【导读】本文主要讲述的是boost中,在连续模式下确电感PFC的基本参数,同时简要分析并确定快速掌握在Boost电路中,电感PFC基本参数。下面本文都会一一进行赘述。
在Boost电路中,电感PFC最常见的工作状态就是连续模式,然后通过电流跟踪输入电压的控制模式进行电路功率控制。
想要进行其他参数的计算,首先我们需要确定输出电压的数值。通常在实际的工作运行中,输入电网电压一般都有一定的变化范围,也就是Uin±Δ%,为了输入电流很好地跟踪输入电压,Boost级的输出电压应当高于输入最高电压的峰值,但因为功率耐压由输出电压决定,输出电压一般是输入最高峰值电压的1.05—1.1倍。例如,输入电压220V,50Hz交流电,变化范围是额定值的20%(也就是数值Δ=20),最高峰值电压是373.35V。输出电压可以选择390至410V左右的数值。
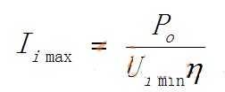
在确定了输入电压的参数后,接下来我们需要通过计算来决定最大输入电流的具体数值。在Boost功率电路中,电感PFC应当在最大电流时避免饱和。最大交流输入电流发生在输入电压最低、同时输出功率最大时,此时可通过该公式进行计算,即:

在得出输入电流和输出电压值之后,工程师就可以比较轻松的确定Boost电感的工作频率了。PFC电感的工作频率在工作中是由功率器件,效率和功率等级等因素决定,例如输出功率1.5kW,功率管为MOSFET,开关频率70—100kHz。
结语
在Boost电路的连续模式下,电感PFC的基本参数需要严格的依据公式进行推导。在确定了输出电压和输入电流数值后,才可以进一步的展开其他参数的计算。以上就是本文对电感数值计算的简要介绍,希望能够帮助工程师们更好的开展设计工作。
相关阅读:
提升PFC性能的共源共栅结构的关键:减小米勒效应
LED照明应用:对比分析临界导通模式与断续模式PFC设计
开关电源的电感该如何选择?




