【导读】理想的运算放大器模型具有无限的增益、带宽、输入阻抗和输出导纳,以及几乎为零的输入失调电压和偏置电流。但在运算放大器现实的工作环境中,偏离理想状态是正常的,比如一个直流测量系统,失调电压的存在就不容忽视。运算放大器的失调电压会引起直流信号输出产生误差,甚至减小输出动态范围。本文提出了一种计算失调电压的通用方法。
运算放大器是电子电路系统设计中使用最广泛的组件之一。尽管功能简单,它们却表现出复杂的行为,因为运放本身是由十几个晶体管组成的精心制作的子电路。理想化的运放模型,即无限大的增益、带宽、输入阻抗和输出导纳以及零值的输入失调电压和偏置电流,是分析运放电路(Op Amp-based circuit)的良好一阶近似。
根据运放的工作环境,可以分析它与理想行为的偏差。DC测量系统就是这样一种环境。在这种应用中,失调电压的存在不容忽视。它与信号处理链不同,在信号处理链中可用一个电容器轻松地滤除直流偏移。运放的失调电压会导致直流信号的输出误差。另外,如果失调电压值不可忽视,它们可减小输出的动态范围。各种文献和教科书对失调电压的存在都有描述。
本文提出了一种当电路中使用的运放具有输入失调量e时,计算输出失调量的通用方法。
理想运放的传递函数由等式y = A(V+ - V-)描述,其中y是输出,A是增益,A→∞,V+和V-分别是运放正、负输入端的电压。假设实际运放输入/输出传输特性为y = A(V+ - V- + e),其中e是理想运放的差分输入误差,可以计算出失调量。该模型与实际运放中观察到的结果一致:当输入存在差异时(V+ ≠ V-),输出为零;当V+ = V-时,实际运放产生非零输出。 假设运放的函数模型为y = A(V+ - V- + e),其中e是输入失调电压,当用于负反馈配置时,我们得到:
或者,对于在负反馈配置中使用的任何运放,V+ - V- = - e(假设增益无限大)。
因此,分析理想运放电路时广泛遵循的运放“黄金法则”需要做一些修改,以便包含表示输入失调电压存在的值e。
• 在采用负反馈配置运放的电路中,V- = V+ + e;
• 运放正极或负极输入/输出电流为零。
现在考虑图1所示的电路拓扑结构。原理图拓扑结构映射到图2所示的电路,其电阻网络分别由戴维南(Thevenin)等效电路(从端子向外看)替换为Vth+、Rth+和Vth-、Rth-。

图1:负反馈运放电路的一般拓扑结构。
运用黄金法则:
V− = V+ + e = Vth+ + e,因为V+ = Vth+。 在图2中运放的负极端应用基尔霍夫电流定律,得出:
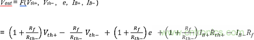
用Vth+、Vth-和e求解Vout,得到:

图2:图1所示的电路拓扑映射到该电路。
F(Vth+, Vth-, 0)仅仅是理想运放的输出(即输入失调电压是零)。因此,输出失调为:
我们将在广泛使用的各种运放电路的输出失调计算中应用上述导出公式。
1.差分放大器
参见图3。在这种情况下:


图3:差分放大器。
1a. 同相放大器
差分放大器的一个特例,V1 = 0和R1 = 0。
2.求和放大器
见图4。

图4:求和放大器。
在这种情况下,Rth- = R1 || R2 || R3 ……….|| Rn,因此:

2a. 反相放大器
求和放大器特例,n = 1。
2b. 二进制加权数模转换器
上面显示的求和放大器特例,其中:

3. R-2R梯形数模转换器
众所周知,R-2R梯形的等效输出电阻是R,与梯形的长度无关。图5和图6显示了两种实现方式。在图5中:

图5:具有缓冲输出的R-2R梯形数模转换器。

图6:带反相输出的R-2R梯形数模转换器。
在图6中:
当n值较小,与图6中的R-2R DAC相比,加权二进制DAC产生的输出失调更小。
考虑偏置电流
本节的输出失调计算考虑了偏置电流。假设流出正、负端子的偏置电流分别为IB+和IB-(+值为输出电流)。参考图2。
在运放负端应用基尔霍夫电流定律,得出:
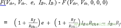
用Vth+、Vth-、e、IB+、IB-求解Vout,得到:

F(Vth+, Vth-, 0, 0, 0)为理想运放的输出。因此,输出失调量由下式给出:

计算出上述每一种情况的Rth+和Rth-后,总失调量的计算就是简单地将适当的值代入上述等式中。
本文转载自电子技术设计。
推荐阅读:




