桃花源qm花论坛(品茶),凤楼阁论坛官网入口网址,一品楼品凤楼论坛最新动态,风楼阁全国信息2024登录入口

你的位置:首页 > RF/微波 > 正文

RC微分电路、积分电路和低通滤波电路LPF

发布时间:2019-04-17 责任编辑:wenwei

【导读】若将矩形脉冲序列信号加在电压初值为零的RC串联电路上,电路的瞬变过程就周期性地发生了。显然,RC电路的脉冲响应就是连续的电容充放电过程。如图所示。
 
1.RC电路的矩形脉冲响应
 
若将矩形脉冲序列信号加在电压初值为零的RC串联电路上,电路的瞬变过程就周期性地发生了。显然,RC电路的脉冲响应就是连续的电容充放电过程。如图所示。
 
RC微分电路、积分电路和低通滤波电路LPF
 
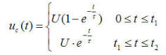
若矩形脉冲的幅度为U,脉宽为tp。电容上的电压可表示为:
 
RC微分电路、积分电路和低通滤波电路LPF
 
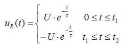
电阻上的电压可表示为:
 
RC微分电路、积分电路和低通滤波电路LPF
 
即当 0到t1时,电容被充电;当t1到t2 时,电容器经电阻R放电。
 
(也可以这样解释:电容两端电压不能突变,电流可以,所以反映在图中就是电阻两端的电压发生了突变。)
 
2.RC微分电路
 
取RC串联电路中的电阻两端为输出端,并选择适当的电路参数使时间常数τ《《tp(矩形脉冲的脉宽)。由于电容器的充放电进行得很快,因此电容器C上的电压uc(t)接近等于输入电压ui(t),这时输出电压为:
 
RC微分电路、积分电路和低通滤波电路LPF
 
上式说明,输出电压uo(t)近似地与输入电压ui(t)成微分关系,所以这种电路称微分电路。
 
RC微分电路、积分电路和低通滤波电路LPF
 
3.RC积分电路
 
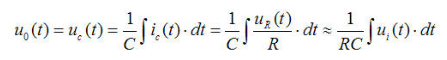
如果将RC电路的电容两端作为输出端,电路参数满足τ》》tp(矩形脉冲的脉宽)的条件,则成为积分电路。由于这种电路电容器充放电进行得很慢,因此电阻R上的电压ur(t)近似等于输入电压ui(t),其输出电压uo(t)为:
 
RC微分电路、积分电路和低通滤波电路LPF
 
上式表明,输出电压uo(t)与输入电压ui(t)近似地成积分关系。
 
RC微分电路、积分电路和低通滤波电路LPF
 
积分器实质上是一个低通滤波器,积分时间越长,则其截止频率越低。
 
4.时间常数
 
RC电路中,时间常数=R*C ;
 
RL电路中,时间常数=L/R。
 
RC电路中:
 
积分电路,电路输出为电容两端,时间常数大;
 
微分电路,电路输出为电阻两端,时间常数小。
 
 
推荐阅读:
 
五种常见的内部噪声,你都清楚吗?
二极管在电路中到底做什么用的?
电源滤波电路浅析
设计电磁干扰滤波器
“5种”抑制冲击电流的方法
要采购电容器么,点这里了解一下价格!
特别推荐
技术文章更多>>
技术白皮书下载更多>>
热门搜索

关闭

?

关闭