【导读】在便携式仪器中,只能使用电池为系统供电。通常电池电压比较低,系统中经常需要使用小功率开关电源电路对低电压进行电压变换,满足系统中不同功能??榈男枨蟆H欢?,使用开关电源必将引入纹波噪声,如何降低该纹波噪声成为系统设计的一个重要问题??氐缭吹奈撇ㄒ种破魍ǔJ褂肅 型、LC型、CLC 型无源滤波器。π 型三阶低通CLC 滤波器由于其结构简单,体积小,性能高等优点得到了广泛的应用。
根据开关电源的公式,输出纹波和输出电容值成反比,电感内电流波动大小和电感值成反比。理论上使用标称值大的电容、电感可以得到较好的纹波抑制效果。实际应用中,CLC 电路中不同类型的电解电容及不同标称值的电容、电感对电源纹波的抑制效果究竟有什么样的影响尚无相关文章指出。因此,有必要对CLC 滤波电路进行实际测试研究。
本文采用MAX606 设计了12 V 的小功率开关电源,使用CLC 滤波器对电源输出纹波进行抑制。通过使用不同类型电解电容及不同标称值的电容、电感,研究了CLC 滤波器的特性,得到了降低小功率开关电源纹波的简单方法。
1.电路设计
MAX606 是一款小型CMOS 升压式DC/DC 转换器,其输入范围3.0~5.5 V,输出固定5 V/12 V 或可调输出范围Vin~12.5 V,精度为±4%。MAX606 的开关频率高达1 MHz,在5 V输出时可提供高达180 mA 的电流,广泛应用于PCMCIA 卡、存储卡、数码相机和手持式仪器中。
设计电路如图1 所示,测试时输入端使用3.6 V 的锂电池进行供电,使用π 型CLC 低通滤波电路对MAX606 输出端进行纹波滤波。

图1 虚线框内为CLC 滤波电路,通过更改Cin、Cout、L1 的相关参数,研究其对输出纹波的抑制特性。
2.π 型CLC 滤波特性分析
考虑到电源输出阻抗,将图1 虚线框中所示CLC 电路的等效电路用图2 表示,为了便于分析加入了负载RL,RS 为电源输出阻抗。

图2 中Ui 为开关电源的输出端,Uo 为输出到负载两端的电压。
2.1 CLC 滤波电路理论分析
电源信号输入C1 两端之后,负载RL上的直流电压为:

式(1)表明加入电感L 将使UL 变小,影响电源的负载调整率。若要使输出电压稳定,应选用等效串联电阻小的电感器件,电感器的等效串联电阻由其绕制导线的直流电阻决定。
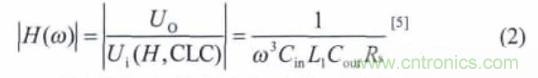
对于开关电源输出而言,其交流信号即为电源纹波信号根据CLC 滤波电路传递函数:

从式(2)可以看出,随频率增大,纹波衰减越大;Cin、Cout 越大,纹波衰减越大,因此,π 型CLC 滤波器对电源纹波有一定的抑制作用。但是,式(2)是在L、C 均为理想情况下得出的,并未考虑实际电感电容的材料及它们的寄生参数。
2.2实际测试分析
测试数据由泰克示波器TDS2022B (200 MHz、2 GS/s)、交流数字毫伏表KH-DD 型(10 Hz~2 MHz)测量所得,负载使用ZX21 型直流多值电阻器。
2.2.1 无滤波电路时电源输出纹波波形
图3 所示为空载时MAX606 输出电压纹波波形(Uo≈12 V),即开关纹波,其频率为1.18 kHz,波形稳定,Vpp=240 mV。图4 所示为负载120 Ω 时输出电压的纹波波形,从图4 中可以看出加入负载后电源纹波变得比较复杂,其最高Vpp达到1.2 V。为系统供电时,该纹波将会对系统造成严重危害,必须对此纹波进行抑制。
2.2.2 π 型CLC 滤波电路中不同类型电解电容下纹波随负载的变化
在图1 的CLC 滤波电路中,Cin、Cout 分别使用三种常见类型的电解电容(容值为220 μF/16 V),电感使用环形电感(电感值120 μH),依次改变负载大小,使用交流毫伏表测量其纹波电压有效值,得到如图5 所示的曲线图。



从图5 曲线可以看出,随负载阻值逐渐增大,电源纹波有效值先急剧增大,后逐渐减小,在160 Ω 时三种类型电解电容输出纹波均很低,满足一般系统的电源纹波要求。从图5 还可以看出整体水平上,普通直插式铝电解电容纹波抑制能力最差,贴片钽电解次之,贴片铝电解滤波效果最佳。当负载阻值小于500 Ω 时,贴片铝电解滤波效果最佳。当负载阻值大于500 Ω 时,钽电解的滤波效果是最佳的。
图6 所示为负载是300 Ω 时不同类型电解电容下所测量到的纹波波形,可以明显看出使用贴片铝电解纹波最小,使用普通铝电解纹波较大且纹波具有毛刺,使用贴片钽电解纹波有所减小且毛刺也有很大程度的改善。

图7 所示为负载120 Ω 时不同类型电解电容下所测量得到的纹波波形。对比图4 可以看出,经过π 型CLC 滤波后,纹波已被抑制到很小范围。从图7 可以看出,此时钽电解电容的纹波抑制能力最好,纹波波形中毛刺幅度也变小。

综上所述,考虑到实际工作时,一般电路所需电流均为数十毫安,在整体水平上推荐滤波电路使用贴片铝电解电容。当负载很重(负载值?。┦?,则推荐使用钽电解电容器。
2.2.3 不同电感值下纹波随负载的变化
电容固定(贴片钽电解220 μF/16 V),改变图1 中CLC 滤波电路的电感值大小,测量不同负载时纹波的有效值,得到如图8 所示的曲线图,其中电感使用的是弓形电感。

从图8 中可以看出,随电感值增大,电源纹波减小,对于mH 级电感消除纹波效果非常明显。采用1 mH 电感时,纹波电压有效值仅3 mV,采用4.7 mH 时,纹波电压有效值可降低至1.8 mV。
图9 所示为负载为300 Ω 时不同电感值下纹波波形图,从图9 中可以看出,随电感值增大,纹波被抑制程度越大,输出纹波越小。当电感值增大到1 mH 时,纹波效果最好,且输出基本上没有毛刺。

2.2.4 不同电容值下负载对纹波的影响
图10 所示为在不同电容值(贴片钽电解)下,改变电感和负载并测量负载上的电源纹波有效值所得出的曲线图。
从图10 中可以看出,随电感、负载的变化纹波抑制趋势大体相同,可以看出电容的增大对纹波的抑制较小,且纹波有效值并不随电容值的增大而得到抑制,电感值的增大对电源纹波的抑制起决定性的作用。但是,选择电容值时宜选取100 μF 以上的电容,才可以得到较好的纹波抑制效果。



总结
π 型CLC 滤波电路在小功率开关电源中能够起到较好的纹波抑制效果,通过改变电解电容的类型,调整电容值和电感值的大小,能够显著提高抑制纹波性能。对CLC 滤波电路进行的特性分析能够为设计高质量小功率开关电源提供参考。





