中心议题:
- D类放大器的PCB的散热考虑
- D类放大器的辅助散热
- D类放大器的负载阻抗
解决方案:
- D类放大器采用TQFN或TQFP封装时,裸露焊盘是其主要散热通道
- 选择最佳的阻抗和电源电压使输出功率最大
- D类放大器右侧较宽的布线有助于导热
在实验室评估D类放大器性能时,常使用连续正弦波作为信号源。尽管使用正弦波进行测量比较方便,但这样的测量结果却是放大器在最坏情况下的热负载。如果用接近最大输出功率的连续正弦波驱动D类放大器,则放大器常?;峤肴裙囟献刺?br />
常见的音源,包含乐音和语音,其RMS值往往比峰值输出功率低得多。通常情况下,语音的峰值与RMS功率之比(即波峰因数)为12dB,而乐音的波峰因数为 18~20dB。图1为时域内音频信号和正弦波的波形图,给出了采用示波器测量两者RMS值的结果。虽然音频信号峰值略高于正弦波,但其RMS值大概只有正弦波的一半。同样,音频信号可能存在突变,但正如测量结果所示,其平均值仍远低于正弦波。虽然音频信号可能具有与正弦波相近的峰值,但D类放大器表现出来的热效应却大大低于正弦波。因此,测量系统的热性能时,最好使用实际音频信号而非正弦波作为信号源。如果只能使用正弦波,则所得到的热性能要比实际系统差。

图1 正弦波的RMS值高于音频信号的RMS值
PCB的散热考虑
在工业标准TQFN封装中,裸露的焊盘是IC散热的主要途径。对于底部有裸露焊盘的封装,PCB及其敷铜层是D类放大器主要的散热渠道。如图2所示,将D类放大器贴装到常见的PCB,最好根据以下原则:将裸露焊盘焊接到大面积敷铜块。尽可能在敷铜块与临近的具有等电势的D类放大器引脚以及其他元件之间多布一些敷铜。本文的案例中,敷铜层与散热焊盘的右上方和右下方相连(见图2)。敷铜走线应尽可能宽,因为这将影响到系统的整体散热性能。

图2 D类放大器采用TQFN或TQFP封装时,裸露焊盘是其主要散热通道
[page]
与裸露焊盘相接的敷铜块应该用多个过孔连到PCB背面的其他敷铜块上,并应该在满足系统信号走线的要求下具有尽可能大的面积。加宽所有与器件的连线,这将有益于改善系统的散热性能。虽然IC的引脚并不是主要的散热通道,但实际应用中仍然会有少量发热。图3所示的PCB中,宽连线将D类放大器的输出与图右侧的两个电感相连。在这种情况下,电感的铜芯绕线也可为D类放大器提供额外的散热通道。虽然对整体热性能的改善不到10%,但这样的改善却会给系统带来两种截然不同的结果—系统具备较理想的散热或出现较严重的发热。

图3 D类放大器右侧较宽的布线有助于导热
辅助散热
当D类放大器在较高的环境温度下工作时,增加外部散热片可以改善PCB的热性能。该散热片的热阻必须尽可能小,以使散热性能最佳。采用底部的裸露焊盘后,PCB底部往往是热阻最低的散热通道。IC的顶部并不是器件的主要散热通道,因此在此安装散热片不划算。
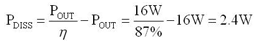
热计算
D类放大器的管芯温度可以通过一些基本计算进行估计。本例中根据下列条件计算其温度:
· TAM= +40℃
· POUT= 16W
· η = 87%
· θJA= 21℃/W
首先,计算D类放大器的功耗:
(1)
然后,通过功耗计算管芯温度TC,公式如下:
TC=TA+PDISS×θJA= 40℃+2.4W×21℃/W=90.4℃ (2)
根据这些数据,可以推断出该器件工作时具有较为理想的性能。因为系统很少能正好工作在25℃的理想环境温度下,因此应该根据系统的实际使用环境温度进行合理的估算。
负载阻抗
D 类放大器MOSFET输出级的导通电阻会影响它的效率和峰值电流能力。降低负载的峰值电流可减少MOSFET的I2R损耗,进而提高效率。要降低峰值电流,应在保证输出功率, D类放大器的电压摆幅以及电源电压的限制的条件下,选择最大阻抗的扬声器,如图4所示。本例中,假设D类放大器的输出电流为2A,电源电压范围为 5~24V。电源电压大于等于8V时,4Ω的负载电流将达到2A,相应的最大连续输出功率为8W。如果8W的输出功率能满足要求,则可以考虑使用一个 12Ω扬声器和15V供电电压,此时的峰值电流限制在1.25A,对应的最大连续输出功率为9.4W。此外,12Ω负载的工作效率要比4Ω负载的高出 10%~15%。实际效率的提高根据不同D类放大器而异。虽然大多数扬声器的阻抗都采用4Ω或8Ω,但也可采用其他阻抗的扬声器实现更高效的散热。

图4 选择最佳的阻抗和电源电压使输出功率最大
[page]
另外还需要注意音频带宽内负载阻抗的变化。扬声器是一个复杂的机电系统,具有多种谐振元件。换言之,8Ω的扬声器只在很窄的频带内才呈现出8Ω阻抗。在大部分音频带宽内,阻抗都会大于其标称值,如图5示。在大部分音频带宽内,该扬声器的阻抗都会远大于其8Ω的标称值。然而,高频扬声器和分频网络的存在将降低阻抗值。因此必须考虑系统的总阻抗以确保足够的电流驱动能力和散热性能。

图5 8Ω阻抗、13cm口径扬声器的阻抗随频率改变而急剧变化
结论
D类放大器的效率相比AB类放大器有很大提高,虽然这一效率优势降低了系统设计时对散热性能设计的要求,但仍然不能完全忽视系统散热性能。如果能够遵循良好的设计原则并且设定合理的设计目标,使用D类放大器可使音频系统设计更简单。




