【导读】本文这里将在传统压力传感器中使用一种新原理一介观压阻效应口,即在共振隧穿电压附近,通过4个物理过程,将一个微弱的力学信号转化为一个较强的电学信号。从理论上证明了介观压阻效应原理可以提高压力传感器的灵敏度,扩大其测量频率的范围。
介观压阻效应及GaAs,AlAs/InGaAsDBRT结构薄膜
介观压阻效应的定义为“等效电阻的应力调制”,等效电阻是对共振隧效应的一种具体描述。由4个物理过程组成:①在力学信号下,纳米结构中的应力分布将发生变化;②一定条件下应力变化可引起内建电场的产生;③内建电场将导致纳米带结构中量子能级发生变化;④量子能级变化会引起共振隧穿电流变化。简言之,在共振隧穿附近,通过上述过程,可将一个微弱的力学信号转化。为一个较强的电学信号,体现出较大的压阻系数。这里所用的介观压阻效应元件为GaAs/A1As/InGaAs DBRT结构薄膜纳米级窄带隙材料。随着外部压力引起的拉伸应变的变化(如图1所示),DBRT结构的共振隧穿电流和阻抗显著变化。并且,阻抗应变输出可由外部电压有效调节。其优点是灵敏度高、灵敏度可调、灵敏度随温度变化小。
图1:量子阱外加偏压前后示意图
传感器结构设计及力学分析
所设计的压阻式压力微传感器,其制法是将N型硅腐蚀成厚10~25μm的膜片,并在一面扩散了4个阻值相等的P型电阻。硅膜片周边用硅杯固定,则当膜片两面有压力差时,膜片即发生变形,从而导致电阻变化。用微电路检测出这种电阻变化,通过计算即可得出压力变化如图2所示。
图2:周边固支圆平膜片传感器示意图
计算时假设:小挠度理论;压力是均匀作用于平膜片表面。由平膜片的应力计算公式可知:
当r<0.635R时,σ>0;
同样,当r=0.812R时,σT=0,且σr<0,如图3所示。在圆形硅膜片上,沿[110]晶向,在0.635R半径内外各扩散2个电阻,并适当安排扩散的位置,使得σn=一σro,则有(△R/R)i=一(△R/R)
图3:周边固支圆平膜片表面应力示意图
这样即可组成差动全桥电路,测出压力P的变化。式中σri,σro分别为内、外电阻上所受径向力的平均值;(△R/R)i,(△R/R)分别为内、外电阻的相对变化。
根据膜的结构与应力计算公式,推出被测压力与应变片测出的应变关系:
式中:μ为硅材料的泊松比,μ=O.35;R,r,h分别为硅膜片的有效半径,计算半径,厚度;E为硅材料的模量,E=8.7Gpa;P为作用于平膜片上的压力;ω为平膜片的挠度;
经过分析,综合考虑设计的要求,初步设定:h=20μm,R=200μm。其固有频率可以按下式计算:
传感器的性能分析与计算
使用介观压阻效应原理代替压阻原理来检测压力,将圆膜片上的的压敏电阻换成GaAs/A1As/InGaAs DBRT结构薄膜。用传递矩阵法计算该薄膜在沿生长方向的应力变化下的输出响应,通过整个结构的隧穿电流密度可表示为:
![]()
式中:e为电子电荷的大小,m*为GoAs电子的有效质量,kB为玻尔兹曼常数,T为绝对温度,EF为费米能级,E1为入射电子垂直(纵向)能量。
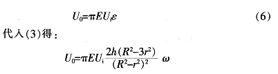
传感器的输出为:
设偏压为0.75 V设偏压为0.75 V,电桥的激励电压为2.5 V的情况下,该传感器的灵敏度S为:
![]()

图4:不同拉伸应变下偏压对隧道电流的影响
结语
该结构的压力微传感器由于敏感元件与变换元件一体化,尺寸小,其固有频率很高,可以测量频率范围很宽的脉动压力。在不同的偏压下,该传感器的灵敏度不同。说明灵敏度可调节。同样结构的微压力传感器,如果敏感元件是硅或铜镍合金压敏电阻,其灵敏度分别为0.38x104V/m和O.17×104V/m??杉捎霉舱袼泶┒茏鑫舾性奈⒀沽Υ衅髌淞槊舳冉现车拇衅鞯玫搅撕艽蟮奶岣?。






