【导读】有源钳位正激(ACF)控制器在高频dc-dc??橹泻苁芑队航愕缪箍?、减小尺寸的磁性器件和高能效的设计是ACF的特点。如果设计功率级需要注意任何高功率设计,那么从转换器的控制-输出传递函数可以很好地了解补偿策略,以满足交越和相位裕度等设计目标。本文将先论述ACF传递函数,然后再给出一个典型的补偿示例。
1.前言
有源钳位正激(ACF)控制器在高频dc-dc??橹泻苁芑队航愕缪箍?、减小尺寸的磁性器件和高能效的设计是ACF的特点。如果设计功率级需要注意任何高功率设计,那么从转换器的控制-输出传递函数可以很好地了解补偿策略,以满足交越和相位裕度等设计目标。本文将先论述ACF传递函数,然后再给出一个典型的补偿示例。
2.功率级运行
图1显示的是一个ACF的简化电路图,其具体运行细节可见参考文献[1]。正常情况下,晶体管Q1在经典的正激转换器中工作,但当它关断时,其退磁过程会涉及到钳位电容Cclp和初级电感Lmag之间的谐振周期。一部分存储在磁化电感中的能量会将漏极连接处的集总电容转移,同时VDS(t)上升,直到找到流过Q2体二极管的路径。然后,通过在零电压开关(ZVS)条件下导通Q2,使后者短路:现在,Q1的漏极被钳位到Vin加Cclp的电压Vclp??悸堑絃mag和Cclp之间的谐振周期,循环电流最终会反转,并流过Q2(导通状态)和磁化电感Lmag。

在某个点,控制器将指示Q2开通,迫使电流离开包括Cclp在内的网格,自然地流过输入源Vin和漏极集总电容:漏极节点开始下降,直到一个新的开关周期,从而降低了导通损耗。

如图2所示,在MOSFET转换之间插入了一个死区时间,从而提供了产生漏源谐振周期的时间,该周期现在涉及Clump的Lmag,以达到一个谷点。在某些运行条件下(较小的输出电流),漏波触地会导致零导通损耗。
3.传递函数
在补偿转换器或任何系统之前,您需要功率级的控制-输出传输函数。换句话说,如果您想用正弦波来激励控制输入,这里指的是脉宽调制器(PWM),那如何通过功率级来传输信息,并在输出中产生响应呢?将响应与激励联系起来的数学关系就是我们需要的传递函数H。
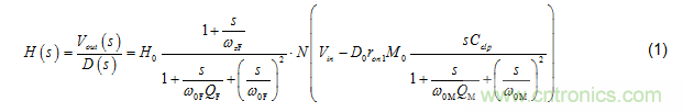
公式(1)导出了电压模式下ACF的控制-输出传递函数,通过四阶多项式描述了该转换器:

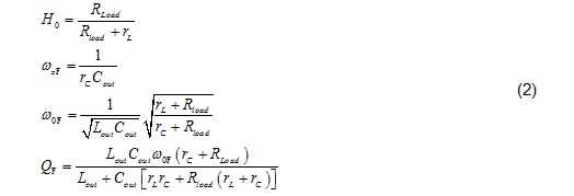
方程由两个部分组成:左边是经典正激转换器项,其中:

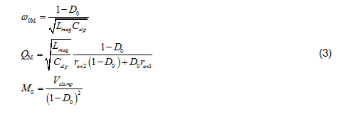
公式(1)中的第二项表示有源钳位电路的增加,以及围绕Cclp和Lmag建立谐振网络的影响:

在这些表达式中,rL和rC分别表示输出电感(Lout)和电容(Cout)等效串联电阻(ESR),ron1表示主开关晶体管rDS(on),ron2表示有源钳位晶体管rDS(on),N表示变压器匝比,D0表示静态占空比。
根据该表达式,我们可获得10-Hz至100-kHz频率范围的幅值和相位响应的波特图(如图3所示)。各器件的值即为由安森美半导体的NCP1566参考文献[2]供电的3.3-V/30-A dc-dc??榈闹怠S性辞徊糠质翘匾夥亲枘岬?,并假定Q2是低rDS(on)的MOSFET。

