能够安全地吸收雪崩电流。
 
图6:UF3SC120009K4S的典型短路测试波形。SiC JFET确定了1200A的峰值电流,该峰值电流由于自受热而迅速下降。数据获取条件:VDS = 600V,TSTART = 25℃。
 
图7:两个UF3SC120009K4S器件在VGS = +15/-5V时每个以60A(总共120A)的电流并联开关,每个栅极使用15Ω RG,在栅极返回路径为1Ω。在高速开关条件实现了出色的共享。
 
表2:基于IGBT的最新2级电动汽车逆变器与具有各种低RDS(ON)SiC FET选项的功率损耗比较。在200KW输出功率下,损耗可降低近3倍。
 
图8:用UF3SC065007K4S在高电流下进行同步整流。与使用SiC JBS二极管相比,可以避免产生大量的废热。现在,转换器也可以是双向。
 
这种变化允许转换器进行双向设计。
 
图9:对于2级,NPC和TNPC拓扑架构,在3个工作频率下具有800V DC链路的60KVA太阳能逆变器的损耗评估,其中效率仅考虑了功率半导体的损耗。该功率水平之前通常是采用电源模块来实现,但现在可以通过UnitedSiC分立器件来完成。
 
图10:使用UF3SC120009K4S管理电源控制器/负载开关的缓慢开关转换。电阻性负载RL =9.4Ω,VDD = 800V,Tj = 25℃,DUT开关条件:VGS = -5V/15V。
 
 
推荐阅读:
 
粉红还有爆米花,5大常见噪声你弄懂没?
轮式机器人可以应对新的挑战和功能
MOS管损坏之谜:雪崩坏?发热坏?内置二极管坏?寄生振荡损坏?电涌、静电破坏?
变频器的输出频率调高,那么输出电压将如何提高?
速度采样频率

关闭

?

关闭