中心议题:
- MOSFET驱动电阻的选择
等效驱动电路:

L为PCB走线电感,根据他人经验其值为直走线1nH/mm,考虑其他走线因素,取L=Length+10(nH),其中Length单位取mm。
Rg为栅极驱动电阻,设驱动信号为12V峰值的方波。
Cgs为MOSFET栅源极电容,不同的管子及不同的驱动电压时会不一样,这儿取1nF。
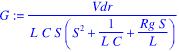
VL+VRg+VCgs=12V
令驱动电流
得到关于Cgs上的驱动电压微分方程:

用拉普拉斯变换得到变换函数:
这是个3阶系统,当其极点为3个不同实根时是个过阻尼震荡,有两个相同实根时是临界阻尼震荡,当有虚根时是欠阻尼震荡,此时会在MOSFET栅极产生上下震荡的波形,这是我们不希望看到的,因此栅极电阻Rg阻值的选择要使其工作在临界阻尼和过阻尼状态,考虑到参数误差实际上都是工作在过阻尼状态。
根据以上得到
,因此根据走线长度可以得到Rg最小取值范围。
分别考虑20m长m和70mm长的走线: L20=30nH,L70=80nH, 则Rg20=8.94Ω,Rg70=17.89Ω,
以下分别是电压电流波形:

[page]

可以看到当Rg比较小时驱动电压上冲会比较高,震荡比较多,L越大越明显,此时会对MOSFET及其他器件性能产生影响。但是阻值过大时驱动波形上升比较慢,当MOSFET有较大电流通过时会有不利影响。

此外也要看到,当L比较小时,此时驱动电流的峰值比较大,而一般IC的驱动电流输出能力都是有一定限制的,当实际驱动电流达到IC输出的最大值时,此时IC输出相当于一个恒流源,对Cgs线性充电,驱动电压波形的上升率会变慢。电流曲线就可能如左图所示(此时由于电流不变,电感不起作用)。这样可能会对IC的可靠性产生影响,电压波形上升段可能会产生一个小的台阶或毛刺。

一般IC的PWM OUT输出如左图所示,内部集成了限流电阻Rsource和Rsink,通常Rsource>Rsink,具体数值大小同IC的峰值驱动输出能力有关,可以近似认为R=Vcc/Ipeak。一般IC的驱动输出能力在0.5A左右,因此Rsource在20Ω左右。
由前面的电压电流曲线可以看到一般的应用中IC的驱动可以直接驱动MOSFET,但是考虑到通常驱动走线不是直线,感量可能会更大,并且为了防止外部干扰,还是要使用Rg驱动电阻进行抑制??悸堑阶呦叻植嫉缛莸挠跋?,这个电阻要尽量靠近MOSFET的栅极。
关于Rg、L对于上升时间的影响:(Cgs=1nF,VCgs=0.9*Vdrive)

可以看到L对上升时间的影响比较小,主要还是Rg影响比较大。上升时间可以用2*Rg*Cgs来近似估算,通常上升时间小于导通时间的二十分之一时,MOSFET开关导通时的损耗不致于会太大造成发热问题,因此当MOSFET的最小导通时间确定后Rg最大值也就确定了
,一般Rg在取值范围内越小越好,但是考虑EMI的话可以适当取大。
以上讨论的是MOSFET ON状态时电阻的选择,在MOSFET OFF状态时为了保证栅极电荷快速泻放,此时阻值要尽量小,这也是Rsink<Rsource的原因。通常为了保证快速泻放,在Rg上可以并联一个二极管。当泻放电阻过小,由于走线电感的原因也会引起谐振(因此有些应用中也会在这个二极管上串一个小电阻),但是由于二极管的反向电流不导通,此时Rg又参与反向谐振回路,因此可以抑制反向谐振的尖峰。这个二极管通常使用高频小信号管1N4148。

实际使用中还要考虑MOSFET栅漏极还有个电容Cgd的影响,MOSFET ON时Rg还要对Cgd充电,会改变电压上升斜率,OFF时VCC会通过Cgd向Cgs充电,此时必须保证Cgs上的电荷快速放掉,否则会导致MOSFET的异常导通。





