- MEMS传感器的优化与动态试验
- 对现代液压技术的研究
- 对新型MEMS传感器的结构进行了优化
- 对MEMS芯体和流量传感器进行了静态标定
- 针对MEMS传感器进行了动态试验
前 言
现代液压技术研究热点由静态特性向动态特性转变,以往的经验证明,静态特性很完善的系统,运行后时常会发生振动、噪音等问题,这主要是由于系统动态特性研究不到造成的。出于种种目的,国内外对管道动特性进行了许多研究,非定常流动的油液,由于其外部表现和内在机理的复杂性,直到现在仍有不少问题未能彻底解决。目前,许多液压系统的设计和分析只能按照定常流动进行,但实际上,系统中出现非定常流动的几率并不亚于定常流动,所以研究并提高传感器的动态性能对实现液压系统动态测量具有重要意义。
1、MEMS传感器结构
作者所在的研究组在前期应用压力梯度法和压力互相关法测量液压系统流量进行了理论和实验研究,取得了一定进展,在此基础上,提出这种不需要引压,直接让 MEMS敏感芯体在管内获得与流量对应的差压信号的新方法。相比之下新方法在对系统较低扰动的前提下更易获得较高的信号水平,精度能满足一般液压系统,具有高的动态测量频宽。其机理是利用内置于管道中特殊设计的异径结构装置,如图1所示,对内外流体分别产生收缩和扩压双效作用,获得低压损、低能耗的微小压力差,通过置于上面的MEMS敏感芯体测取,并根据建立的压差-流量关系模型,及仿真手段和实验测试得出该状态下的流量值。

图1 MEMS传感装置结构图
2、MEMS传感器压差—流量模型
异径结构相当于一个喷嘴和一个锥形渐扩管的组合:在异径结构的内部,随着流道截面积的逐渐增加,流体受到扩压作用,因而压力得以提升;在异径结构的外部,随着流道截面积的逐渐减小,流体的运动受到收缩作用,压力减小。因此在经过异径管段后,内、外流道存在一个与流量大小相对应的低压损、低能耗的微小压力差,可以通过置于侧壁的MEMS力敏芯体测取。

图2 管道内的流场图
如图2所示,流体在异径管内外被分为流道1和流道2,在这里,r0为管路半径,a、b分别为内流道入口和出口处半径,忽略异径管厚度,因此a、b也是外流道的进出口处内径,假设从截面A-A*到截面B-B*流线不发生增加或者减少,即任何A-A*面上一微元ds都可以沿着流线找到在B-B*面上的映射 ds*,则在流道1内任一流线上有:
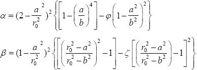
根据纳维尔—斯托克斯(N-S)方程可以推导出流量与压差关系模型为:

其中:φ为无量纲系数,它与扩散角θ有关;当θ角较小且过渡圆滑时,ζ为0.005-0.05。
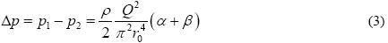
通过上式可以通过压差来计算流量,为了平衡扩张和压缩作用以及尽量减少能量损失,当θ=7°,φ=0.13,ζ=0.02,且流量Q为 61.1L/min,即在该管径下流速为1m/s时,对异径管尺寸进行优化为:a=0.4r0,b=0.8r0,a=2.9264,b=3.1109,α+β=6.0373,α/β=0.9407
将上述优化解代入液压实例中,管径r0=18mm,油液密度ρ=870kg/m3,则对应:

图3 内部流场压力分布情况
3、MEMS传感器的静态标定
3.1 MEMS芯体标定
在进行实验研究时,选取了一种压阻式MEMS微型压差敏感芯体,在组装传感器之前,采用了FLUKE 718 10G型压力校准仪(Pressure Calibrator)对芯体进行标定。FLUKE 718 10G型压力校准仪通过其自带的一个主气泵和一个微调气泵可以输出稳定的-12~30psi(-83~207KPa)气压,精度达到±0.05%满量程。实验所用的MEMS芯体额定工作压力量程为6KPa(安全工作压力十倍于满量程),在10.00+/-0.01V激励电压下,用FLUKE压力校准仪标定结果如下:

图4 MEMS芯体的标定
由图可以看出,在额定工作压力量程范围内,芯体所受的压差与输出信号呈良好的线性关系,传感器输出信号随压力上升和下降过程中线性重合度非常好。多次标定结果显示传感器有良好的重复性,这为以后实验数据的可靠性提供了有力保障,同时也说明所选压阻式MEMS微型压差敏感芯体的性能满足实验要求。
[page]
3.2 MEMS传感器的标定
新型MEMS传感器的标定是通过涡轮流量计来实现的。采用串联在系统中的CLG15耐高压涡轮流量计(名义精度为0.5%)和SO64C-1型流量测试仪进行标定。
打开电源,开启液压实验台,在实验中对MEMS传感器进行在线标定。待系统稳定运转后,调节变频器频率,先以5Hz增长幅度从25Hz调整到80Hz,再以5Hz降低幅度从80Hz调整到25Hz,同步记录下流量测试仪SO64C-1测量到的流量和采集系统采集到的电压信号。

图5 新型MEMS传感器流量——输出电压特性图

图6 新型MEMS传感器流量——输出电压趋势线
由图中的趋势线公式:y=0.6331x+0.0078 (5)
式中:x为涡轮流量计流量;y为MEMS传感器输出电压。
可知,MEMS传感器输出电压信号与液压系统中流量呈线性关系,图中R2表示该函数与散点图的拟合程度,R2越接近1,则拟合程度越高。此时可以确定 MEMS传感器标度转换系数为:a=0.6331;b=0.0078。这也为今后进一步开发新型MEMS传感器的可视流量表头提供了理论依据。
[page]
4、MEMS传感器的动态试验
在动态试验中,保持液压泵提供20L/min的工作流量,使用Wavebook512信号系统对MEMS传感器输出流量信号进行采集,如图7所示。尽管受到系统内阀口、管路等造成的干扰,而且由于柱塞泵各柱塞在制造、安装以及使用中产生的误差和磨损造成的不均匀现象,导致流量波动曲线有些变形,但是还是可以很清晰的看出流量的波动周期约为60ms,即频率16.7Hz。由于电动机工作在50Hz频率,额定转速1000r/min,因此相应的轴向柱塞泵运转频率也是1000/60=16.7Hz,这正与上面的测量结果吻合。

图7 MEMS传感器的瞬态流量信号
当变频器频率调至80Hz时,电机转速为1596r/min,柱塞的转动频率为186.2Hz,脉动总周期为37.6ms。调整新型MEMS传感器高通滤波截止频率为180Hz,低通滤波器截止频率为200Hz,组合成为一个带通滤波器,观察新型MEMS传感器时域图,如图8。从图中可以看到在 37.6ms中包含了7个脉动,而用于试验动力源的轴向柱塞泵恰为7个柱塞,这说明新型MEMS传感器能够响应200Hz的频率。

图8 电机工作在80Hz时新型MEMS传感器带通滤波时域图
通过上述试验可以说明,尽管没有标准高频流量仪表来标定,不能很准确地读出动态流量测量的精度,但是此时流量信号平均值与标定后静态流量值是一致的,说明结果是正确的,并且从整个试验过程来看,新型流量传感器所能检测到的流量脉动的最高频率已经超过200Hz,具有较高的频响,这是孔板、涡轮、椭圆齿轮流量计远远不能达到的。
5、结 论
(1)对新型MEMS流量传感器的结构和理论压差—流量模型进行了介绍,从理论模型可知,对于某一半径的管路,当液压油密度为定值时,流量与压力差之间的对应关系取决与a和b的值,也就是异径结构的尺寸参数,而与系统的静压力无关。α为流道1内的扩压作用,β为流道2内的压缩作用,因此该式可以用来计算管内的流量。
(2)对新型MEMS传感器的结构进行了优化,通过仿真发现,异径管内部进口处有明显的压力突变,导致了异径管内部压力反而比外部压力小,这是由于理论分析时忽视了异径管进口处压损造成的。但是在异径管后续直管段内外压力稳定,形成一定压力差,这与理论分析是一致的。
(3)对MEMS芯体和流量传感器进行了静态标定,线性度良好。所选压阻式MEMS微型压差敏感芯体的性能满足实验要求。确定了MEMS传感器标度转换系数,为今后进一步开发新型MEMS传感器的可视流量表头提供了理论依据。
(4)针对MEMS传感器进行了动态试验,发现新型MEMS传感器具有低扰动、高频率响应等特点,适合用于液压系统的动态测量。



