【导读】为了限制本讨论的范围,请考虑采用同步降压转换器拓扑的MOSFET选择方法,该方法适用于PC主板和电信应用的DC / DC转换器。为特定应用寻找合适的MOSFET涉及最小化损耗并了解这些损耗如何取决于开关频率,电流,占空比以及开关上升和下降时间。此信息指导选择工具开发。
鉴于现有的MOSFET选择范围广泛,以及为主板电源分配的不断缩小的空间,使用可靠,一致的方法选择正确的MOSFET变得越来越重要。这种方法可以加速开发周期,同时优化特定于应用的设计。
经常通过功率MOSFET选择过程的PC主板和电源设计人员可以从使用电子表格的自动化过程中受益。这种常用工具可以显着缩短选择时间,同时为设计人员提供一个亲密,逐步的选择过程。与算法编程语言相比,在电子表格中实现选择方法提供了更大的交互,易于微调,以及用于构建和维护零件数据库的简单规定。
为了限制本讨论的范围,请考虑采用同步降压转换器拓扑的MOSFET选择方法,该方法适用于PC主板和电信应用的DC / DC转换器。为特定应用寻找合适的MOSFET涉及最小化损耗并了解这些损耗如何取决于开关频率,电流,占空比以及开关上升和下降时间。此信息指导选择工具开发。
一旦选择了拓扑结构,就可以将MOSFET选择基于其在电路中的位置和一些器件参数,例如击穿电压,载流能力,R ON和R ON温度系数。目标是最小化传导和切换,并选择具有足够热性能的器件。

图1:降压转换器拓扑结构使用两个n沟道MOSFET。Q 1是开关或控制MOSFET,Q 2是同步整流器。L和C包括输出滤波器,R L是负载电阻。
检查典型的降压转换器可以了解器件要求如何根据电路位置的不同而有很大差异(图1)。该电路从12V电源获取电源并提供1.5V的输出电压,导致Q 1的占空比D为1.5 / 12 = 0.125,同步整流器Q 2的 1-D 。开关损耗在Q 1中的功耗中占主导地位,因为与Q 2相比,其占空比相对较小。Q 1的电压偏移是源电压。虽然Q 2也必须脱离全电源电压,但在其开关间隔开始时,体二极管将滤波电感器钳位到地,所以Q 2的偏移仅限于二极管压降。小占空比和大偏移对Q 1的上升和下降时间性能提出了要求。导通损耗是R ON的函数,它决定了Q 2的功耗。最小化该欧姆项需要具有最低导通电阻的器件,以根据成本预期和效率要求处理负载电流。
电子表格包括静态和动态损耗的计算,后者是开关和栅极驱动损耗的总和。为了便于动态损耗计算,您需要参考代表性波形(图2)。在切换之前,MOSFET的功耗源于传导损耗。蓝色三角形下面的区域描绘了切换过渡时间期间的动态损耗,每个周期发生两次。因此,总动态损耗与开关频率成比例。

图2:开关Q 1产生I D(绿色)和V DS(红色)的特征波形。这两个波形的乘积给出了瞬时功耗P D(蓝色)。
传导损耗与MOS器件的导通状态沟道电阻成正比:
和
其中I D是漏极电流,R ON是制造商规定的标称环境温度下的沟道电阻,D是Q 1的占空比。
栅极电容的充电和放电有助于开关损耗。这种损失还取决于开关频率:
其中V G是栅极驱动电压,C GS是栅极 - 源极电容,f是开关频率。
MOSFET选择的起伏
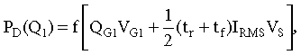
控制开关Q 1和同步整流器Q 2的要求不同。电流,电压和功耗额定值是决定器件在任一位置的适用性的关键参数。Q 1的功耗由下式给出:

在等式1中,第一项反映了传导损耗,第二项反映了动态和栅极损耗。I RMS是漏极电流; R ON是沟道电阻; D是占空比; f是开关频率; t r和t f分别是切换上升和下降时间; 和V S是输入源电压。
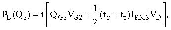
同样,Q 2的功耗由下式给出:

与前一种情况一样,第一项是传导损耗,第二项是开关损耗。注意D是Q 1的占空比。最后一项V D是体二极管正向电压。通过在Q 2上连接肖特基二极管,可以减少这种损耗并改善电路的开关动态。
通过计算两个器件的功耗,您可以根据封装和散热器的热阻计算温升:
其中ΔT是环境温度上升的摄氏度,P是器件的总功耗,RΘ是总热阻,它是FET封装和散热器的结壳电阻之和热阻?;褂幸桓鲂⌒偷纳⑷绕魇跤?,通??梢院雎圆患?- 特别是当您使用现代热界面材料时。散热器可以是明确的机械设备或具有足够表面积的印刷电路板迹线(图3)。

图3:您可以表示2盎司铜印刷电路板走线的热阻,单位为摄氏度/瓦,与走线面积的函数关系。这种厚度的铜是大多数印刷电路板的典型特征。
虽然这些方程式很简单,可以快速检查给定MOSFET在特定应用中的适用性,但R ON对结温的强依赖性使计算有些复杂化。温度上升约80℃导致R ON值增加40%。您需要在分析传导损耗时包含此行为,以计算实际温升。
如果在公式1中包含R ON的温度系数,则得到:
和

其中δ是R ON的温度系数,单位为°C -1,P D是动态损耗项,与R ON无关。
当你替换这些变量为公式2,解决了设备的Δ 牛逼 S,你会发现:

和

公式4提供了结温升高与负载电流和一组特定MOSFET参数的函数关系。对于商业应用,结温约为105℃通常是良好的首次切割。
计算动态损失
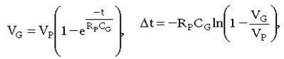
上升和下降时间取决于MOSFET和栅极驱动电路的特性。栅极电荷Q G是栅极电容和驱动电压的乘积,通常为4.5V。栅极电容与栅极驱动器的输出阻抗相结合,以限制栅极上升和下降时间:

和

在这些等式中,V G是等效栅极电压,V P是栅极驱动脉冲幅度,R P是栅极驱动输出阻抗,C G是栅极电容。
当V G达到V P的 99%时,MOSFET完全导通。如果将此关系替换回公式5,则上升和下降时间将减少为:

您现在可以计算每个设备的总动态损耗:

和

其中V G是参考设备的门驱动器。
完成设计
从制造商的数据表或印刷电路板走线的尺寸确定散热器的热阻。图3显示了具有2盎司铜的单层印刷电路板的印刷电路板走线热阻,而其中MOSFET位于其中心的方形铜区域。根据可用的印制电路板面积,铜可以作为MOSFET的散热器。值得注意的是,对于小型设备,增加超过2平方英寸的面积将不会明显降低热阻。
在电子表格中,编译适合您应用的MOSFET数据库。对于同步整流器Q 2,MOSFET必须满足应用的电压和电流要求。它还必须具有足够低的R ON,以使传导损耗足够小以满足效率目标。对于这种MOSFET,栅极电荷在功耗方面起着次要作用。
对于控制装置Q 1,动态或开关损耗是主要因素,并且传导损耗起次要作用。MOSFET应满足电压和电流规范,并尽可能降低栅极电荷,以保持较小的动态损耗。其次,寻找具有中等R ON的设备。
求解方程3和4,了解数据库中所有MOSFET的温升。然后,您可以选择满足温升,封装和价格要求的MOSFET。电子表格解决了选择MOSFET的公式3和4,可以同时评估多个MOSFET。通过这种方式使用电子表格,您可以执行“假设分析”分析,为应用选择最佳MOSFET。只要您已经了解了设计中每个器件的导通和开关损耗要求,就可以将这种基本方法适用于其他拓扑。