当频率达到公式(3)所描述的谐振时,您可观察到受相位严重失真影响的幅值毛刺。幅值下降归因于一次侧谐振电流的突增,这导致了一次侧功率MOSFET Q1的压降。如公式(1)中右侧项所示,此压降会从输入电压Vin中减去,并创建可观察到的响应陷波。根据参考文献[3]和文献[4]的建议,选择一个在Lmag-Cclp的最小谐振频率之前的交越点是明智的,因为此时存在严重的相位滞后。但是,如果在有源钳位电路中施加适当的阻尼,则可以扩展交越。如参考文献[5]所示,在瞬态条件下,必须仔细研究这种决策对主MOSFET漏源峰值电压的影响。图4显示相同的传递函数,现在被Q2的2.5-ΩrDS(on)所抑制:幅值和相位响应非常接近经典正激转换器的幅值和相位响应,而且可以在谐振陷波之外选择fc。

4.脉宽调制器
公式 (1)中给出的表达式不包括PWM??榈挠跋?。在一个隔离开的dc-dc转换器中,调节回路位于二次侧,光耦合器会偏置控制器反馈引脚来控制占空比。在大功率转换器中常见的一种方案是并联调节器:光耦合器不是通过公共发射极配置将引脚拉低至接地,而是通过发射极连接控制器并注入电流。此电流在内部呈镜像,可以拉低一个由50kΩ电阻加载的内部节点。这种电压偏置PWM比较器,可确保稳压。当输入动态电阻压降较小时,由于准恒定VCE电压,该技术使米勒效应最小化:光耦合器极被推到更高的频率,避免闭环时发生问题。动态电阻rd=400Ω,但对频率分析不产生影响。如果将电容反馈引脚接地,则会产生影响。但是,除此配置之外,阻抗需为ac,因为单独的光耦合器可以调节输入电流。此电流被10除(单位记为div),并通过拉高阻抗,调节内部操作点。
在倒相引脚上,定时电容Cramp由取决于输入电压的电流充电。因此,模拟锯齿波的斜率将与输入电压有关,随着Vin变化而动态地改变增益。此配置实现我们所谓的前馈操作??赡芟允静慰嘉南譡6]该调制单元的小信号增益等于:

在公式(1)中,您可看到在方程的右边出现了Vin,表示传输函数的直流增益(s=0)将随输入电压的变化而变化。因此,交越频率和稳定性也许都会受到影响。通过PWM传递函数(公式(4)),分母中的Vin抵消了输入电压的影响,在输入范围内稳定了环路增益和交越频率。
5.Type 3补偿器
为设计ACF转换器的环路增益,我们需要将PWM模式激励因子D(s)与观察到的变量Vout(s)响应联系起来的传递函数。我们将通过极点-零点位置应用选定的设计策略,以确保转换器的强固性和良好的瞬态响应。
图6表示含一个Type3补偿器的典型架构,Type3补偿器采用光耦合器隔离。该光耦合器本身受电流传输比(CTR)和极点的影响,极点的位置取决于负载电阻。在本应用中,分流调节反馈输入读取光耦合器电流。负载电阻是rd且相当小,这意味着我们必须描述一个相当高频率的光耦合器极点,以便之后中和它参考文献[7]。这里注意,LED连接到二次侧的一个安静的Vcc点(或辅助电压Vaux),与Vout完全交流耦合。需要注意这一点,否则会产生快速的通道,使补偿器参考文献[7]的频率响应失真。LED中的交流电流(忽略其动态电阻)由下式给出:

Zf和Zi 是图6中所圈部分的阻抗。从这两个网络中,我们可用快速分析电路技术参考文献[8]来推断我们想要的传递函数零点的位置。在Vout有激励的情况下,需要怎样的Zf和Zi 阻抗组合,才能使输出VFB为零?

有两个条件:
1. 当Vout在sz处调谐时,Zi幅值无穷大,则VFB(sz) = 0 V。Zi由分子和分母D(s)组成。当D(sz) = 0时,这个阻抗无穷大。因此,这个一阶网络的极点是我们想要的零点。影响Zi的时间常数是通过暂时断开C3和“观察”通过其连接端子提供的电阻来获得的。在我们的思维中,时间常数是,网络极点或传递函数零点就仅是。
2. 当R2和C1串联构成变换短路时,输出也为零。这个阻抗被定义为。您可以通过得到零点,从而定义了第二个零点位置在。接下来,我们可根据公式更新公式(7)。
推荐阅读:





