【导读】上一篇文章讨论了滤波器相位与滤波器实现拓扑之间的关系,本篇将讨论滤波器传递函数本身的相位漂移。虽然滤波器主要是针对幅度响应而设计的,但在延时仿真、级联滤波器电路特别是过程控制环路等应用中相位响应非常重要。
本文主要讨论低通和高通响应。后续系列文章还将讨论带通和陷波(带阻)响应、全通响应以及滤波器的脉冲与阶跃响应。
回顾以前的文章可知,有源滤波器的传递函数可以被看作是滤波器传递函数和放大器传递函数的级联响应(图1)。
图1. 以两个级联的传递函数的形式表示的滤波器。
低通传递公式
首先,我们再看一下传递公式的相位响应。
对于单极点低通滤波器,传递函数的相移等于:
其中ω代表角频率(ω = 2π f 弧度每秒,1 Hz = 2π 弧 度 每 秒),ω0代表滤波器的弧度 中心频率。中心频率也可被看作是截止频率。就相位 而言,中心频率是相移在整个范围一半处的频率。由于角频率用在比值公式中,因此f/f0完全可以代替ω/ω0。
图2(左轴)是在中心频率以下二十倍频到中心频率以上二十倍频范围内对公式1的 求值 结果。由于单 极 点低 通滤 波器 具 有90°的相移范围—从0°至90° —中心频率的相移为-45°。当ω = ω0时,归一化中心频率等于1。

图2. 中心频率为1的单极点低通滤波器(左轴)和高通滤波器(右轴)的相位响应
同样,单极点高通滤波器的相位响应等于
图2(右轴)是在中心频率以下二十倍频至中心频率以上二十倍频范 围内对公式2的求值结果。中心频率 (=1) 的相移等于+45°。
如果低通通带定义为截止频率以下的频率,高通通带定义为中心频率以上的频率,那么最小相移(0°至45°)应在通带内。反之,最大相 移(45°至90°)发生在阻带内(频率高于低通截止频率并且低于高通截止频率)。
在低通情况下,滤波器输出滞后于输入(负相移);在高通情况下,输出领先于输入(正相移)。图3显示了相关波形:输入正弦波信号(中间曲线),截止频率为1k H z 的单极点高通滤波器输出信号(顶部曲线),截止频率为1k H z的单极点低通滤波器输出信号(底部曲线)。信号频率也是1k H z—两个滤波器的截止频率。图中波形领先和滞后45°显而易见。

图3. 输入(中间曲线)、单极点高通滤波器输出(顶部曲线)和低通滤波器输出(底部曲线)。
二阶低通滤波器传递函数的相移可以近似表示为:
(3)图4(左轴)是在中心频率以下二十倍频至中心频率以上二十倍频范 围内对公式3的求值结果(代入α= √2 = 1.414)。这里的中心频率等于1,相移为-90°。

图4. 中心频率为1 的双极点低通滤波器(左轴)和高通滤波器(右轴)的相位响应
在公式3中,α是滤波器的阻尼比,等于Q的倒数(即Q = 1/α)。它决定了幅度(和瞬态)响应中的峰值和相位变化的尖锐度。α等于1.414很 好地表征了双极点巴特沃斯(最大平坦度)响应。
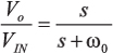
双极点高通滤波器的相位响应可以被近似表示为:
(4)图4(右轴)是在中心频率以下二十倍频至中心频率以上二十倍频范 围内对公式4的求值结果(α=1.414)。在中心频率(=1) 点,相移为90°。
图2和图4只使用了一条曲线,这是因为高通和低通相位响应是相似的,只是相移分别是90°和180° (π/2和π弧度)。这等效于相位符号的改变,导致低通滤波器输出滞后而高通滤波器领先。
在实际使用中,高通滤波器其实是一个宽带带通滤波器,因为放大器的响应至少会引入一个低通单极点。
图5是双极点低通滤波器的相位响应和增益响应,图中给出了不同Q值时的曲线。这个传递函数表明,相位变化遍布在相当宽范围的频 率上,而变化的范围与电路Q值呈反比关系。虽然本文主要讨论相位响应,但相位变化率和幅度变化率之间的关系也值得我们认真思考。

图5. 作为Q函数的双极点低通滤波器电路的相位和幅度响应。
值得注意的是,每级双极点电路提供最大180°的相移,在极端情况下,相移–180°,虽然滞后360°,但这个角度与180°相移具有相同的属 性?;谡飧鲈颍嗉堵瞬ㄆ鞯拇莺夹尉T谝桓鱿薅ǚ段?,比如180°至–180°,以提高图形读取的准确性(见图9和图11)。 在这种情况下,我们必须认识到,图形上的角度实际上是真正的角度加上或减去m×360°。虽然在这种情况下图形的顶部和底部会出 现不连续(因为图形变化了±180°),但实际相位角度的变化是平滑和单调的.
图6给出了不同Q值下双极点高通滤波器的增益和相位响应。这个传递函数表明,180°的相位变化可以发生在很大的频率范围内,而变 化的范围反比于电路Q值。另外值得注意的是,曲线的形状非常类似。 特别是相位响应具有相同的形状,只是覆盖范围不同。

