中心议题:
- 阻抗比为1:4的不平衡到不平衡宽带阻抗变压器设计
阻抗匹配器件常常用于高频电路中,一般用来匹配元器件的阻抗和电路或系统的特性阻抗。在某些电路中,希望阻抗匹配能够实现多个八度音阶频率覆盖范围,同时插损很低。为了帮助阻抗变压器设计人员,本文对阻抗比为1:4的不平衡到不平衡(unun)宽带阻抗变压器的设计进行了探讨。这种变压器在无线通信系统(一般是混合电路、信号合分路器)中很有用,对放大器链路的级间耦合也很有益。
这种宽带unun阻抗变压器对测试电路、光接收器系统、带宽带阻抗匹配的微波电路,以及天线耦合也很有用??捎糜诟咂档缏飞杓萍胺抡娴南执扑愠绦蛟谧约旱墓ぞ呦淅锞褪漳闪苏庵制骷???泶鴘nun阻抗变压器包含了一个缠绕了双绞传输线的环形铁氧体磁芯,绕线间通过釉质膜隔离。结合常规传输线阻抗变压器的设计元件,有可能建立起一个真正的宽带组件。对1:4阻抗转换比而言,这种设计方式可提供很高的效率。

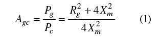
在常规阻抗变压器中,初级线圈和次级线圈之间的能量转移主要通过磁耦合发生,这也是变压器提供良好低频响应能力的原因。假设铁氧体磁芯无损,负载和源阻抗是纯电阻性的,而且只考虑其磁化电感的影响,由此获得的变压器低频简化模型可表示为图2中的结构。在最大能量转移条件下,该低频模型的响应由器件的插损决定:

这里:Pg=源的最大可用功率、Pc=负载功率、Rg=源阻抗、Xm=磁抗。最后这个参数可通过下式由工作频率f和磁芯的磁化电感Lm求得:
![]()
Lm的值取决于初级线圈的匝数和磁芯的电感因子Al。通常,这个因子是由铁氧体磁芯制造商规定的,单位为纳亨/平方匝数(nH/turns2)。因此,以nH为单位的磁化电感可表示为:
![]()
把该参数带入对应的磁抗公式中,再将计算结果带入插损公式中,即可求得变压器的低端截止频率。因此:

这个值随初级线圈匝数增加而降低。给定截止频率,通过上式也可计算出正确的初级线圈匝数。为了让电感的单位为nH,这里使用了109因子。
[page]
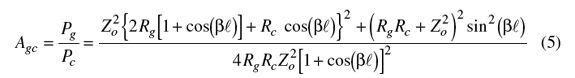
传输线变压器初级线圈和次级线圈之间的电耦合增强了高频能量的转移。图3所示为一个传输线1:4 unun变压器的高频模型,鉴于其长度很短,没有考虑损耗。在这种理想模型中,源和负载阻抗都假设是纯电阻性的。该高频模型响应也由它的插损来确定。此外,源功率和二次负载功率间的比率为:

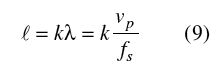
这里:Rg=源阻抗、Rc=负载阻抗、Zo=传输线特性阻抗、βl=相位因子、l=kλ=传输线长度(这里λ是波长,k是小数值)。

由公式5可看出,要获得良好的宽带高频响应,Zo值的优化十分重要。对二分之一波长(λ/2)的传输线长度,能量转移是无效的,并比四分之一波长(λ/4)长度的传输线的最大值小1dB。由此可看出,传输线的长度越短,其高频响应的带宽越大。对最大功率传输而言,最佳传输线特性阻抗和负载阻抗分别为:

![]()
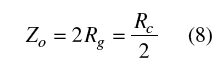
源和负载阻抗之间必需有1:4的转换以实现阻抗匹配。因此,传输线特性阻抗和源及负载阻抗之间的关系可表示为:

若在变压器中使用绞合传输线,通过改变传输线单元长度的绞合次数,可以调节特性阻抗,使之最适合于所需要的通带。单位长度绞合次数增加,特性阻抗将减小。
图4中,对于优化和非优化的特性阻抗值,都把插损看作k的函数。相比采用了优化特性阻抗的情况,特性阻抗非优化时,插损增加,带宽减小。于是,使用绞合传输线很容易获得最佳特性阻抗值。

为了比较,我们使用了Agilent Technologies公司的ADS(Advanced Design System)计算机辅助工程(CAE)软件套件对性能进行仿真,同时用商用微波矢量网络分析仪(VNA)对设计原型进行测量。分析结果显示了负载功率和源功率之间的关系。
[page]
为了测定变压器的低频响应,必需知道铁氧体磁芯的特性,因为电感因子Al与特定频率有关。除此之外,还需获知源的内部阻抗(Rg),这样设计人员可以求得低频截止频率(fi),然后运用公式4就能够计算出所需要的初级线圈匝数(Np)。要确定高频响应,需要知道传输线在所需要的工作频率上的一些特性值,比如特性阻抗(Zo),传播速度(vp),以及相位因子(β)。有了源阻抗值(Rg)和负载阻抗(Rc)值,就可以根据公式6求出特性阻抗(Zopt)的最佳理论值。知道了传输线的各特性值,高频截止频率(fs)和传输线的实际特性阻抗Zo,就有可能计算出传播速度(vp)和相位因子(β)。利用实际的特性阻抗值Zo,它和Zopt之间的差就可以确定,最后求出fs下的插损。图4显示了如何通过实际特性阻抗(Zo)和插损求得k值。已知k、vp和fs值,就可以可通过下式计算出达到以往规格所需的传输线长度(l):

