【导读】本篇文章主要介绍了高压驱动IC当中自举电容和二极管的选择,并且给出了较为详细的讲解,给出了在选择自举电容时所需要注意的几项内容,希望大家在阅读过本篇文章之后能对自举电容和二极管的选择有进一步的了解。
二极管是一种在电路当中非常常见的器件,这种器件当中有两个电极,只允许在电路当中的电流进行单方面的通过,二极管在整流电路当中应用的比较多。自举电容与信号反馈有关,在将输出信号反馈回输入端时,如果相位是相同的话,属于正反馈,主要作用是增加输出,这就是自举电路。本篇文章将为大家介绍在高压驱动IC当中自举电容和二极管的选择。
Vbs(驱动电路Vb 和Vs 管脚之间的电压差)给集成电路高端驱动电路提供电源。该电源电压必须在10-20V之间,以确保驱动集成电路能够完全地驱动MOS栅极器件(MGT)。部分驱动集成电路有 Vbs欠压?;ぃ盫bs电压下降到一定值时,将关闭高端驱动输出,保证MGT不会在高功耗下工作。

Vbs电源是悬浮电源,附加在Vs电压上(Vs通常是一个高频的方波)。有许多方法可以产生Vbs悬浮电源,其中一种如本文中介绍的自举方式。这种方式的好处是简单、低廉,但也有局限性。占空比和开通时间受限于自举电容的再充电,自举电源由二极管和电容组成,如图1所示。
电路的工作原理如下,当Vs被拉到地时(通过下端器件或负载,视电路结构而定),15V Vcc电源通过自举二极管(Dbs) 给自举电容(Cbs)充电。因此给Vbs提供一个电源。
有五种以下因素影响对Vbs电源的要求:
MGT栅极电荷要求、Iqbs高端驱动电路静态电流、驱动IC中电平转换电路的电流、MGT栅极源漏电流、自举电容漏电流。
最后一个因素只有当自举电容是电解电容时才考虑,其它类型电容可以忽略,因此建议使用非电解类电容。
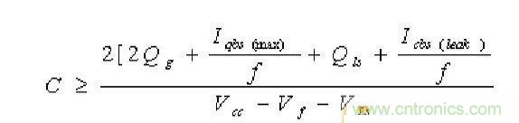
下列公式列出了自举电容应该提供的最小电荷要求:

Qg:高端器件栅极电荷
f:工作频率
Icbs(leak):自举电容漏电流
Qls:每个周期内,电平转换电路中的电荷要求,500V/600V IC 为5nc,1200V IC 为20nc。
[page]
自举电容必须能够提供这些电荷,并且保持其电压。否则Vbs将会有很大的电压纹波,并且可能会低于欠压值Vbsuv,使高端无输出并停止工作。因此Cbs电容的电荷应是最小值的二倍,最小电容值可以由下式计算:

其中, Vf:自举二极管正向压降。
VLS:低端器件压降或高端负载压降。
内部集成的是双向阻断高压MOSFET,不是二极管 。
这类IC在中小功率领域很好用,不适合高功率场合。
原则上,C/D可以这么选。注意二极管的反向恢复特性。尽量避免用硬恢复特性的二极管。在二极管上,最好能串些电阻。为何电容只用这么低耐压的电压?而二极管却要这么大呢?因为电容是接在VB-BS上的,最高工作电压是VCC,原则上,25V耐压就足够了。这和主回路电压无关。而二极管要承受所有电源电压。
选自举电容需要注意
由式(2)计算的Cbs电容值是最小的要求,由于自举电路的固有工作原理,低容值可能引起过充电,从而导致IC损坏。为了避免过充电和进一步减小Vbs纹波,由式(2)计算的容值应乘一个系数15。
Cbs电容只在高端器件关断,Vs被拉到地时才被充电。因此低端器件开通时间(或高端器件关断时间)应足够长,以保证被高端驱动电路吸收掉的电容Cbs 上的电荷被完全补充,因此对低端器件的开通时间(或高端器件的关断时间)有最小要求。
另外,由于高端器件电路的结构使负载成为充电回路一部分时,负载的阻抗将直接影响自举电容Cbs的充电。如果阻抗太高,电容将不能充分充电,这时就需要充电泵电路 。高频,尤其是功率布线是非常讲究的。高压驱动也不例外。

自举电容要尽可能靠近IC的管脚。如图2所示,至少有一个低ESR的电容提供就近耦合。例如:如果使用了铝电解电容做为自举电容,就应再用一个瓷电电容。如果自举电容是瓷电或钽电容,自己做为就地耦合也就足够了。现代的SMD电容器件 ,已经可以达到1206封装10UF级别。原则上可以只用一个贴片电容就足够了。




