【导读】对信号完整性工程师来说,分析闭眼图可不是件容易的事。传输信道的频率响应会导致符号间干扰(ISI),这是造成闭眼问题的主要原因。本文探讨如何测量均衡后遗留下的ISI,即所谓的驻留ISI。我们也可以看到,决策反馈均衡(DFE)其实是很简单的。利用SBRx(t)可以计算均衡方案如何影响串扰。
每个信号完整性工程师都知道,分析闭眼图从来都不是容易的事。传输信道的频率响应(或缺少带宽)会导致符号间干扰(ISI),这是造成闭眼问题的元凶。之前我写过关于闭眼分析技术的文章,这次我们将探讨如何测量均衡后遗留下的ISI,即所谓的驻留ISI。在此过程中,我们将认识到决策反馈均衡(DFE)其实是很简单的。
脉冲响应在定义高速串行总线的技术标准中越来越受欢迎。你可通过码型发生器发送一长串0、后接一个1、然后另一长串0来产生脉冲。也就是说,脉冲是不归零(NRZ)位,脉冲响应则与SBR(单比特响应)相同。
与窄峰响应(impulse response)一样,脉冲响应也包括电路以及轨迹、连接器、线缆、引脚、焊球的阻抗等信息。无论幅值还是相位,它们都是内置的。你甚至可通过在侵扰器(aggressor)上传输脉冲来产生串扰脉冲响应,并在受体上测量SBRx(t)。
图1显示(a)窄峰和(b)脉冲响应是等价的。

图1:传输信道的有限带宽延长了(a)窄峰,h(t);(b)单个比特,SBR(t)。(图片来源:Anritsu公司)。
脉冲响应SBR(t)与窄峰响应h(t)有如下关系:
其中pulse(t)是一长串0、一个1(对于PAM4,是一个3),以及另一长串0。
可以用矢量网络分析仪(VNA)的频域来测量脉冲响应SBR(t),并借助时域反射法/时域透射率法(TDR / TDT),或使用示波器。从仿真中提取也很容易。
因为脉冲响应测量提供了关于信道的所有信息——所有关于信道的线性和时间不变的信息,这应该是我们需要考虑的一切,用于特定性能变量的测量和计算指标包括信道工作裕度(COM)和信噪比失真率(SNDR)。
在实际系统中,接收器以波特率(即NRZ的比特率和PAM4比特率的一半)离散地对每个符号进行一次波形采样。
其中总和是在脉冲响应的持续时间内累加的。SBR(t)的粒度和h(t)通常是每单位间隔(UI)M=32个采样,如图2所示。

图2:每个UI采样M次的SBR(t),产生比每个UI采样一次更详细的波形。(图片来源:Anritsu)
采样点tsp是位于SBR(t)初始上升后的一个UI。
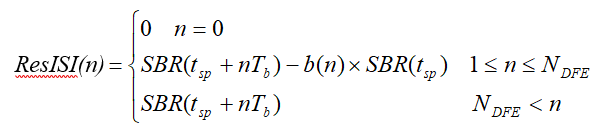
驻留ISI,可称之为ResISI(n),是均衡后每个UI保留的ISI。为计算ResISI(n),我们需要在发射脉冲中包含发射器均衡——去加重或发射器前馈均衡(FFE)。我们还需要将接收器连续时间线性均衡(CTLE)的影响包括在内,这在ADS(Keysight高级设计系统)等IBIS仿真器中很容易实现。决策反馈均衡(DFE)可以手动输入:

ResISI(n)是预均衡脉冲响应和后均衡脉冲响应之差,完美的均衡意味着对于所有n,ResISI(n)= 0。其中最酷的部分(我认为它很酷)是如何通过其抽头b(n)将DFE明确包含在内。这是显而易见的,对吧?但仍然不可思议。
为得到驻留ISI的单个参数测量值,只需添加其组成部分,即根平方和,就像为直角三角形添加一条边一样。
你可以在图3中看到三个均衡器是如何影响脉冲的。

图3:有和没有均衡的脉冲响应的ADS IBIS仿真。(图片来源:Wild River和Keysight)
可以使用同样的方法,利用SBRx(t)来计算均衡方案如何影响串扰。借助侵扰器的SBR和SBRx,可以通过明确包含DFE的方式(就如我们对ResISI所做的)来计算任何波形的后均衡形状。也就是说,你可以看到波形在深植到接收器内部的削波器(slicer)上看起来是什么样子。
本文转载自电子技术设计。
推荐阅读:




