- XTR115电流环电路原理及应用
- XTR115两线制电流环典型应用
- 利用XTR115两线制电流环进行信号传输
在各种数据采集与监控中通常用一个仪表放大器来完成信号的调理,但是工业现场进行长线传输时,往往会产生以下问题:1)由于传输的信号是电压信号,传输线会受到噪声的干扰;2)传输线的分布电阻会产生电压降;3)现场无法提供仪表放大器的工作电压。
为了解决上述问题并避开相关噪声的影响,通常用电流来传输信号,这是因为电流对噪声并不敏感。4~20 mA的电流环便是用4 mA表示零信号,用20 mA表示信号的满刻度,而将低于4 mA和高于20 mA的信号用作各种故障的报警。
电流环电路,根据转换原理的不同可划分成以下两种类型:一种是电压/电流转换器,亦称电流环发生器,它能将输入电压转换成4~20 mA的电流信号(典型产品有1B21,1B22,AD693,AD694,XTR115和XTR116);另一种属于电流/电压转换器,也叫电流环接收器(典型产品为RCV420),上述产品可满足不同用户的需要。
电流环电路,根据器件位置的不同又可划分成以下两种类型:两线制和三线制。当监控系统需要通过长线驱动现场的驱动器件(如阀门等)时,一般采用三线制变送器,这里,电流环器件位于监控的系统端,由系统直接向电流环器件供电,供电电源是二根电流传输线以外的第三根线。两线系统是电流环器件和传感器位于现场端,由于现场供电问题的存在,一般是接收端利用4~20 mA的电流环向远端的电流环器件供电,通过4~20 mA来反映信号的大小。
XTR系列是美国BB(BURR-BROWN)公司生产的精密电流变送器,该公司现已并入美国Texas Instruments公司。该系列产品包括XTR101,XTR10 5,XTR106,XTR110,XTR115和XTR116共6种型号。其特点是能完成电压/电流(或电流/电流)转换,适配各种传感器构成测试系统、工业过程控制系统、电子秤重仪等。其中,XTR115和XTR116能够满足工业测量标准的两线4~20 mA电流环电路,该电路设计巧妙、使用方便、超低静态电流,非常适合于变送器等典型工业测量应用之中。
本文针对两线的XTR115电流环电路的工作原理和典型应用展开详细讨论,可为4~20 mA电流环电路的使用提供有益参考。
1 XTR115的性能特点
XTR115具有如下性能特点:
1)XTR115属于二线制电流变送器,内部的2.5 V基准电压可作为传感器的激励源。XTR115可将传感器产生的40~200μA弱电流信号放大100倍,获得4~20 mA的标准输出。当环路电流接近32 mA时能自动限流。如果在3脚与5脚之间并联一只电阻,就可以改变限流值。
2)芯片中增加了+5 V精密稳压器,其输出电压精度为±0.05%,电压温度系数仅为20x10-6/℃,可给外部电路(例如前置放大器)单独供电,从而简化了外部电源的设计。
3)精度高,非线性误差小。转换精度可达±0.05%,非线性误差仅为±0.003%。
4)环路电源电压的允许范围宽为7.5~36 V。XTR115由环路电源供电。工作温度范围是-40~+85℃。
5)专门设计了功率管接口,适配外部NPN型功率晶体管,它与内部输出晶体管并联后可降低芯片的功耗。
2 XTR115的工作原理
XTR115和XTR116用SO-8小型化封装,其结构组成及原理图如图1所示,XTR115和XTR116内部电路主要由3部分组成。

[page]
第二部分是电源调整电路,它提供传感器部分的外围电路工作电源和参考电压。第三部分是由电阻Ra、Rb、Rlim和晶体三极管TO组成?;さ缏罚苑乐故涑龅缌鞴蠡蛏系绻讨械墓迓龀逅鸹敌酒?。为了叙述方便,摘出电流环电路部分如图2所示。

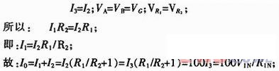
图2电路中,信号电压施加在VIN和VG之间,VG相当于传感器部分的参考点。根据运算放大器的基本原理,运算放大器的两个输入端电压基本相等,流入运算放大器输入端的电流基本为零??芍?

3 XTR115两线制电流环典型应用
利用XTR115构成两线制电流环时,其工作电源和信号共用一根导线,工作电源由接收端提供。该方案需要考虑的主要问题:一是确定所用接收器的数量,即当有多个接收器时,它将要求变送器拥有一个较低的工作电源电压。另外一种考虑是降低回路电流在接收端的压降。
通常情况下,利用两线制设计方案时,均需要考虑以下几点:
1)电路环中的接收器的数量,更多的接收器将要求变送器有较低的工作电压;
2)变送器所必需的工作电压要有一定的余量;
3)决定传感器的激励方法是电压还是电流。
[page]
图3是XTR115电路在温度传感器中的典型应用,温度传感器PT100和RE1、RE2、RE3组成测量桥路,恒流二极管2HD2为桥路提供2 mA的供电电流,运算放大器INA128组成差动放大电路,输出被偏置在Vo=2.5 V的工作点上。放大器的输出通过电阻RIN接到电流环变换电路XTR115。运算放大器INA128的静态电流为700μA;所以输出端还须加入1.3 mA的偏置电流,这个电流可以通过电流偏置电阻Rs获得,Rs=2.5V/(1.3 mA/100)=192.3kΩ。

当温度在0℃时,电桥平衡,放大器的输出电压为VP=VQ=2.5 V。电流环的输出电流IO=12 mA。当温度在100℃时,放大器的输出电压为VP=5 V。电流环的输出电流IO=20 mA。当温度在-100℃时,放大器的输出电压为VP=0 V。电流环的输出电流IO=4mA。
然而,运算放大器INA128的最高输出电压达不到5 V;最低输出电压也达不到0V。所以测温范围达不到+100℃。一个简洁的解决方案是降低运算放大器INA128的增益,使运算放大器在100℃时的输出电压达到它的最大值Vomax=4 V。G=(4 V-2.5 V)/17.56 mV=85倍。RG=50 k/(G-1)=595 Ω。这时,当温度在100℃时,放大器的输出电压为VP=4V。电流环的输出电流IO=16.8 mA。当温度在-100℃时,放大器的输出电压为VP=1 V。电流环的输出电流IO=7.2 mA。虽然这样又带来了电流环的输出范围利用不足的缺点,但它并不影响正常测量。
外接晶体三极管只要选用Vceo>36 V,Icmax>32 mA,Poutmax>1.2 W的NPN三极管即可。如:2SC1846、2SC2568、2SC2611、2SC2621、等均可。
4 总结
本文针对各种工业场合中抗恶劣电磁干扰环境的需求,给出了一种利用XTR115两线制电流环进行信号传输的电路设计方法。该方法减少了传输线的噪声干扰和传输线的分布电阻产生的电压降,提高了数据通讯接口的可靠性和准确度,具有抗干扰能力强,数据传输准确的特点,在工业测量中具有广阔的应用前景。



