中心议题:
- 可视化智能充电机系统的总体设计方案
解决方案:
- 上位机界面设计及数据库的建立
- 智能充电机本体设计
针对电动车、电动汽车电池寿命偏低,本文设计了一种可视化智能充电机,它是结合了单片机智能控制技术,VB可视化技术及数据库技术的一种全新产物。它可以使电池寿命达到最大化。
1 概述
随着全球绿色能源计划的推进,电动车、电动汽车有了迅猛发展,这种发展势头有持续高升的趋势。在美国加州,电动车辆占有80%的市场份额,而且这种比例仍将进一步扩大。如此大的销售量就使得它的价格、寿命非常敏感。而占整机价格20%的铅酸蓄电池的寿命无疑是我们关注的焦点。业界广为流传的一句话就是:电池不是用坏的,是充坏的。原因是随着电池的使用,电池的特性发生了变化,而充电器的充电方式不能跟随电池特性而变化,导致电池逐渐被充坏。目前市场上的充电装置不能有效控制充电过程,容易造成电池欠充、过充甚至被损坏的恶果。电池充满时,电池会发热,这时若没有热?;さ缏吩蚧嵩斐晒涞?,还会因为高温而造成电池外壳变形。针对此问题笔者设计了一种新型充电器。它分两部分:智能充电机本体和上位机界面。它可以提供多种充电模式,并可设置充电的一些参数,并可以实时地进行数据采集并存入数据库,然后分析结果,确定蓄电池的性能状况、使用状况和电解液浓度,以便及时对蓄电池进行维护。电动车、电动汽车的电池一般有多个单体电池组成,在上位机上可以设置单体的个数、容量,还可以对某一已编号的电池组的历史充电曲线进行查询,所以此系统通用性较强。也就是说此系统可以对不同型号的各类电池进行充电维护。智能充电器是可以脱离上位机独立工作的,它有一套默认的设置,当没有收到上位机的命令时它会按照默认设置工作,此时只能对某一种电池组充电。
2 可视化智能充电机系统的总体设计方案
充电器一般放在车库里,而上位机软件则需要装在居室中的PC机上,为实现系统两部分间的数据传输,我们权衡价格和实用性选取长线传输: RS - 485通信。它的通信距离可达1. 2 Km,而且价格相对低廉。系统的充电机本体部分我们选用价格低廉的holtek单片机作为主控制芯片,上位机软件则用VB进行开发,数据库通过VB提供的数据库管理工具建立。
3 智能充电机本体设计
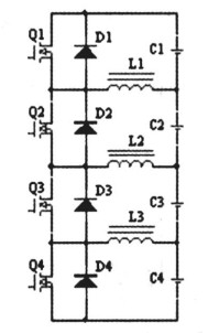
充电机本体实际上是一个实时监测和控制系统,结构框图如图1所示,它按照接收到的上位机命令完成对蓄电池充电过程的监控,并实时地将检测到的充电参数返回给上位机,这些参数包括蓄电池端电压、充电电流和电池温度等。图2的主充电路实现充电电流、电压的控制,是充电机的关键环节。图3的均衡电路解决由于电池制造工艺的不同等原因引起的电量不均衡; 485接口电路实现充电机本体与上位机的通信;电流、电压、温度检测电路实时地检测充电的电流、电压和电池温度。

图1 充电机结构框图

图2 主充电路
[page]

图3 均衡电路
在主充电路中, 220 V电压经变压器降压后,由整流器整流和大电容C1 平滑滤波,作为直流充电电源。MOSFET、二极管D1、电感L1 和电容C2 构成主充电路。在工作过程中, PWM控制信号的高电平脉冲出现,使MOSFET导通之后,电感L1 的电流不断增大,电容C2 充电,主充变换器不断存储能量,同时通过电感L2 对电池充电,此时,续流二极管因反向偏置而截止。经过PWM高电平脉冲持续时间后, PWM信号变低,MOSFET截止,电感L1 中的电流减小, L1 两端的感应电动势使续流二极管导通, L1 中的存储电流和电容C2 存储电荷向电池充电。经过PWM信号的低电平持续时间后, PWM信号的又一高电平脉冲到来,再度使MOSFET导通,上述过程循环交替。电感L2 的作用是平滑充电电流.
在均衡电路中,以4节电池为例,当对第二节电池均衡时,开启MOS管Q2,蓄电池C2通过Q2给电感L1、L2充电,然后关断MOS管Q2,则电感L1中的电流通过二极管D1回馈给蓄电池C1,电感L2中的电流通过二极管D3和D4回馈给蓄电池C3和C4,以达到各个单体均衡的效果。
4 上位机界面设计及数据库的建立
长期的用户调研和质量服务告诉我们,上位机界面开发的总体任务是:方便用户设置和修正充电参数,解决由于铅酸蓄电池的使用及维护保养不到位造成的蓄电池早期报废问题。为了使用户在使用过程中及时发现蓄电池存在的问题,从而及时采取相应的补救措施,为此我们使用VB开发出了上位机软件,它具有可视化、简单易学、操作简便的特点,并具备从充电参数设置、绘制充电曲线、存储充电曲线、充电过程分析、充电记录的查询、删除、打印到充电报警等全套充电分析功能,系统结构框图如图4.