图6. 作为Q 函数的双极点高通滤波器的相位与幅度响应。
放大器传递函数
放大器的开环传递函数基本上就是单极点滤波器的传递函数。如果是反相放大器,效果上等同于插入180°的额外相移。放大器的闭 环相移通常被忽略,但如果它的带宽不够的话,将影响复合滤波器的总传递函数。本文选用了A D822进行滤波器仿真。 A D822将影响复合滤波器的传递函数,但只是在较高频率处,因为它的增益和相移保持在比滤波器本身的转折频率高得多的频率。从数据手册上摘录 的AD822开环传递函数见图7。

图7. A D822 增益和相位波特图。
例1:1kHz、5极点、0.5dB切比雪夫低通滤波器
下面举一个1k Hz、5极点、0.5dB的切比雪夫低通滤波器例子进行讨论。选择这个特定例子的原因如下:
1) 与巴特沃斯滤波器不同,切比雪夫滤波器各级电路的中心频率是完全不同的,这样能使图形上的曲线伸展得更开一些,使得图形更加有趣。
2) 电路的Q值一般要高一点。
3) 奇数个极点可以突出单极点和双极点电路之间的区别。
滤波器部分采用ADI网站上提供的滤波器设计向导进行设计。
这部分电路的f0和Q见下表:

图8是整个滤波器的原理图。所选择的滤波器拓扑— 多反馈 (M F B)—又是任意的,这种选择使得单极点部分是一个有源积分器,而不是简单缓冲的无源RC电路。

图8. 1kHz、5 极点、0.5dB切比雪夫低通滤波器。
图9给出了整个滤波器的各级电路的相移。图上显示了单独第一级电路(第1级 — 蓝 色)、前面两级电路(第1和第2级 — 红色)和整个 滤波器(第1、第2和第3级—绿色)的相移。这些相移包含了滤波器部分的基本相移、每个反相放大器贡献的180°相移和放大器频率响应对总相移的影响。

图9. 图8 所示1kHz、5极点、0.5dB切比雪夫低通滤波器的相位响应。
让人感兴趣的一些细节:首先,作为净滞后的相位响应是负相加的。 由于在低频段放大器的倒相,第一个双极点电路开始相位是–180°(=180°以360°为模),在高频段增加到–360°(=0°以360°为模)。第 二级电路增加另外一次倒相,开始相位是–540°(=180°以360°为模),在高频段相位增加到–720°(=0°以360°为模)。第三级电路在低频 段的相位开始于–990°(=180°以360°为模),在高频段增加到–990°(=90°以360°为模)。另外需要注意,当频率超过10k H z 时,由于放大器的频率响应,相位将发生轻度的滚降。这种滚降是累积的,每级电路都会有所增加。
例2:1kHz、5极点、0.5dB切比雪夫高通滤波器
第二个例子(见图10)考虑的是一个1kHz、5极点、0.5dB切比雪夫高通滤波器的相位响应。在这个例子中,滤波器采用S allen-Key 压控电压源(VC V S) 电路而不是多反馈 (M F B) 进行设计(仍使用滤波器设计向 导)。虽然是任意选择的,但VCVS 只需要每级双极点电路两个电容,不像MFB中的每级电路三个电容,而且前两级电路是同相的。

图 10:1kHz、5极点、0.5dB切比雪夫高通滤波器。
图11给出了滤波器中每级电路的相位响应。第一级电路相移开始于低频段的180°,高频段下降到0°。第二级电路在低频段增加了180°,开始于 360°(=0°以360°为模),在高频段下降到0°。第三级电路增加了一次倒相,开始于低频段的–180°+90°=-90°,在高频段下降到–540°(= –180°以360°为模)。请再次注意,由于放大器的频率响应,在高频 段会有额外的滚降发生。

图11:图10 所示1kHz、5极点、0.5dB切比雪夫高通滤波器的相位响应。
结束语
本文讨论了低通和高通滤波器的相移特性。这个系列中的前一篇文章介绍了相移与滤波器拓扑之间的关系,在后续文章中,我们还将 讨论带通、陷波和全通滤波器—最后,我们会对所有内容进行回顾,并介绍相移将如何影响滤波器的瞬态响应,同时讨论群延时、脉冲响应和阶跃响应。
附录
单极点和双极点的低通和高通滤波器的通用传递函数见公式A1到公式A4。
单极点低通滤波器的传递函数:
其中 s = jω and ω0 = 2πf0.
双极点有源低通滤波器的传递函数:
(A2)其中 HO 是这级电路增益。
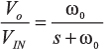
单极点高通滤波器的传递函数:
双极点有源高通滤波器的传递函数:
(A4)1k Hz、0.5dB 切比雪夫低通滤波器的f0和Q值如下:

推荐阅读:



