中心议题:
- 三相IGBT全桥隔离驱动电源设计
解决方案:
- 单段反激式变换器设计
- 电压电流反馈回路参数设计
三相IGBT全桥6个IGBT共需要6路驱动,每路IGBT驱动电源的地与该IGBT的发射极E连在一起。而三相IGBT全桥处于下桥臂的3个IGBT是共射极连接的,所以三相IGBT全桥下桥臂的3个IGBT驱动电源是共地的,即三相IGBT全桥6路驱动仅需要4路相互隔离的电源。每路IGBT驱动一般需要正负电压的双电源供电,所以每路隔离电源必须能够提供正负电压输出。目前市场上已存在提供4路隔离输出的DC/DC电源,但每路均提供正负电压输出的4路隔离输出电源还不存在。
本文针对10 kW三相IGBT全桥变换器设计了一种隔离驱动电源,提供4路相互隔离的输出,每路输出均提供+15 V/-9 V电源。电源功率较小,考虑成本和效率,采用单端反激式结构。电源内部反馈网络采用电压和电流反馈双闭环串极结构,分别从电压输出端和电流采样电阻上得到电压电流反馈信号,经反馈网络输入到PWM控制器,PWM控制器根据反馈信号大小调节其输出开关脉冲的占空比,以此来保持输出电压的稳定。
1 三相IGBT全桥隔离驱动电源设计
三相IGBT全桥隔离驱动电源采用电流型PWM控制器LIC3845,输出4路相互隔离的+15 V/-9 V,如图1所示。其中,一路额定输出电流为0.2 A,用于三相全桥下桥臂共射极连接的3个IGBT的驱动供电,另外3路额定输出电流为0.1 A,分别用于上桥臂的3个IGBT的驱动供电。

1.1 电路工作原理
1.1.1 开关脉冲的产生
开关管导通时,变压器的初级电流逐渐增大,采样电阻风上的压降增加,通过RC滤波电路反馈到芯片UC3845的3脚,与电流取样比较器的另一端进行比较,当这个压降达到UC3845的1管脚建立的门限电平时,锁存器复位,开关管截止。UC3845作为电流模式控制器工作,输出开关的导通由UC3845内部振荡器开始,到变压器初级电流到达管脚1建立的门限电平时为止。
1.1.2 占空比的调节
变压器+15 V,-9 v/0.2 A一路输出电压通过TL431a和光耦PC817反馈到UC3845的1脚,UC3845的2脚接地,UC3845内部误差比较放大器的输入误差总是固定的,将PC817的光电晶体管视为可变电阻,1脚的反馈信号改变的是误差比较放大器的增益,其等效电路如图2所示。
[page]
当+15 V、-9V/0.2 A一路输出电压过高时,TL431参考端电压升高,阴极电压降低,光耦PC817二极管的电流增大,晶体管电流也相应增大,UC3845的1脚电压降低,流过开关管的峰值电流减小,占空比减小,使得输出电压降低。当输出电压偏低时与上述情况正好相反。
1.1.3 +15 V/-9 V电压的产生
图1所示的隔离电源的变压器次级4路实际输出+24 V的电压,为得到+15 V/-9 V的电压,采用15 V稳压二极管和电阻串联的形式。也可以采用变压器次级引出中间抽头的方式,但这种方式占用变压器管脚太多,变压器骨架管脚数目会不足。
1.2 反激式变压器设计
单端反激式变压器可工作在电流连续模式(CCM)或断续模式(DCM),但在CCM模式下变压器磁芯易饱和发热,通常设计为DCM下工作。
确定已知参数:直流输入电压的最大值Uinmax和最小值Uinmax;输出电压Uo、功率Po;开关频率f、工作效率η、开关导通压降UDS。在反激变压器中,次级反激电压VOR与输入电压之和不能高于开关管的耐压USmax,


1.3 电压电流反馈回路参数设计
TL431a是美国德州仪器(TI)生产的2.5~36 V可调式精密并联稳压器。它的参考端输入电流值为2μA,为了避免此端电流影响分压比和避免噪声的影响,通常取流过电阻Rlow的电流为参考输入端电流的100倍以上,所以得Rlow的取值范围:
。在该范围内给Rlow取值。根据Rup,Rlow,Uo,Uref的关系,得到
。
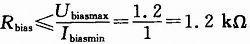
TL431a的阴极电压Uka在2.5 V~36 V变化时,阴极电流Ika范围是1~150 mA,当PC817的正向电流If为0时,必须保证Ika至少为1 mA,所以Ibias至少为1 mA,此时PC817的正向压降Uf即Ubias小于1.2 V,所以Rbias的范围:
。[page]
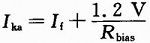
UC3845的1脚正常电压为0.8 V~6.2 V,由PC817的技术资料得:当PC817二极管正向电流If为3 mA左右时,晶体管集射电流Ic在4 mA左右变化,集射电压Uce在很宽的范围内线性变化,符合UC3845的控制要求,所以取PC817二极管正向电流If为3 mA,取TL431a阴极电流Ika为不大于150 mA的确定值(例如20 mA)。由此根据
,可得Rbias的值;又由TL431a阴极工作电位为2.5~36 V得到Rf的取值范围:![]()
2 实验结果
对设计的电路进行实验,得出了实验数据和波形。表1为隔离电源在空载和带载(+15 V,-9 V/0.2 A一路输出带载240 Ω,另外3路输出各带载120 Ω)下的4路输出电压值及相应的负载调整率。

图3为+15 V,-9 V/0.2 A一路输出带载时的电压波形。图3为+15 V,-9 V/0.2 A一路带载输出电压:深色CH1为+15 V输出,浅色CH2为-9 V输出。

3 结语
本文设计制作了基于电流型PWM控制器UC3845的三相IGBT全桥隔离驱动电源,采用单端反激式结构,结构简单,成本较低。实验表明,该隔离驱动电源的输出电压稳定,负载调整率高,具有很高的应用价值,同时填补了当前市场没有三相IGBT全桥隔离驱动电源的空白。