MathWorks的MATLAB数学分析软件曾被用来分析这种变压器器件模型的响应。分析中,把单独的低频(公式1)响应和高频(公式5)响应的插损响应结合在了一起。将所需的目标值代入MATLAB公式,可获得宽带变压器的最终响应。为了执行MATLAB模型数值响应的电气仿真,使用了ADS建模软件。该软件有一个很有用的内部源模型,称为XFERRUTH,其变量参数包括匝数(N)、电感因子(AL)、传输线特性阻抗(Z)、传输线电气长度(E),以及计算传输线长度所需要的参考频率(F)。
为了对变压器响应进行散射参数(S参数)仿真,ADS采用它的S_Param建模器,按照规定的步长和刻度步长调节初始(开始)的和最终(停止)的扫频频率。源和负载阻抗由一个阻抗值为Z的、被称为Term的特殊终端表示。图5所示为ADS仿真中所用的电路。

测量在Advantest的一个商用VNA,300kHz至3.8GHz模型R3765CG上进行。这个分析仪配有50Ω端接阻抗的非平衡测试端口。由于宽带unun阻抗变压器具有非平衡终端,转换比率为1:4,为了让该器件与测试设备相匹配,需要另一个转换比率为4:1的器件来执行阻抗转换。图6和图7显示了所有的终端连接。测试终端和所有用于VNA的线缆都经过校准,以最大限度地减少它们出现错误的可能性。插损和通带响应利用表示为对数幅值形式的传输系数S21来分析。
[page]
我们对几种测量条件下的分析式(MATLAB)、数值式(ADS)和实验模型的结果进行了比较。实验中采用了Sontag Componentes Eletronicos的环形铁氧体磁芯模型E1003C5。它的几何和电磁数据包括10mm的外直径、5mm的内直径,3mm的宽度,11的相对磁导率(μr),以及4.2nH/匝数2的电感因子(Al)。该模型专门用于500kHz~50MHz的频率范围。每厘米传输线长度绞合次数为5,使用30AWG导体传输线。在130MHz,传输线的特性阻抗为38Ω,相位因子(β)为4.5501rad/m,传播速度(vp)为1.7952x108m/s。对于50Ω的源阻抗,根据公式8,最佳特性阻抗值必然为100Ω,意味着0.38倍的关系。这种偏差和3dB插损下的k值为0.2207。


构建的第一个器件线圈匝数为4,因此传输线长度为9cm。图8、9和10分别显示了分析、数值和实验三种情况下的频率插损行为。表中总结了主要的参数值,包括最大幅值、-3dB频率(fmax、fi-3dB和fs-3dB)、适当的带宽(BW),以及相比模型值频率偏差百分比下的各种插损结果。通过分析、数值和实验方法获得的结果间的偏差非常小,信号频率最大时例外。这都是由于测量设置中噪声和其它寄生效应造成的测试系统的局限性。在幅度基本稳定的测试频带上,信号电平的变化是几乎察觉不到的,也许这就是最大信号幅度频率的报告中出现偏差的原因。

[page]
构建的第二个器件线圈匝数为6,传输线长度11cm。随匝数的增加,低端截止频率降低,高端截止频率也因传输线长度的增加而降低。对于低端截止频率,分析方法和数值方法的结果和预期值一样。但实验响应与理论模型却非完全吻合。但高频响应的值正如预期,三种方法获得的结果吻合良好。
由图11、12和13可看出,在分析、数值和实验三种情况下,插损都是频率的函数(也可从表中看出)。由于模型本身的不完善性,分析和数值结果间有微小偏差。另一方面,实验结果证明了模型的正确性,但低频限值处例外,这里出现的误差最大。其原因在于理论模型没有考虑到变压器中各元件的所有寄生因素。


为了进行进一步的比较,我们构建一个匝数为8,传输线长度为14cm的变压器。图14、15和16分别总结了利用分析、数值和实验方法获得的结果。在低端截止频率上,分析方法和数值方法的结果一致,但实验结果与理论模型不吻合。不过,在高端截止频率获得的值彼此相近,也接近预期值。随着匝数增加,低端截止频率降低;类似地,随传输线长度增加,高端截止频率也降低。


尽管三组结果是由不同的方法求出的,但它们彼此吻合良好。分析(MATLAB)和数值(ADS)模型获得的响应与实验获得的响应(VNA测量值)比较起来十分接近。利用分析和数值方法获得的值近似相等,但与实验结果相比有少许差异。最好的解释是,理论模型没有把变压器结构中所采用的各元件的复杂特性完全考虑在内,而是按照几乎“理想”的元件来建模的。

这些模型公式代表了一个线圈变压器的等效电路简化模型。最新研究表明,我们需要采用一种能够把电阻性和电抗性效应随频率和匝数增加的变化考虑在内的更精密的模型。

这些先进的模型还考虑到了匝间电容的影响,这种影响会降低电感的自谐频率。不过,尽管如此,本文中的简化设计公式仍可以给出很有意义的结果,能够取代1:4阻抗变压器设计中常常涉及到的更麻烦的经验式处理方法。正如这些简化公式所示,它们可用来设计频率范围很宽的(三个八度音阶)低插损、低成本变压器。






