桃花源qm花论坛(品茶),凤楼阁论坛官网入口网址,一品楼品凤楼论坛最新动态,风楼阁全国信息2024登录入口

你的位置:首页 > EMC安规 > 正文

阻抗怎么计算?

发布时间:2019-03-27 责任编辑:wenwei

【导读】在具有电阻、电感和电容的电路里,对电路中的电流所起的阻碍作用叫做阻抗。阻抗常用Z表示,是一个复数,实部称为电阻,虚部称为电抗,其中电容在电路中对交流电所起的阻碍作用称为容抗 ,电感在电路中对交流电所起的阻碍作用称为感抗,电容和电感在电路中对交流电引起的阻碍作用总称为电抗。 阻抗的单位是欧姆。阻抗的概念不仅存在与电路中,在力学的振动系统中也有涉及。
 
在计算阻抗之前,我想很有必要理解这儿阻抗的意义
 
传输线阻抗的由来以及意义
 
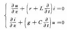
传输线阻抗是从电报方程推导出来(具体可以查询微波理论)
 
如下图,其为平行双导线的分布参数等效电路:
 
阻抗怎么计算?
 
从此图可以推导出电报方程
 
阻抗怎么计算?
  
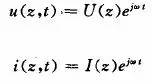
取传输线上的电压电流的正弦形式
 
阻抗怎么计算?
  
  
阻抗怎么计算?
 
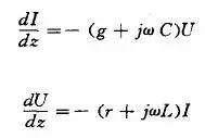
推出通解
 
阻抗怎么计算?
阻抗怎么计算?
  
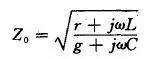
定义出特性阻抗
 
阻抗怎么计算? 
 
无耗线下r=0, g=0 得
 
阻抗怎么计算?
  
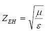
注意,此特性阻抗和波阻抗的概念上的差异(具体查看平面波的波阻抗定义)
 
阻抗怎么计算? 
 
特性阻抗与波阻抗之间关系可从阻抗怎么计算?此关系式推出。
 
Ok,理解特性阻抗理论上是怎么回事情,看看实际上的意义,当电压电流在传输线传播的时候,如果特性阻抗不一致所求出的电报方程的解不一致,就造成所谓 的反射现象等等。在信号完整性领域里,比如反射,串扰,电源平面切割等问题都可以归类为阻抗不连续问题,因此匹配的重要性在此展现出来。
 
叠层(stackup)的定义
 
我们来看如下一种stackup,主板常用的8 层板(4 层power/ground 以及4 层走线层,sggssggs,分别定义为L1, L2…L8)因此要计算的阻抗为L1,L4,L5,L8
 
阻抗怎么计算? 
 
下面熟悉下在叠层里面的一些基本概念,和厂家打交道经?;崾褂玫腛z 的概念
 
Oz 本来是重量的单位Oz(盎司 )=28.3 g(克)
 
在叠层里面是这么定义的,在一平方英尺的面积上铺一盎司的铜的厚度为1Oz,对应的单位如下
 
阻抗怎么计算?  
 
介电常数(DK)的概念
 
电容器极板间有电介质存在时的电容量Cx 与同样形状和尺寸的真空电容量Co之比为介电常数:
 
ε = Cx/Co = ε‘-ε“
 
Prepreg/Core 的概念
 
pp 是种介质材料,由玻璃纤维和环氧树脂组成,core 其实也是pp 类型介质,只不过他两面都覆有铜箔,而pp 没有。
 
传输线特性阻抗的计算
 
首先,我们来看下传输线的基本类型,在计算阻抗的时候通常有如下类型: 微带线和带状线,对于他们的区分,最简单的理解是,微带线只有1 个参考地,而带状线有2个参考地,如下图所示
 
阻抗怎么计算? 
 
对照上面常用的8 层主板,只有top 和bottom 走线层才是微带线类型,其他的走线层都是带状线类型。
 
在计算传输线特性阻抗的时候, 主板阻抗要求基本上是:单线阻抗要求55 或者60Ohm,差分线阻抗要求是70~110Ohm,厚度要求一般是1~2mm,根据板厚要求来分层得到各厚度高度。
 
在此假设板厚为1.6mm,也就是63mil 左右, 单端阻抗要求60Ohm,差分阻抗要求100Ohm,我们假设以如下的叠层来走线
 
阻抗怎么计算? 
 
先来计算微带线的特性阻抗,由于top 层和bottom 层对称,只需要计算top 层阻抗就好的,采用polar si6000,对应的计算图形如下:
 
阻抗怎么计算?  
 
在计算的时候注意的是:
 
1,你所需要的是通过走线阻抗要求来计算出线宽W(目标)
 
2,各厂家的制程能力不一致,因此计算方法不一样,需要和厂家进行确认
 
3,表层采用coated microstrip 计算的原因是,厂家会有覆绿漆,因而没用surface microstrip 计算,但是也有厂家采用surface microstrip 来计算的,它是经过校准的
 
4,w1 和w2 不一样的原因在于pcb 板制造过程中是从上到下而腐蚀,因此腐蚀出来有梯形的感觉(当然不完全是)
 
5,在此没计算出精确的60Ohm 阻抗,原因是实际制程的时候厂家会稍微改变参数,没必要那么精确,在1,2ohm 范围之内我是觉得没问题
 
6,h/t 参数对应你可以参照叠层来看
 
再计算出L5 的特性阻抗如下图
 
阻抗怎么计算? 
 
记得当初有各版本对于stripline 还有symmetrical stripline 的计算图,实际上的差异从字面来理解就是symmetrical stripline 其实是offset stripline 的特例H1=H2
 
在计算差分阻抗的时候和上面计算类似,除所需要的通过走线阻抗要求来计算出线宽的目标除线宽还有线距,在此不列出。
 
选用的图是
阻抗怎么计算?
阻抗怎么计算?  
 
在计算差分阻抗注意的是:
 
在满足DDR2 clock 85Ohm~1394 110Ohm 差分阻抗的同时又满足其单端阻抗,因此我通常选择的是先满足差分阻抗(很多是电流模式取电压的)再考虑单端阻抗(通常板厂是不考虑的,实际做很多板子,问 题确实不算大,看样子差分线还是走线同层同via 同间距要求一定要符合)。(作者:heroedit@hotmail.com)
 
 
推荐阅读:
 
开关电源的传导与辐射--清晰明了
二极管发光原理与LED灯带
模拟电子技术重点难点总结
阻抗测量中的万能法宝
Digi-Key宣布推出微信会员计划和微信支付
要采购电容器么,点这里了解一下价格!
特别推荐
技术文章更多>>
技术白皮书下载更多>>
热门搜索

关闭

?

关闭