【导读】光隔离是一种很常用的信号隔离形式。常用光耦器件及其外围电路组成。由于光耦电路简单,在数字隔离电路或数据传输电路中常常用到,如UART协议的20mA电流环。对于模拟信号,光耦因为输入输出的线形较差,并且随温度变化较大,限制了其在模拟信号隔离的应用。
1. 线形光耦介绍
光隔离是一种很常用的信号隔离形式。常用光耦器件及其外围电路组成。由于光耦电路简单,在数字隔离电路或数据传输电路中常常用到,如UART协议的20mA电流环。对于模拟信号,光耦因为输入输出的线形较差,并且随温度变化较大,限制了其在模拟信号隔离的应用。
对于高频交流模拟信号,变压器隔离是最常见的选择,但对于支流信号却不适用。一些厂家提供隔离放大器作为模拟信号隔离的解决方案,如ADI的AD202,能够提供从直流到几K的频率内提供0.025%的线性度,但这种隔离器件内部先进行电压-频率转换,对产生的交流信号进行变压器隔离,然后进行频率-电压转换得到隔离效果。集成的隔离放大器内部电路复杂,体积大,成本高,不适合大规模应用。
模拟信号隔离的一个比较好的选择是使用线形光耦。线性光耦的隔离原理与普通光耦没有差别,只是将普通光耦的单发单收模式稍加改变,增加一个用于反馈的光接受电路用于反馈。这样,虽然两个光接受电路都是非线性的,但两个光接受电路的非线性特性都是一样的,这样,就可以通过反馈通路的非线性来抵消直通通路的非线性,从而达到实现线性隔离的目的。
市场上的线性光耦有几中可选择的芯片,如Agilent公司的HCNR200/201,TI子公司TOAS的TIL300,CLARE的LOC111等。这里以HCNR200/201为例介绍。
2. 芯片介绍与原理说明
HCNR200/201的内部框图如下所示

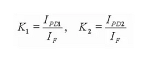
其中1、2引作为隔离信号的输入,3、4引脚用于反馈,5、6引脚用于输出。1、2引脚之间的电流记作IF,3、4引脚之间和5、6引脚之间的电流分别记作IPD1和IPD2。输入信号经过电压-电流转化,电压的变化体现在电流IF上,IPD1和IPD2基本与IF成线性关系,线性系数分别记为K1和K2,即

K1与K2一般很?。℉CNR200是0.50%),并且随温度变化较大(HCNR200的变化范围在0.25%到0.75%之间),但芯片的设计使得K1和K2相等。在后面可以看到,在合理的外围电路设计中,真正影响输出/输入比值的是二者的比值K3,线性光耦正利用这种特性才能达到满意的线性度的。
HCNR200和HCNR201的内部结构完全相同,差别在于一些指标上。相对于HCNR200,HCNR201提供更高的线性度。
采用HCNR200/201进行隔离的一些指标如下所示:
* 线性度:HCNR200:0.25%,HCNR201:0.05%;
* 线性系数K3:HCNR200:15%,HCNR201:5%;
* 温度系数:-65ppm/oC;
* 隔离电压:1414V;
* 信号带宽:直流到大于1MHz。
从上面可以看出,和普通光耦一样,线性光耦真正隔离的是电流,要想真正隔离电压,需要在输出和输出处增加运算放大器等辅助电路。下面对HCNR200/201的典型电路进行分析,对电路中如何实现反馈以及电流-电压、电压-电流转换进行推导与说明。
3. 典型电路分析
Agilent公司的HCNR200/201的手册上给出了多种实用电路,其中较为典型的一种如下图所示:

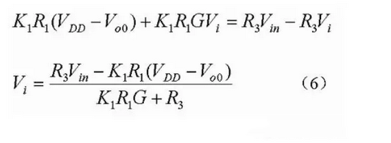
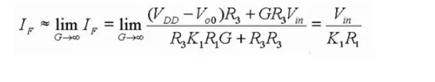
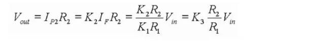
设输入端电压为Vin,输出端电压为Vout,光耦保证的两个电流传递系数分别为K1、K2,显然,,和之间的关系取决于和之间的关系。
将前级运放的电路提出来看,如下图所示:

设运放负端的电压为,运放输出端的电压为,在运放不饱和的情况下二者满足下面的关系:
Vo=Voo-GVi (1)
其中是在运放输入差模为0时的输出电压,G为运放的增益,一般比较大。
忽略运放负端的输入电流,可以认为通过R1的电流为IP1,根据R1的欧姆定律得:

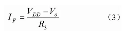
通过R3两端的电流为IF,根据欧姆定律得:

其中,为光耦2脚的电压,考虑到LED导通时的电压基本不变,这里的作为常数对待。
根据光耦的特性,即
K1=IP1/IF (4)
将和的表达式代入上式,可得:

上式经变形可得到:

将的表达式代入(3)式可得:

考虑到G特别大,则可以做以下近似:

这样,输出与输入电压的关系如下:

可见,在上述电路中,输出和输入成正比,并且比例系数只由K3和R1、R2确定。一般选R1=R2,达到只隔离不放大的目的。
4. 辅助电路与参数确定
上面的推导都是假定所有电路都是工作在线性范围内的,要想做到这一点需要对运放进行合理选型,并且确定电阻的阻值。
4.1 运放选型
运放可以是单电源供电或正负电源供电,上面给出的是单电源供电的例子。为了能使输入范围能够从0到VCC,需要运放能够满摆幅工作,另外,运放的工作速度、压摆率不会影响整个电路的性能。TI公司的LMV321单运放电路能够满足以上要求,可以作为HCNR200/201的外围电路。
4.2 阻值确定
电阻的选型需要考虑运放的线性范围和线性光耦的最大工作电流IFmax。K1已知的情况下,IFmax又确定了IPD1的最大值IPD1max,这样,由于Vo的范围最小可以为0,这样,由于考虑到IFmax大有利于能量的传输,这样,一般取最大值。
另外,由于工作在深度负反馈状态的运放满足虚短特性,因此,考虑IPD1的限制,这样,R2的确定可以根据所需要的放大倍数确定,例如如果不需要放大,只需将R2=R1即可。
另外由于光耦会产生一些高频的噪声,通常在R2处并联电容,构成低通滤波器,具体电容的值由输入频率以及噪声频率确定。
4.3 参数确定实例
假设确定Vcc=5V,输入在0-4V之间,输出等于输入,采用LMV321运放芯片以及上面电路,下面给出参数确定的过程。
* 确定IFmax:HCNR200/201的手册上推荐器件工作的25mA左右;
* 确定R3:R3=5V/25mA=200;
* 确定R1:;
* 确定R2:R2=R1=32K。
5. 总结
本文给出了线性光耦的简单介绍以及电路设计、参数选择等使用中的注意事项与参考设计,并对电路的设计方法给出相应的推导与解释,供广大电子工程师参考。
推荐阅读:




