- 基于双空间矢量调制方法分析矩阵变换器
- 学习双空间矢量调制策略
- 实现矩阵变换器的空间矢量调制方法
传统的AC/DC/AC变换器体积和重量庞大(存在直流环节),谐波电流的存在对其他的设备有严重的影响。矩阵变换器的提出解决了这些问题,相比较传统的变换器,矩阵变换器有以下优点:
1)没有电感器或电容器这样体积庞大的储能元件,结构紧凑,体积大大减??;
2)通过滤波器,开关频率谐波能够减少到符合要求,就可以得到正弦输入电流;
3)可控的输入功率因素,可达到1,更高的可靠性;
4)双向开关的使用,使变换器的四象限换流非常容易,能量可双向流动;
5)对复杂的环境条件具有很高的适应度,能在高、低压环境中使用,也可以用在高温环境中,诸如太空和水下(因为电解电容的使用受到限制),非常适合用在潮汐发电站中。
基于上述诸多的优点,使矩阵变换器越来越多地被关注,然而,至今它还不是一个成熟的技术。焦点主要集中在它的拓扑结构,控制方法,换流技术。通常使用的控制方法是空间矢量调制法,而在现有的资料中很少有非常详尽的描述。本文将对矩阵变换器应用双空间矢量调制法进行详尽的分析。
1 双空间矢量调制策略
矩阵变换器应用双空间矢量调制法(SVM)时可以等效为一个虚拟的整流器和一个虚拟的逆变器,它们的6个有效的空间矢量分别如图1所示,对输入电流和输出电压分别进行嵌套。从而有36种可能的扇区组合。

以虚拟整流器、逆变器均工作在第一扇区为例,相量合成的固定空间电流、电压相量分别是I6、I1和U6、U1,两个空间相量的综合调制采用相互嵌套的办法来实现。整个输入相电流和输出相电压相量合成共有I6-U6、I6-U1、I1-U6、I1-U1、I0-U0 5种组合。每一相量组合的作用时间用占空比duty来表示。等式(1~5)反映了占空比的计算公式。占空比可以通过表1来分配给相应的开关组合。

[page]


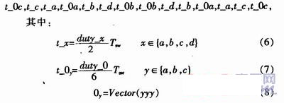
空间矢量调制法只确定开关间隔中应用电压矢量的占空比,从而获得低频率的输出电压和输入电流的平均值,但是并没有确定使用的顺序。所以需要使用双空间矢量调制法,同时也可改善波形的质量。图2表明了输入电流在4扇区,输出电压在5扇区应用双空间矢量调制的顺序。电压矢量在开关间隔中对称分布,零矢量每4个开关间隔使用一次。在每次开关转换中只有一个开关状态发生改变以最大程度地降低损耗。在图2中通过表格2确定相应开关时间:


2 仿真研究
尽管现有的DSP技术和FPGA技术处理速度很快,很有效,但矩阵变换器的控制仍非常复杂,在仿真中,若按传统方法使用定义好的Simulink???,会非常繁琐,因为必须正确的设置大量的参数,而又没有合适的调试工具。通过Matlab/Simulink里的功能强大的S函数,S函数完美地结合了Simulink框图简洁明快的特点和Matlab编程灵活方便的优点,可充分利用Matlab提供的丰富资源,调用各种工具箱函数,实现??樗薹ㄊ迪值母丛庸δ?,从而使问题大大简化。编程中既可以使用C语言,也可以使用Matlab语言来实现空间矢量调制法。使用后者会更简单些,以下是部分程序:

3 Matlab-Simulink的仿真结果
设定的输出频率为100 Hz,电压调制比为0.75,仿真算法为ode15s,仿真时间为0.4s,滤波参数为L=100mH,C=70μF,负载为星形连接感性RL负载,采用输入功率因素为1的控制策略,输入相电压和相电流基本同相位,仿真结果表明矩阵变换器的输出电压是一个正弦性很好的PWM波形,谐波分量比较小,输出线电流的正弦性较好,验证了控制策略的正确性,以下为各仿真波形。

4 结论
该文介绍了一种有效快速的方法来实现矩阵变换器的空间矢量调制方法。仿真结果证明:可减少仿真??榈氖浚醵塘四D夥抡媸奔?,调试容易,给矩阵变换器的实际设计奠定了坚实的理论基础。




