- 立体视觉概述
- OpenGL实现立体显示
- 双中心投影算法
- 立体图像对的绘制
虚拟现实(VirtualReality)是一种新兴的、极有应用前景的计算机综合性技术。采用以计算机技术为核心的现代高科技生成逼真的视觉、听觉、触觉一体化的特定范围的虚拟环境。立体显示是虚拟现实的关键技术之一,它使人在虚拟世界里具有更强的沉浸感,立体显示的引入可以使各种模拟器的仿真更加逼真。研究立体成像技术并利用现有的微机平台,结合相应的软硬件系统在平面显示器上显示立体视景。
立体视觉概述
据研究,人的大脑能从以下4个方面获得深度(距离)线索:静态图像中的深度线索、由运动造成的深度线索、生理上的深度线索以及双目视差线索,这里仅研究双目视差线索。当用双眼看同一景物时,由于左、右眼在空间所处位置不同,两只眼晴的视角会有所不同,看到的图像也不一样,会有视差,如图1a所示。具有视差的双眼图像经大脑融合,可产生含有立体深度信息的立体图像。一般将双目所见的一对具有视差的二维图像称为立体图像对。若模仿产生这一对平面图像,并采取技术措施,使左眼只能看见右边的图像,而右眼只能看见左边的图像,则人类的视觉系统就会融合该二维空间中一对稍有差别的图像,从而生成具有立体感受的图像。根据投影面、人眼以及观察对象之间的相对位置,可有正视差(图1b)、负视差(图1c)和零视差(图1d)之分。
[page]双中心投影算法
由以上研究可知,立体图像对的产生是由于左、右眼观察到的物体透视结果不同。因此在立体显示的视景仿真中设置两只虚拟的眼睛,一个获取左眼的图像,另一个获取右眼的图像,分别将左右眼的图像传送给相应的眼睛。因此。在立体显示中,需要采用包含两个视点的透视投影方法一双中心投影算法。图2为双中心投影。

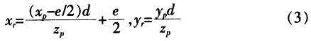
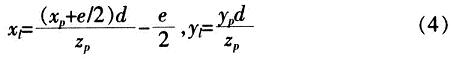
左视点Leye和右视点Reye均位于X轴上,两视点间的距离为e,两视点连线中心为坐标原点,则左视点的坐标为(-e/2,0,0),右视点的坐标为(+e/2,0,0)。投影平面平行于XY平面,到左右视点的距离均为d。三维空间中一点P(xp,yp,zp)在左视点投影中的坐标为(xl,yl,zl),在右视点投影中的坐标为(xr,yr,zr),则zl=zr=d。点P(xp,yp,zp)和Reye投影线的参数方程为:

在投影平面上z=d,可得

将式(2)带入式(1)得点P在投影平面的坐标(xr,yr):

同理,点P和Leye的投影线在投影平面上的投影点坐标是:

可得水平视差:

由此可见,当zp>d时,0<E<e,此时为正视差;当zp<d时,E<0,此时为负视差;而当zp=d时,E=0,此时为零视差。采用双中心投影算法,设置双视点就可获取三维空间中物体的左右眼图像,从而生成立体图像对。
[page]
OpenGL实现立体显示
开放性图形库OpenGL(OpenGraphicLibrary)是一个三维计算机图形和模型库。它独立于操作系统和硬件环境,适用于从个人计算机到工作站的广泛计算机环境。
OpenGL在三维真实感图形制作中具有优秀的性能,用该图形库不仅能方便地制作出高质量的静止彩色图像,还能创造出高质量的动画效果。借助Windows编程环境还可控制模型的人机交互。由于其开放性和高度的可重用性,目前已成为业界标准。
1立体图像对的绘制
按上述投影算法计算出立体图像对后,应用OpenGL绘制立体图像对,分别用红、绿两种颜色绘制右眼和左眼的图像。以一个变长为10cm,中心点在原点的正方体为例,设两视点间距离e为5cm,投影面距高观察者d为40cm,考察正方体的一个顶点(5,5,5),由上述投影算法可得:xr=32cm,xl=48cm,yl=yr=4040cm,zr=zl=d=40cm对8个顶点分别计算后,连接相应的立体透视投影点,即可得该立方体的立体图像对。用数组vertex[8][3]存储顶点,数组translatevertexr[8][3]存储右眼投影计算后坐标,数组translatevertexl[8][3]存储左眼投影计算后的坐标,对相应的点进行投影计算:

使用OpenGL的透视投影变换,需设置前后裁剪面到观察者的距离及前裁剪面的宽度和高度等。前裁剪面的宽度用该宽度与高度的比值表示,取显示窗口的宽度和高度之比。
[page]
doubleNear.Far;//前后裁剪面距观察者的距离
intratio=width/height;//显示屏的宽和高之比
ViewHeight2=Near*tan(radians);//计算视野的高度
ViewWidth2=ViewHeight2*ratio;//计算视野的宽度
计算右眼的视野范围;
left=-ViewWidth2-0.5*e*0.3;
right=ViewWidth2-0.5*e*0.3;
投影并绘制模型:
glFrustum(left,right,bottom,top,Near,Far);
glDrawBuffer(GL_BACK_RIGHT);//使用右后缓存
gluLookAt(0+e/2。0,5。0+d/2,0,-5,0,1,0);
//确定右眼位置
glColor3f(1.0,0.0,0.0);//用红色绘制
draw();//计算立体图像对并绘制
同理绘制左眼的图像,如图3所示。

2双缓存区的使用
OpenGL提供双缓存技术,支持两个完整颜色缓存的硬件或软件?;嬷埔桓龌捍媸?,显示另一个缓存中的内容。每绘制好一帧便交换缓存;这样刚才被显示的缓存被用来绘制,而用来绘制的缓存被显示。这样,当显示器刷新时,缓存区进行交换,画面就不会闪烁。
OpenGL也支持立体观察,实现左颜色缓存和右颜色缓存,它们分别用于左立体图像和右立体图像??稍诔跏蓟?,分别使用参数PFD_DOUBLEBUFFER和PFD_STERE-O_DONTCARE支持立体显示和双缓存。使用双缓存时,通常只绘制后缓存,使用函数glDrawBuffer()还可指定将立体图像渲染到具体的某个缓存。
例如,绘制右眼图像时使用右后缓存区glDrawBuffer(GL_BACK_RIGHT),绘制左眼时使用左后缓冲区glDraw-Buffer(GL_BACK_LEFT)。
3立体图像的观察
使用简单的滤光镜就可观察有立体感的图像。其原理是:由于滤光片(实验中使用红、绿滤光片)吸收其他光线,只让相同颜色的光线通过,因此左、右眼各透过不同颜色的光。当使用滤光镜观察计算机屏幕上的立体图像对时,就会看到具有深度感受的图像。在实验中发现,刷新频率对图像立体效果的形成具有重要作用。刷新频率过低,由于人眼所维持的图像已消失,不能得到三维立体感受;刷新频率过高就会出现一只眼睛可看到两幅图像的现象。将显示的刷新频率设置合适,在程序中设置图像刷新频率设置为50Hz,利用红绿滤光镜观察模型的立体成像,得到较明显的立体视觉效果。
根据立体显示原理,采用双目视差算法对物体进行立体显示,利用OpenGL生成立体图像对,并借助红绿滤光眼镜观察,得到了较好的立体视觉效果。立体显示技术的引入增强了人在虚拟环境中的沉浸感,可广泛应用于建筑物和视景漫游、虚拟战争演练场和各种模拟训练等多种场合。




