【导读】延时电路中最简单的就属RC电路了。电子工程师刚刚接触延时电路,首先入门的就是RC电路。本文就由网友分享RC电路的设计,并简析RC延时电路。希望新手或者刚入门的工程师能学以致用。
图一是最简单的RC延时电路,目的是延时点亮LED。R1给C1充电,等电容电压到达三极管基极导通电压大概0.7V时,三极管开通,LED点亮,二极管D1是让C1可以快速放电的作用。
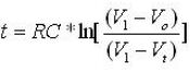
延时时间
,其中V1为电源电压,V0为电容初始时刻电压,Vt为t时刻电容电压。在这个电路里,V1=5V,V0=0V,Vt=0.7V。延时大概1.5S。电路虽然结构简单,但是要实现较大的延时就要选用大容量的电容,而且充电电阻R1不能太大,否则三极管不能处于开关状态。

图一

图二
再看图二,主要是多加了一个2.7V的稳压二极管D2,这时候情况就有所改观??梢钥吹?,令三极管开通的电容电压提高了2.7V,也就是说Vt=0.7+2.7=3.4V。代入公式算得延时t=5.7S。本人在Multisim11.0中仿真结果不相上下。图二中R3电阻是为了把稳压二极管的反向漏电流导走,防止充电过程中三极管微导通。

图三