图4 上位机界面框图
在参数设置中可以对框图中所示的条目进行设置,使得该系统具有很强的通用性。电动车电池一般由几个单体组合而成,可以选择单体个数以确定电池组的电压和容量。该系统提供了如框图所示的三种充电模式,一般新电池前五次充电要进行初充电以充分激活电解质,当单体电量不同时要均衡充电,其余时正常充电。还可以按照需求设置不同充电阶段的充电时间,来满足各种电池的不同需求;实时充电曲线实时地显示充电电流、电压和电池温度;历史充电曲线可以显示该电池组充电历史;通过分析充电过程曲线即可了解电池存在的问题,如:蓄电池缺乏电解液、电解液比重不符合要求或蓄电池单体存在差异等,从而及时的对电池进行保养;该系统还提供了按日期或电池编号查询、删除充电记录的数据库功能,方便了操作;报警提示用来告知用户充电的过压、过流、过热情况以及充电是否结束。
[page]
4. 1 上位机界面的设计
按照图4所示的功能框图设计的VB界面如图5.

图5 系统主界面
4. 1. 1 充电曲线的绘制
首先绘制坐标系,包括定位坐标原点、绘制X轴(充电时间值) 、Y轴(充电电流、充电电压、充电温度值) 、标注轴上的刻度线以及打印与刻度线对应的刻度值;然后要绘制曲线,由于传到上位机上的数据是具有相等时间间隔的一些点,而我们要绘制曲线,所以我们用抛物线法进行曲线拟合。具体方法如下:
给定N个点P1 , P2 , ……, PN ,对相邻三点Pi , Pi + 1 , Pi + 2及Pi + 1 , Pi + 2 , Pi + 3 , i = 1……N - 2,反复用抛物线算法拟合,然后对相邻抛物线在公共区间Pi + 1到Pi + 2范围内,用权函数t与1 - t进行调配,使其混合为一条曲线,可表示为:

其中, Si 为Pi , Pi + 1 , Pi + 2三点决定的抛物线曲线, Si + 1为Pi + 1 , Pi + 2 , Pi + 3三点决定的抛物线曲线,混合后的曲线S在Pi + 1到Pi + 2公共段内,是Si 的后半段与Si + 1的前半段加权混合的结果。S 曲线在公共段内的参数方程可写为:

其中t2 ∈[ 0, 0. 5 ], t1 = t2 + 0. 5∈[ 0. 5, 1 ]。
式中a1x , b1x , c1x , a1y , b1y , c1y为Si 段曲线的系数,由Pi , Pi + 1 , Pi + 2三点控制,参变量为t1 ,在公共段范围内t1∈[0. 5, 1 ];式中a2x , b2x , c2x , a2y , b2y , c2y为Si + 1段曲线的系数,由Pi + 1 , Pi + 2 , Pi + 3三点控制,参变量为t2 ,在公共段范围内t2 ∈[0, 0. 5 ]。
显然,当t1 = 0. 5, t2 = 0时, S = Si;当t1 = 1, t2 = 0. 5时, S = Si + 1。
用这种方法拟合的自由曲线,在P2 到PN - 1各已知点的左、右侧能达到一阶导数连续,而当曲线两端没有一定的端点条件限制时,则曲线各有一段曲线不是加权混合的形式,而只是S1 的前半段和SN - 2的后半段?;嬷频牡缌鞒涞缜呷缤?所示:

图6 电流充电曲线
[page]
4. 2 数据库的设计
本系统设计了三个数据库,用于标准充电曲线存储、实际充电曲线存储及分析结果存储。使用VB6. 0提供的数据库管理工具"可视化数据管理器"建立。其中实际充电曲线数据表如表1所示,数据库的建立方便了对电池的查询、分析,同时也方便了管理。

表1 实际充电曲线数据表
5 结束语
本文率先在行业内提出将数据库技术、可视化技术及PC机等应用于智能充电机中,从而简化了充电操作,方便了参数的设置和调整(友好的操作界面) ,扩大了充电机的适用范围,降低了用户的使用成本,提升了整个系统的技术先进性。更关键的是为用户对蓄电池关键部件的科学管理提供了一个良好的平台,为有效提高蓄电池使用寿命提供了保障。


