【导读】电阻式传感器与相应的测量电路组成的测力、测压、称重、测位移、加速度、扭矩等测量仪表是冶金、电力、交通、石化、商业、生物医学和国防等部门进行自动称重、过程检测和实现生产过程自动化不可缺少的工具之一。
电阻式传感器
电阻式传感器是利用一定的方式将被测量的变化转化为敏感元件电阻参数的变化,再通过电路转变成电压或电流信号的输出,从而实现非电量的测量。
可用于各种机械量和热工量的检测,如用来测量力、压力、位移、应变、速度、加速度、温度和湿度等。它结构简单,性能稳定,成本低廉,在许多行业得到了广泛应用。
由于构成电阻的材料及种类很多,引起电阻变化的物理原因也很多,这就构成了各种各样的电阻式传感元件以及由这些元件构成的电阻式传感器。

电阻式传感器的优缺点
1、电阻式传感器的优点
1)有较大的非线性、输出信号较弱,但可采取一定的补偿措施。因此它广泛应用于自动测试和控制技术中。
2)电阻应变式传感器中的电阻应变片具有金属的应变效应,即在外力作用下产生机械形变,从而使电阻值随之发生相应的变化。
2、电阻式传感器的缺点
1)对于大应变有较大的非线性、但输出信号较弱。
2)随着时间和环境的变化,构成传感器的材料和器件性能会发生变化。因此不适用于长期监测,因为时漂、温漂较大,长时间测的话可能就无法取得真实有效的数据。
3)易受到电场、磁场、振动、辐射、气压、声压、气流等的影响。
电阻应变式传感器
电阻应变式传感器是根据电阻应变效应的原理制成的,将测量物体的变形转换成电阻的变化。主要用于机械量的检测中,如力、压力等物理量的检测中,其应用最为广泛的形式是电阻应变片。
电阻应变效应:导体或半导体材料在外力作用下会产生机械形变,其电阻值也发生相应改变,这种现象称为电阻应变效应。
金属电阻应变片的工作原理就是电阻应变效应。

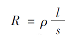
金属导体的电阻值可表示为:

1、电阻应变片的结构
电阻应变片又称为电阻应变计,它的结构形式较多,但其主要组成部分基本相同,是由基底、敏感栅和覆盖层等组成。

1)敏感栅——实现应变到电阻转换的敏感元件。通常由直径为0.015~0.05mm的金属丝绕成栅状,或用金属箔腐蚀成栅状。
2)基底——为保持敏感栅固定的形状、尺寸和位置,通常用粘结剂将其固结在纸质或胶质的基底上?;妆匦牒鼙?,一般为0.02~0.04mm。
3)引线——起着敏感栅与测量电路之间的过渡连接和引导作用。通常取直径约0.1~0.15mm的低阻镀锡铜线,并用钎焊与敏感栅端连接。
4)盖层——用纸、胶作成覆盖在敏感栅上的?;げ?,起着防潮、防蚀、防损等作用。
5)粘结剂——制造应变计时,用它分别把盖层和敏感栅固结于基底,使用应变计时,用它把应变计基底粘贴在试件表面的被测部位,它也起着传递应变的作用。
2、电阻应变片的要求:
1)应变灵敏度系数大,且线性范围宽;
2)电阻率值大,即在同样长度、同样横截面积的电阻丝中具有较大的电阻值;
3)电阻稳定性能好,温度系数小,其阻值随环境温度变化较?。?/div>
4)易于焊接,对引线材料的接触电势??;
5)抗氧化能力高、耐腐蚀、耐疲劳,机械强度高,具有优良的机械加工性能。
常用金属电阻丝材料的性能:

3、电阻应变片的分类
按照电阻应变片的制造方法、工作温度以及用途,可以对电阻应变片进行不同的分类。
根据应变片的制作材料,可以把应变片分为金属电阻应变片和半导体应变片两大类。
金属电阻应变片
金属丝式应变片由基体材料、金属应变丝或应变箔、绝缘保护片和引出线等部分组成。
金属丝式应变片有回线式和短接式二种?;叵呤阶钗S茫谱骷虻?,性能稳定,成本低,易粘贴,但横向效应较大。丝式金属电阻应变片的敏感栅由直径0.01~0.05mm的电阻丝平行排列而成。应变片的阻值为几十欧至几十千欧左右。

金属箔式电阻应变片
它的敏感栅是通过光刻、腐蚀等工艺制成。将合金先轧成厚度为0.002mm~0.01mm的箔材,经过热处理后在一面图刷一层0.03~0.05mm厚的树脂胶,再经聚合固化形成基底。在另一面经照相制版、光刻、腐蚀等工艺制成敏感栅,焊上引线,并涂上与基底相同的树脂胶作为覆盖片。

箔式应变计的主要特点:
①工艺上,它能保证敏感栅尺寸准确,线条均匀。大批量生产时,电阻值一致性好,离散程度小。
②箔式应变计的敏感栅的横截面积为矩形,表面积和截面积之比大,散热性能好,允许通过的电流较大,灵敏度系数较高。
③箔式应变计比丝式应变计厚度薄,其厚度一般为0.003~0.01mm,由于它的厚度薄,具有较好的可绕性,因此可以根据需要制成任意形状的敏感栅(即应变花)和微型小基长(如基长为0.1mm),有利于传递变形。
④由于箔式应变计的特殊工艺,适合批量生产,且生产效率高。
金属薄膜应变片
薄膜,一般指厚度不超过0.1μm的膜。金属薄膜应变片是采用真空蒸镀、沉积或溅射式阴极扩散等方法按规定图形制成的掩膜版,在很薄的绝缘基底材料上制成一层金属电阻材料薄膜以形成敏感栅,再加上保护层而制成。
金属薄膜应变片可以采用一些高温材料制成可在高温条件下工作的电阻应变片。例如,采用铂或铬等材料沉积在蓝宝石薄片上或覆有陶瓷绝缘层的钼条上,工作温度范围在600℃~800℃。
若按照工作温度进行分类,可将电阻应变计分为低温(-30℃以下)、常温(-30℃~60℃)、中温(60℃~300℃)和高温(300℃以上)几种应变计。

4、电阻应变式传感器的测量电路
电阻应变式传感器的测量电路按照工作电源分为直流电源测量电路和交流电源测量电路两种。
1)直流电桥电路
直流电桥电路是由连接成环形的四个桥臂组成的,每个桥臂上是一个电阻,分别为R1、R2、R3及R4,他们可全部或部分是应变片。

2)交流电桥电路
由于应变电桥输出电压很小,一般都要加放大器,而直流放大器易于产生零漂,因此应变电桥多采用交流电桥。

3)电桥的调平衡
在应变片工作之前必须对电桥进行平衡调节。对于直流电桥可采用串联或并联电位器法。常用的电桥调平衡电路如图所示。

(a)为串联电阻调平衡法 (b)为并联电阻调平衡法
对于交流电桥一般采用阻容调平衡法,如图所示。

(c)为差动电容调平衡法 (d)为阻容调平衡法
5、电阻应变式传感器的粘贴
应变片是用粘结剂粘贴到被测件上的,粘结剂形成的胶层必须准确迅速地将被测件应变传递到敏感栅上。选择粘结剂时必须考虑应变片材料和被测件材料性能,不仅要求粘接力强,粘结后机械性能可靠,而且粘合层要有足够大的剪切弹性模量,良好的电绝缘性,蠕变和滞后小,耐湿,耐油,耐老化,动态应力测量时耐疲劳等。
应变片的粘贴步骤一般可分为:
(1)应变片的检查与选择
(2)试件的表面处理
(3)底层处理
(4)贴片
(5)固化
(6)粘贴质量检查
(7)引线焊接与组桥连线
应变片的选用:
(1)选择类型—使用目的、要求、对象、环境
(2)材料考虑—使用温度、时间、最大应变量及精度。
(3)阻值选择—根据测量电路和仪器选定标称电阻
(4)尺寸考虑—试件表面、应力分布、粘贴面积
(5)其他考虑—特殊用途、恶劣环境、高精度
6、电阻应变式传感器的应用
电阻应变片的应用有两个方面:一是作为敏感元件,可直接用于被测试件的应变测量;另一方面作为转换元件,通过弹性元件构成传感器,可用于对任何能转换成弹性元件应变的其他物理量的间接测量。
应变片式传感器的特点:
①应用和测量范围广;
②分辨率和灵敏度高、精度较高;
③结构轻小,对试件影响小,环境适应性强,频率响应好;
④商品化,选用方便,便于实现远距离、自动化测量。
1)测力传感器:

2)压力传感器:

3)应变式位移传感器:
应变式位移传感器是把被测位移量转变成弹性元件的变形和应变,然后通过应变计和应变电桥,输出正比于被测位移的电量。

4)应变式加速度传感器:
通过质量块与弹性元件的作用,还可将被测加速度转换成弹性应变,从而构成应变式加速度传感器。

压阻式传感器
有些固体材料在某一轴向受到外力作用时,除了产生变形外,其电阻率ρ也要发生变化,这种由于应力的作用而使材料电阻率发生变化的现象称为压阻效应。半导体材料的压阻效应特别强。利用压阻效应制成的传感器称为压阻式传感器。
压阻式传感器的灵敏系数大,分辨率高,频率响应好,体积小。它主要用于测量压力、加速度和载荷等参数。
1、压阻式传感器的分类
压阻式传感器是利用半导体材料的压阻效应而制成的一种纯电阻性元件。它主要有三种类型:体型、薄膜型和扩散型。
1)体型压阻传感器
利用半导体材料电阻制成粘贴式的应变片(半导体应变片),用此应变片制成的传感器称为半导体应变式传感器,其工作原理是基于半导体材料的压阻效应。这是一种将半导体材料硅或锗晶体按一定方向切割成的片状小条,经腐蚀压焊粘贴在基片上而成的应变片,其结构如图。

2)薄膜型压阻传感器
薄膜型压阻传感器是利用真空沉积技术将半导体材料沉积在带有绝缘层的试件上而制成的,结构如图。

3)扩散型压阻传感器
扩散型压阻传感器是在半导体材料的基片上利用集成电路工艺制成扩散电阻。将P型杂质扩散到N型硅单晶基底上,形成一层极薄的P型导电层,再通过超声波和热压焊法接上引出线就形成了扩散型半导体应变片。

它是一种应用很广的半导体应变片。扩散型压阻传感器的基片是半导体单晶硅。
2、压阻式传感器的工作原理
1)工作原理
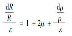
压阻式传感器是用半导体材料制成的,其工作原理是基于半导体材料的压阻效应,当半导体应变片受轴向力作用时,其电阻率 发生变化。其电阻相对变化为:

用应变片测量应变或应力时,在外力作用下,被测对象产生微小机械变形,应变片随着发生相同的变化,同时应变片电阻值也发生相应变化。半导体应变片与金属应变片相比,最突出的优点是它的体积小而灵敏度高。
2)温度误差及补偿
由于半导体材料对温度很敏感,压阻式传感器的电阻值及灵敏度系数随温度变化而发生变化,引起的温度误差分别为零漂和灵敏度温漂。压阻式传感器一般在半导体基片上扩散四个电阻,当四个扩散电阻的阻值相等或相差不大、电阻温度系数也相同时,其零漂和灵敏度温漂都会很小,但工艺上难以实现。由于温度误差较大,压阻式传感器一般都要进行温度补偿。
3、压阻式传感器的应用
利用半导体压阻效应,可设计成多种类型的压阻式传感器。压阻式传感器体积小,结构比较简单,灵敏度高,能测量十几微帕的微压,动态响应好,长期稳定性好,滞后和蠕变小,频率响应高,便于生产,成本低。因此,它在测量压力、压差、液位物位、加速度和流量等方面得到了普遍应用。
1)压力测量
硅压阻式压力传感器由外壳、硅膜片(硅杯)和引线等组成。

2)液位测量
它是根据液面高度与液压成比例的原理工作的。投入式液位传感器安装方便,可适应于深度为几米至几十米,且混有大量污物、杂质的水或其他液体的液位测量。

3)加速度测量
它的悬臂梁直接用单晶硅制成,在悬臂梁的根部扩散四个阻值相同的电阻,构成差动全桥。在悬臂梁的自由端装一质量块,当传感器受到加速度作用时,由于惯性,质量块使悬臂梁发生形变而产生应力,该应力使扩散电阻的阻值发生变化,由电桥的输出信号可获得加速度的大小。

随着集成化技术的发展,集成化、多功能化、智能化的各类混合集成和单片集成式传感器被广泛应用。集成化传感器有压阻式、电容式类型,其中压阻式集成化传感器发展快、应用广。
本文转载自传感器技术mp。
推荐阅读:



