【导读】在电源不崩溃的情况下,充电器以最大限度获得电量,增大充电电流,在最短时间内完成充电是工程师想要实现的目标。本文设计的是一个充电电路,在不受电池与电源见得电阻影响下,从适配器获得最大电源的方案。
一、开关稳压器的最大占空比
在现实中没有一款高侧 NMOS 降压转换器能够实现 100% 的占空比。在 HSFET/LSFET 开启/关闭过程中,为了避免短路总会有停滞时间。如果占空比超过最大值,开关调稳压器会跳过某些 LSFET 开-启脉冲,维持平均输出电流/电压。
二、开关模式充电器的一般工作方式

图1:基于降压转换器的充电器的电路模型
其中显示了所有不理想的电阻,如电感器的直流电阻 (RIND)。
三、存在电阻的开关式充电器模型
充电器 IC 的输入电源电压来自典型的 USB 端口或壁插式适配器,然后施加在 VBUS 或 IN 引脚上。就本文而言,在该引脚上施加的电压为 VBUS。该模型用于为给定的电池调节阀值确定最低电源电压。
四、锂离子充电器的工作方式介绍
如图 2 所示,充电器根据电池电压在三个主要运行阶段工作:

图2:充电器充电曲线图
低电池电压表明电池深度放电。因此电池必须先以小电流充电,直至电池电压达到阀值 VPRECHG。这个阶段称为预充电阶段。一旦电池电压增大到某个阀值 (VPRECHG),就可以用前面介绍的最大电流充电。该电流通过调节环路保持,称之为稳流/恒流阶段。当电池电压增大到设定的稳定电压且充电电流已经下降,电池即处于满充状态。在充电电流不断下降的同时,充电器工作在稳压/恒压阶段。锂离子(Li-Ion) 电池的典型稳压为 4.2V。要以最快速度完成充电,充电器必须能够提供已为其设定的最大电流,直至 VBAT = 4.2V。
要确定允许的输入电压最小值 (VBUS_MIN),设计人员必须考虑下列因素:
(1)VBUS 和 VBAT 之间的工作电压预留空间支持目标充电电流范围。
(2) 开关稳压器的最大占空比。
MOSFET 和电感器内部的电阻会在电流经过时形成压降。如果 VBUS 和 VBAT 之间的压差过小,就无法达到目标充电电流。例如,如果 VBUS 为 4.3V,VBAT 为4.2V,从 BUS 输入到电池的总电阻为 150mΩ,那么到电池的最大电流是 660mA。
五、基于输入电压的动态电源管理 (VIN-DPM)
如果需要使用多个适配器和/或线缆和/或连接器,可能难以在设计中考虑所有的线路电阻方案。具备VIN-DPM 功能的充电器不论输入线路电阻的大小如何-,均能防止输入电压陡降。
1、什么是 VIN-DPM?
VIN-DPM 是许多 TI 充电器采用的模拟环路。该环路的目的是在不损坏适配器的情况下最在限度地从电源获取可用电流,即限制输入电流(进而得到的充电电流)以维持电源电压在 VIN-DPM 水平。这项特性可在USB 端口属于输入电源之一时采用。
在无 VIN-DPM 功能下运行的情况

图3:充电器在没有得到 VIN-DPM 功能?;な钡脑诵星榭?/span>
随着系统负载电流和电池充电电流增大,输入电流也随之增大。因此电源内阻上的压差增大。充电器输入引脚上的电压低于电源提供的额定输出电压。此外电源(电压源)在能提供的电流大小上受额定值的约束。当负载电流大到维持充电电流和负载电流之和的输入电流超过电源的电流供应能力时,输入电压-就会下降,原因是输入电容器因所需的高电流放电。当输入电压降至欠压阀值时,充电器就会关闭。在关闭这段时间内,输入电压会随着输入电容器充电而恢复。一旦输入电压达到 UVLO,充电会再度开始。充电器开启后会重复这个过程,导致充电电流中出现不理想的开关脉冲。
[page]
2、如何计算 VBUS_MIN 阀值
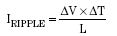
VBUS_MIN 阀值是支持目标最大充电电流及保持占空比低于降压转换器最大占空比所需的最低 BUS 引脚电压。图4显示了工作在连续导通模式 (CCM) 的降压转换器的电感器电流和开关节点电压。VBUS 可借助电感器的纹波电流计算,按如下方式推导得到。

图4:降压转换器的电感器电流和开关节点电压
CCM状态下电感器电流与运行占
(1)在电感器的电流上升沿:

(2)在电感器的电流下降沿:
(3)由于纹波电流相同,则可得到 VBUS 公式。
在 L=2.2μH 时,96% 占空比下纹波电流小于 300mA 。(该电流为平均电流。)在最大占空比为 96% 时,(1-D)/D 与等式中第二项相比仅为 4.2%。因此第三项可忽略,VBUS_MIN 阀值是最大占空比下的 VBUS 电压。如果 VBUS 电压低于计算所得的 VBUS_MIN 阀值,电池就无法满充。
3、最低 USB 电源电压
本节将介绍由于输入线路电阻的存在,在使用 USB 适配器时充电器的输入电压可能会降低至允许值以下。USB 规范规定在全负载情况下,来自低功率端口的供电电压经过所有集线器和线缆输出到器件时可能会低至 4.1V。假定图 1 中的输入电源是 USB 端口,VUSB 为 5V 、串联电阻为 0。RIN 为线缆、连接器和 PCB 线迹的合计电阻。充电器模型为理想的降压转换器,可达到100% 占空比。充电器的输入电压 (VBUS) 必须高于电池充电稳压阀值VBATREG(通常为 4.2V)。假定 VUSB 的最小值为 4.75V。
假定从 USB 电源到 BUS 引脚的电阻 (R IN) 为400mΩ,表 1 所示为 USB2.0 端口和 USB 1.5A 适配器分别达到的最低 VBUS 电压。

表 1:USB 电源对比
在最大占空比下,VBUS 接近 VBAT,故有 IUSB 略等于ICHG。将等式 5 展开可以确定给定充电电流的最低输入电源电压。

可根据等式 7 来判断需要多低的线缆和连接器电阻(例如选择更高质量的线缆和连接器)或需要多宽/多厚的PCB线迹,才能避免充电器 BUS 引脚处出现过大压降,从而最大化适配器用于为电池充电的功率。
4、VIN-DPM 的优势
具备 VIN-DPM 特性的充电器能通过限制输入电流防止充电电流中出现不理想的开关脉冲。具体而言,当输入电压下降并降至 VIN-DPM 阀值时,VIN-DPM 功能就会激活,将输入电流降至更低的水平。这样可以防止输入电压陡降至欠压点。
适配器通常能够提供 100mA 到数安培的电流,而最新的 USB 端口能够提供高达 1.5A 乃至更大的电流。在使用具备 VIN-DPM 功能的充电器时,便携式设备制造商能针对有特定输出功率限制(电流限制等)的适配器和USB 端口优化充电器。VIN-DPM 允许使用其它较低成本的适配器、USB 端口和/或线缆。例如,如果智能电话的充电器具备 VIN-DPM 功能,就可以在不造成端口电压陡降的情况下,使用低成本高阻USB 充电线缆从 1.5A USB 端口获得最大充电功率。图 5 显示了电源的两种不同输入电阻给 IC 造成的影响。评估电路可以是bq24192 、bq24250、bq24260 或 bq24295 等电池充电器,配置为 1.5A 输入电流限值、2.0A 充电电流和4.76V VIN-DPM 阀值。

图5:电源的两种不同输入电阻给IC
结语:电源与电池之间的电阻是充电器获得最大电源的阻碍,电阻的存在易造成充电器欠压闭锁,电源电压骤降。VIN-DPM 特性能够避免电源电压骤降,同时能够降低输入电流的限值。
相关阅读:
基于USB兼容单节锂离子电池充电器电路设计
细数电池充电器的”非主流“电路
革命先锋:实现最小尺寸和最佳功率的移动充电器
相关阅读:
基于USB兼容单节锂离子电池充电器电路设计
细数电池充电器的”非主流“电路
革命先锋:实现最小尺寸和最佳功率的移动充电器



