桃花源qm花论坛(品茶),凤楼阁论坛官网入口网址,一品楼品凤楼论坛最新动态,风楼阁全国信息2024登录入口

选个电容而已,有那么难么?

发布时间:2018-06-26 责任编辑:wenwei

【导读】最近在准备开源的电源设计,把《电源是怎样炼成的》相关内容全部开源。所以在做一些器件选型。如下是一个电容的选型过程。 BUCK型开关电源规格需求:5V0~24V0→1V~5V0 输出电流:2A。
 
电源控制器备选型号:MP4420A(A表示:CCM模式,H表示:轻载降频模式)
 
PIN2PIN兼容: MPQ4420A-DJ(工业级),MPQ4420A-DJ-A(汽车级)
 
厂家:MPS
 
选个电容而已,有那么难么?
 
开关电源的 输入电容的选型:
 
1、 DCDC输入电容的作用:降低输入纹波电压、以及纹波电流。
 
输入电容的主要作用就是降低电源??槭淙攵说奈撇ǚ?。
 
使用大容量电容可以有效降低纹波电流的有效值;陶瓷电容器放置在电源的输入端,有效降低纹波电压幅度。陶瓷电容的低ESR特性有效降低纹波电压的幅度。(在纹波电流比较小的情况下,用陶瓷电容即可解决纹波电流和纹波电压的问题)
 
因为我们需要利用陶瓷电容的低ESR的特性,所以,我们需要把输入电容靠近电源??榉胖谩?/div>
 
选个电容而已,有那么难么?
 
如果你的输入电容处理不好,几个uH的杂散电感寄生在输入电容的电流路径上,恰好影响在开关频率上的阻抗,非常影响电路消除纹波电压的有效性。铝电解电容以及大多数钽电容的ESR太高,不能有效去除纹波电压。
 
如果输入的纹波电压比较大的话,会导致大量的纹波电流进入大电容,这些电流流经ESR,会引起无效的功率损耗。
 
为了减小大容量电容器中的电流有效值,必须使用陶瓷电容器减小纹波电压幅度。作为一般的经验法则,保持峰峰值纹波电压低于75mV保持电容器中的电流有效值在可接受的范围内。(备注:这个经验靠谱么?)
 
注:大功率电源的纹波电压极大,不做此约束。
 
1、理论计算:
 
负载电流、占空比和开关频率是决定输入纹波电压大小的几个因素。
 
输入纹波电压幅值与输出负载电流成正比。最大输入纹波幅值发生在最大输出负载。此外,电压纹波的幅度随开关电源的占空比变化而变化。
 
第一步:计算纹波电流
 
选个电容而已,有那么难么?
输入电流时域波形图
 
有效电流定义:有效值在相同的电阻上分别通过直流电流和交流电流,经过一个交流周期的时间,如果它们在电阻上所消耗的电能相等的话,则把该直流电流(电压)的大小作为交流电流(电压)的有效值
 
有效值也称为方均根值。
 
方均根值指的是在规定时间间隔内一个量的各瞬时值的平方的平均值的平方根,对于周期量,时间间隔为一个周期。
 
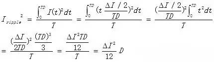
求输入纹波电流的有效值:
 
选个电容而已,有那么难么?
 
选个电容而已,有那么难么?
 
考虑输出纹波对输入纹波的影响:
 
选个电容而已,有那么难么?
 
即:输入电流的顶部也是按照一定斜率变化的,变化幅度与输出电流相同。
 
选个电容而已,有那么难么?
 
所以:
 
选个电容而已,有那么难么?
 
第二步:输入电容的纹波电流的选定
 
可以查电容的数据手册查看其承受纹波电流能力。以高分子电容为例,其额定的纹波电流(Rated ripple)为3.89A。
 
如果电源输入电流纹波为9A,则该电容需要放置3个。
 
铝电解电容:
 
选个电容而已,有那么难么?
 
陶瓷电容:
 
选个电容而已,有那么难么?
 
第三步:容值的选择:
 
利用充放电的电量相同可得:
 
选个电容而已,有那么难么?
 
Q=C*ΔU
 
Q=Iout*D * T* (1-D)
 
C=Iout*D* T* (1-D)/ΔU
 
举例:
 
● V IN = 12 V
 
● V OUT = 3.3 V
 
● I OUT = 10 A
 
● η = 90%
 
● f SW = 333 kHz
 
● dc = 0.3
 
选个电容而已,有那么难么?
 
根据我们现在设计的规格:2A
 
12V输入、3V3输出、输出电流2A、效率90%,计算:
 
CMIN=16.8uF
 
所以,我们可以看到典型设计中,放置了两个10uF的电容,满足上述设计要求;
 
选个电容而已,有那么难么?
 
第四步:电容的选择:
 
电容的种类太多了,是“电阻”、“电感”、“电容”三大无源器件中,种类最多的一种。
 
选个电容而已,有那么难么?
 
此处,考虑容值需求,成本需求,我们用于电源滤波的,一般只会选择三类:铝电解电容、钽电容、陶瓷电容
 
选个电容而已,有那么难么?
 
钽电容
 
钽电容、优点和缺点都很明显
 
优点:
 
(1)体积小 
 
由于钽电容采用了颗粒很细的钽粉,而且钽氧化膜的介电常数ε比铝氧化膜的介电常数高,因此钽电容的单位体积内的电容量大。
 
(2)使用温度范围宽,耐高温 
 
由于钽电容内部没有电解液,很适合在高温下工作。一般钽电解电容器都能在-50℃~100℃的温度下正常工作,虽然铝电解也能在这个范围内工作,但电性能远远不如钽电容。 
 
(3)寿命长、绝缘电阻高、漏电流小 钽电容中钽氧化膜介质不仅耐腐蚀,而且长时间工作能保持良好的性能 
(4)容量误差小 
 
(5)等效串联电阻小(ESR),高频性能好
 
缺点:
 
(1)耐电压不够高
 
(2)电流小
 
(3)价格高
 
(4)失效模式恐怖
 
选个电容而已,有那么难么?
 
贴片钽电容封装、尺寸封装尺寸:毫米(英寸)
 
AVX 常规系列(TAJ)贴片钽电容:容量和额定电压(字母表示封装大小)
 
选个电容而已,有那么难么?
 
封装尺寸:毫米(英寸)
 
选个电容而已,有那么难么?
 
此处我们应该可以发现规律,在这个容量等级,需要高耐压的话,钽电容的体积优势已经没有了,成本的劣势会非常明显。我们首先需要淘汰钽电容的选择。
 
另外,考虑钽电容的可供应性的问题,还有失效模式的问题,这个应用场景下我们果断淘汰。高分子聚合物(Polymer)钽电容的耐压和成本问题更严重。
 
铝电解电容
 
铝电解电容的优缺点
 
优点:
 
(1)大容量电容,相当单位体积的容量大。
 
(2)相当单位静电容的价格便宜。
 
(3)酸化皮膜(诱电体)具有自身修复性。
 
(4)故障状态的大部分状态是磨耗故障,不容易出现短路故障。
 
(5)没有容量的电压依存性。
 
缺点:
 
(1)寿命有限。
 
(2)温度变化引起的特性变化比较大。
 
(3)使用非正常条件,电容内压易上升造成压力阀动作。一般条件下电解液自身也是可燃物
 
陶瓷电容
 
如果容量、耐压满足的情况下,我们为了可靠性的考虑,一般优选用陶瓷电容来解决问题。
 
但是陶瓷电容有一个易失效的模式:机械失效。
 
多层片状陶介电容器由陶瓷介质、端电极、金属电极三种材料构成,失效形式为金属电极和陶介之间层错,电气表现为受外力(如轻轻弯曲板子或用烙铁头碰一下)和温度冲击(如烙铁焊接)时电容时好时坏。
 
多层片状陶介电容器具体不良可分为:
 
1、热击失效
 
2、扭曲破裂失效
 
3、原材失效三个大类
 
(1)热击失效模式:
 
热击失效的原理是:在制造多层陶瓷电容时,使用各种兼容材料会导致内部出现张力的不同热膨胀系数及导热率。当温度转变率过大时就容易出现因热击而破裂的现象,这种破裂往往从结构最弱及机械结构最集中时发生,一般是在接近外露端接和中央陶瓷端接的界面处、产生最大机械张力的地方(一般在晶体最坚硬的四角),而热击则可能造成多种现象:
 
第一种是显而易见的形如指甲狀或U-形的裂縫
 
选个电容而已,有那么难么?
 
第二种是隐藏在内的微小裂缝
 
选个电容而已,有那么难么?
 
第二种裂缝也会由裸露在外的中央部份,或陶瓷/端接界面的下部开始,并随温度的转变,或于组装进行时,顺着扭曲而蔓延开来(见图4)。
 
选个电容而已,有那么难么?
 
