- 微波元件基体材料与衰减的关系
- 波导内表面粗糙度和衰减量的关系
- 波导管安装误差与电性能的关系
- 选用导电性能好的原材料
- 采用热处理方法,这样能获得较好的电磁波传输性能
近几年来由于星载天线、大功率雷达的工作频率越来越高,频带越来越宽,发射功率越来越大,使馈线系统的结构形式变得越来越复杂,现有的设计观念、生产能力已制约了产品性能的提高。
对大功率容量的雷达而言,由于其功率大,馈线系统中重要微波元件的尺寸误差、表面粗糙度、安装精度对整个系统的功率容量影响也非常大。若成型的微波元件出现质量问题,设计者很难通过电调得以补救。因此,了解各种误差对系统电性能的影响,在设计中能预防误差的产生,在加工中能通过合理的工艺方法消除各种制造误差,这对保证微波元件的电性能和提高系统的功率容量尤为重要。
波的传输特性
在任何情况下,波在传输过程中均有损耗及反射。主要原因在于传输途中有各种各样的障碍物,如波导的不规则变形、波导材料的突变、各个波导元件之间口径尺寸不一致、接头处波导口不同轴、多次的连接等。反射波不但不能保证电磁波的传输,而且驻波波腹处会在大功率工作中导致系统的电击穿。因此元器件尺寸越精确,法兰电接触越好,损耗和反射波就越少。在设计和制造中应该尽可能避免波导的不规则变形,保证尺寸的精确度,同时还要有相应的加工工艺和检验技术,确保高频导电层的良好导电性、平坦性及连接处的准确性,以满足电气设计要求。
微波元件基体材料与衰减的关系
即使是理想光滑的波导,其基体材料的导电率也不大。如果给理想光滑的波导内腔电镀纯银或纯铜,可以提高高频导电层的导电率,从而使波导衰减降低。表1是金属和合金在20℃,f=10GHz时的衰减量(波导口径为23mm×10mm)。

从表1的数据可看出,导电性能良好的铝、铜、银等材料在传输电磁波时损耗较小。同种材料退火去除应力有利于恢复金属导电结构,使其导电率增加,波导衰减减少。在实际工作中,为了取得良好的经济效益,应尽量采用热处理方法,这样能获得较好的电磁波传输性能。
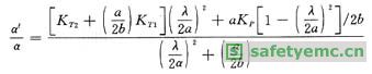
波导内表面粗糙度和衰减量的关系
波导表面粗糙时的衰减量与理想光滑时的衰减量α的比值为:

式中KT1,KT2,Kp分别为波导a,b边的表面粗糙因子。
由Benson和AILison对各种不同工艺加工的口径为25.4mm×12.7mm铜波导管,测出KT1,KT2,Kp之后,据上式算出的α′/α之值见表2[1]。[page]

对表2数据的分析可知:
(1)精密拉制成型的波导管性能较好。
(2)电抛光比化学抛光效果好,能获得较优越的电气性能。
(3)光亮镀铜的效果最佳。
波导表面粗糙度越低,加工难度越大,制造成本也越高。为了降低成本、提高经济效益,在不同频段,控制波导管表面粗糙度的要求是不同的。频率越高,波长越小,粗糙度值要求也越低。表3为实际工作中总结出的铜、黄铜、镀银波导在不同频率时的粗糙度要求,可作为设计时的依据。

波导管安装误差与电性能的关系
在由许多波导元件组成的系统中,除在波导中插入不均匀性元件会引起波的反射外,两元件连接处产生的不连续性也会引起波的反射,以至降低传输效率。
微波元件在安装过程中容易出现的问题有以下几种[2]:
(1)波导口径不一致,如图1(a)所示。
(2)波导口径一致,但中心不同轴,如图1(b)所示。
(3)波导口径一致,但中心线不平行,存在夹角θ,如图1(c)所示。
以23mm×10mm的波导为例,在f=10GHz时不同类型的安装误差所引起的驻波比见表4-表7。




对表4~表7的数据分析可知,波导口径误差所致的驻波系数比波导口径一致而因连接错位所引起的驻波系数要大;偏角对H面驻波系数的影响比对E面驻波系数的影响更显著。因此微波元件在加工过程中要尽量保证口径一致、端面法兰与元件轴心线尽量垂直,使夹角θ≤0.2°,在安装过程中通过使用定位销或其他的工艺方法尽量使口径同轴,这样才能有效地减小元件的驻波,从而降低电磁波在元件中传输时的损耗。
通过对微波元件材料特性、表面质量、加工和安装精度对电性能的影响的对比分析,找出了可用于指导生产的数值依据和方法,在实际工作中能够有的放矢,对避免一些不必要的失误、减少重复劳动有不可忽视的作用。




