【导读】开关电源的寿命很大程度受到电解电容的制约,而电解电容的寿命取决于其内核温升。本文从纹波电流计算、纹波电流实测、电解电容选型、温度测试方法、寿命估算等方面,对电解电容作了全面的分析。

纹波电流产生的热量引起电容的内部温升,加速电解液的蒸发,当容值下降20%或损耗角增大为初始值的2~3倍时,预示着电解电容寿命的终结。通过检查电容器上的纹波电流,可预测电容器的寿命。本文以连续工作模式的反激变换器输出电容分析为例,重点从纹波电流角度全面分析电解电容的选型与寿命。
1、纹波电流计算
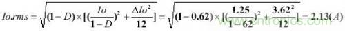
假设已知连续工作模式的反激变换器,其输出电流Io为1.25A,纹波率r为1.1,占空比D为0.62,开关频率为60kHz,由此可以计算次级纹波电流ΔIo和有效值电流Io.rms。
次级纹波电流ΔIo:
有效值电流Io.rms:
最终得到流过输出电容的纹波电流:
图1直观的显示了该电容的纹波电流波形:

图1.纹波电流波形
2、电解电容选型
由上述计算分析得到流过电容的纹波电流为1.72A,综合考虑体积和成本,选择了纹波电流为1.655A的电解电容。
该纹波电流需在电源开关频率下选择,如下图某厂家电容手册的纹波电流有频率因子,不同频率下的纹波电流不同。高频低阻电容均会给出100kHz下的纹波电流,本设计开关频率为60kHz,频率因子为0.96~1之间,在此取1即可。

图2.电容纹波电流频率因子
注:纹波电流还有一个温度系数,例如105℃电容,在85℃环境温度下,允许的最大纹波电流约为额定最大纹波电流的1.73倍,该参数一般不在电容手册中体现。
3、纹波电流实测
测试电解电容纹波电流时,需将电容引脚穿入电流探头中,通过示波器可读得交流有效值。本设计实例的纹波电流测试结果如图3所示,示波器读得有效纹波电流为1.64A,与理论设计接近。因此理论计算具有较大的工程指导意义。

图3.实测电容纹波电流
4、温度测试方法
测量容体表面温度Ts:需在电容器侧面的中间位置进行,如果由于外部影响导致电容器表面温度不均匀、不稳定,需综合测量电容器表面4个点的温度,再取平均值。
测量环境温度Tx:热电偶需放置在离铝壳表面20毫米左右处,如果空间不足,则保持最小10毫米距离,如果由于外部影响导致附近环境温度不均匀、不稳定,则需综合测量4个点以上的温度,再取平均值。

图4.环境温度与表面温度测量
5、电解电容寿命估算
本设计,选择的电解电容为-40~105℃、5000小时、1.655A纹波电流的高频低阻电解电容,最高实测环境温度Tx为80℃,壳体表面温度Ts为85℃。则其寿命估算如下步骤如下。
(1)估算实际内核温升:
其中:
△To为To时允许的内核温升,即额定纹波电流时的电容器芯子温升,此次选择的105℃电容△To为5℃,可查原厂或行业资料得到;
△Tx为实际内核温升;
Ix为实际纹波电流1.64A;
Io为额定纹波电流1.655A。
(2)估算电容寿命:
其中:
Lo为额定寿命5000小时;
To为最高额定工作环境温度105℃;
Tx为实际环境温度80℃。
当由于环境因素影响,Tx不易获得时,可用Ts替代,这可以进一步提供安全余量保证产品售寿命。