第一种形如指甲狀或U-形的裂縫和第二种隐藏在内的微小裂缝,两者的区别只是后者所受的张力较小,而引致的裂缝也较轻微。第一种引起的破裂明显,一般可以在金相中测出,第二种只有在发展到一定程度后金相才可测。
 
(2)扭曲破裂失效
 
此种不良的可能性很多:按大类及表现可以分为两种:
 
第一种情况、SMT阶段导致的破裂失效
 
当进行零件的取放尤其是SMT阶段零件取放时,取放的定中爪因为磨损、对位不准确,倾斜等造成的。由定中爪集中起来的压力,会造成很大的压力或切断率,继而形成破裂点。
 
这些破裂现象一般为可见的表面裂缝,或2至3个电极间的内部破裂;表面破裂一般会沿着最强的压力线及陶瓷位移的方向。
 
选个电容而已,有那么难么?
 
真空检拾头导致的损坏或破裂﹐一般会在芯片的表面形成一个圆形或半月形的压痕面积﹐并带有不圆滑的边缘。此外﹐这个半月形或圆形的裂缝直经也和吸头相吻合。
 
另一个由吸头所造成的损环﹐因拉力而造成的破裂﹐裂缝会由组件中央的一边伸展到另一边﹐这些裂缝可能会蔓延至组件的另一面﹐并且其粗糙的裂痕可能会令电容器的底部破损。
 
第二种、SMT之后生产阶段导致的破裂失效
 
电路板切割﹑测试﹑背面组件和连接器安装﹑及最后组装时,若焊锡组件受到扭曲或在焊锡过程后把电路板拉直,都有可能造成‘扭曲破裂’这类的损坏。
 
在机械力作用下板材弯曲变形时,陶瓷的活动范围受端位及焊点限制,破裂就会在陶瓷的端接界面处形成,这种破裂会从形成的位置开始,从45°角向端接蔓延开来。
 
选个电容而已,有那么难么?
 
(3)原材失效
 
多层陶瓷电容器通常具有2大类类足以损害产品可靠性的基本可见内部缺陷:
 
电极间失效及结合线破裂燃烧破裂。
 
这些缺陷都会造成电流过量,因而损害到组件的可靠性,详细说明如下:
 
1、电极间失效及结合线破裂主要由陶瓷的高空隙,或电介质层与相对电极间存在的空隙引起,使电极间是电介质层裂开,成为潜伏性的漏电?;?;
 
2、燃烧破裂的特性与电极垂直,且一般源自电极边缘或终端。假如显示出破裂是垂直的话,则它们应是由燃烧所引起;
 
选个电容而已,有那么难么?
 
备注:原材失效类中第一种失效因平行电容内部层结构分离程度不易测出,第三种垂直结构金相则能保证测出
 
结论:
 
由热击所造成的破裂会由表面蔓延至组件内部,而过大的机械性张力所引起的损害,则可由组件表面或内部形成,这些破损均会以近乎45°角的方向蔓延,至于原材失效,则会带来与内部电极垂直或平行的破裂。
另外:热击破裂一般由一个端接蔓延至另一个端接﹐由取放机造成的破裂﹐则在端接下面出现多个破裂点﹐而因电路板扭曲而造成的损坏﹐通常则只有一个破裂点。
 
根据实验数据和经验数据,我们选择陶瓷电容的体积越大,越容易机械失效。
 
如果避免失效呢:
 
措施一、禁止选择1210以上封装的陶瓷电容,优选1206封装以下的陶瓷电容。
 
措施二、所有陶瓷电容必须远离PCB板容易变形的位置:板边、散热器安装孔附近、螺钉孔附近……
 
我们按照这个电源模块的需求,进行选型:耐压50V、10uF的陶瓷电容,封装在1206的。
 
备选厂家有:
 
选个电容而已,有那么难么?
 
我们从符合规格的厂家中选择了质量和价格相对都比较好的;
 
村田、TDK的质量都比较好。
 
风华的电容可以跟TDK做比较的。
 
三星的是所有电容中最便宜的,也是比较不稳定的。
 
更便宜的话就是潮州市三环陶瓷电容有限公司。
 
但是都是上市公司。
 
虽然10uF的陶瓷电容,标称的:10uF、耐压50V,封装体积小于等于1206,但是我们知道陶瓷电容的电压依耐性,也就是说电压越高,其有效容值会下降。查看datasheet,触目惊心:
 
选个电容而已,有那么难么?
 
当我们的输入电压为12V的时候,其实电容呈现出来的电容值,只有4uF
 
再考虑温度因素:
 
选个电容而已,有那么难么?
 
此时电容值显得更不理想。
 
这时候,我们是不是开始纠结了,是增加陶瓷电容的数量呢?还是回头去选择铝电解电容?
 
 
推荐阅读:
 
高频开关电源的电磁兼容问题如何解决?
开关电源EMC设计经验谈
仪器接地的重要性和判断方法
电容降压电路计算方法
一颗芯驱动整个车前灯组,这个控制器是怎么做到滴?

关闭

?

关闭